Potentiometric Chloride Ion Biosensor for Cystic Fibrosis Diagnosis and Management: Modeling and Design
Abstract
1. Introduction
2. ISFET-Based Sensor: Configuration and Operating Principle
- (a)
- The site-binding theory, which analyzes the mechanism of oxide surface charge creation, considering the equilibrium between the amphoteric surface sites and ions in the solution;
- (b)
- The Gouy–Chapman–Stern theory, which models ion distribution in the electrolyte solution through different layers, such as the Helmholtz layer and the diffuse double layer, where the first one contains the ions which are strongly adsorbed by the electrode surface, and the second one contains the ions which are distributed with a concentration gradient driven by the thermal motion. In particular, Stern observed that ions cannot approach the electrode surface closer than their ionic radius, and the distance of the closest approach is called the outer Helmholtz plane (OHP). The occurrence of this phenomena is illustrated in Figure 2. It should be noted that the solvation shell of water molecules also contributes to this distance of closest approach. To break the ion free from its watery prison, a greater quantity of energy will be necessary. Because of this, an area adjacent to the electrode surface will be devoid of any ionic charges, and this will give rise to a constant capacitance, known as Stern capacitance, which typically has a value of 20 μF/cm2 [31].
3. ISFET Modeling
- -
- the electrolyte domain, obtained by approximating sweat as an aqueous solution at acid pH containing the ions of interest;
- -
- the semiconductor domain, set up as a MOSFET.
3.1. Semiconductor Domain
3.2. Electrolyte Domain
- -
- the electrostatic physics, hence, the Poisson’s equation for the charge density and the electric field;
- -
- the physics of the transport of chemical species within a solution, thus, the Nernst–Planck’s equation for the mass transport of ions:
3.3. Thin Oxide: Semiconductor Domain and Electrolyte Domain Coupling
3.4. Ion-Selective Membrane (ISM)
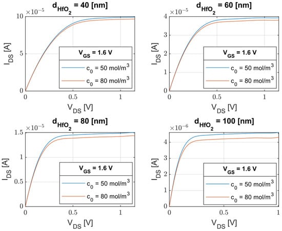
4. Numerical Results
5. Conclusions
Author Contributions
Funding
Data Availability Statement
Conflicts of Interest
References
- Yang, Y.; Song, Y.; Bo, X.; Min, J.; Pak, O.S.; Zhu, L.; Wang, M.; Tu, J.; Kogan, A.; Zhang, H.; et al. A Laser-Engraved Wearable Sensor for Sensitive Detection of Uric Acid and Tyrosine in Sweat. Nat. Biotechnol. 2020, 38, 217–224. [Google Scholar] [CrossRef] [PubMed]
- Fang, Y.; Zhao, X.; Tat, T.; Xiao, X.; Chen, G.; Xu, J.; Chen, J. All-in-One Conformal Epidermal Patch for Multimodal Biosensing. Matter 2021, 4, 1102–1105. [Google Scholar] [CrossRef]
- Xiao, X.; Xiao, X.; Lan, Y.; Chen, J. Learning from Nature for Healthcare, Energy, and Environment. Innovation 2021, 2, 100135. [Google Scholar] [CrossRef] [PubMed]
- Conta, G.; Libanori, A.; Tat, T.; Chen, G.; Chen, J. Triboelectric Nanogenerators for Therapeutic Electrical Stimulation. Adv. Mater. 2021, 33, 2007502. [Google Scholar] [CrossRef] [PubMed]
- Li, X.; Tat, T.; Chen, J. Triboelectric Nanogenerators for Self-Powered Drug Delivery. Trends Chem. 2021, 3, 765–778. [Google Scholar] [CrossRef]
- Zhang, N.; Huang, F.; Zhao, S.; Lv, X.; Zhou, Y.; Xiang, S.; Xu, S.; Li, Y.; Chen, G.; Tao, C.; et al. Photo-Rechargeable Fabrics as Sustainable and Robust Power Sources for Wearable Bioelectronics. Matter 2020, 2, 1260–1269. [Google Scholar] [CrossRef]
- An, Y.; Ren, Y.; Bick, M.; Dudek, A.; Hong-Wang Waworuntu, E.; Tang, J.; Chen, J.; Chang, B. Highly Fluorescent Copper Nanoclusters for Sensing and Bioimaging. Biosens. Bioelectron. 2020, 154, 112078. [Google Scholar] [CrossRef]
- Naresh, V.; Lee, N. A Review on Biosensors and Recent Development of Nanostructured Materials-Enabled Biosensors. Sensors 2021, 21, 1109. [Google Scholar] [CrossRef]
- Singh, A.; Sharma, A.; Ahmed, A.; Sundramoorthy, A.K.; Furukawa, H.; Arya, S.; Khosla, A. Recent Advances in Electrochemical Biosensors: Applications, Challenges, and Future Scope. Biosensors 2021, 11, 336. [Google Scholar] [CrossRef]
- Di Nisio, A.; Giaquinto, N.; Lanzolla, A.M.L.; Ragolia, M.A.; Scarpetta, M.; Carrara, S. Platinum Nanostructured Needle-Shaped Sensors for Ion Detection in Biomedical Applications. IEEE Sens. J. 2022, 22, 22404–22412. [Google Scholar] [CrossRef]
- Parizi, K.B.; Yeh, A.J.; Poon, A.S.Y.; Wong, H.S.P. Exceeding Nernst Limit (59mV/PH): CMOS-Based PH Sensor for Autonomous Applications. In Proceedings of the 2012 International Electron Devices Meeting, San Francisco, CA, USA, 10–13 December 2012; pp. 24.7.1–24.7.4. [Google Scholar] [CrossRef]
- Rigante, S.; Scarbolo, P.; Wipf, M.; Stoop, R.L.; Bedner, K.; Buitrago, E.; Bazigos, A.; Bouvet, D.; Calame, M.; Schönenberger, C.; et al. Sensing with Advanced Computing Technology: Fin Field-Effect Transistors with High-k Gate Stack on Bulk Silicon. ACS Nano 2015, 9, 4872–4881. [Google Scholar] [CrossRef]
- Milgrew, M.J.; Hammond, P.A.; Cumming, D.R.S. The Development of Scalable Sensor Arrays Using Standard CMOS Technology. Sens. Actuators B Chem. 2004, 103, 37–42. [Google Scholar] [CrossRef]
- Lowe, B.M.; Sun, K.; Zeimpekis, I.; Skylaris, C.-K.; Green, N.G. Field-Effect Sensors—From PH Sensing to Biosensing: Sensitivity Enhancement Using Streptavidin–Biotin as a Model System. Analyst 2017, 142, 4173–4200. [Google Scholar] [CrossRef]
- Jakhar, S.; Pundir, C.S. Preparation, Characterization and Application of Urease Nanoparticles for Construction of an Improved Potentiometric Urea Biosensor. Biosens. Bioelectron. 2018, 100, 242–250. [Google Scholar] [CrossRef]
- Cánovas, R.; Blondeau, P.; Andrade, F.J. Modulating the Mixed Potential for Developing Biosensors: Direct Potentiometric Determination of Glucose in Whole, Undiluted Blood. Biosens. Bioelectron. 2020, 163, 112302. [Google Scholar] [CrossRef]
- Mishra, R.K.; Barfidokht, A.; Karajic, A.; Sempionatto, J.R.; Wang, J.; Wang, J. Wearable Potentiometric Tattoo Biosensor for On-Body Detection of G-Type Nerve Agents Simulants. Sens. Actuators B Chem. 2018, 273, 966–972. [Google Scholar] [CrossRef]
- Bandodkar, A.J.; Molinnus, D.; Mirza, O.; Guinovart, T.; Windmiller, J.R.; Valdés-Ramírez, G.; Andrade, F.J.; Schöning, M.J.; Wang, J. Epidermal Tattoo Potentiometric Sodium Sensors with Wireless Signal Transduction for Continuous Non-Invasive Sweat Monitoring. Biosens. Bioelectron. 2014, 54, 603–609. [Google Scholar] [CrossRef]
- Papp, S.; Bojtár, M.; Gyurcsányi, R.E.; Lindfors, T. Potential Reproducibility of Potassium-Selective Electrodes Having Perfluorinated Alkanoate Side Chain Functionalized Poly(3,4-Ethylenedioxytiophene) as a Hydrophobic Solid Contact. Anal. Chem. 2019, 91, 9111–9118. [Google Scholar] [CrossRef]
- Bergveld, P. Development of an Ion-Sensitive Solid-State Device for Neurophysiological Measurements. IEEE Trans. Biomed. Eng. 1970, BME–17, 70–71. [Google Scholar] [CrossRef]
- Ma, X.; Peng, R.; Mao, W.; Lin, Y.; Yu, H. Recent Advances in Ion-sensitive Field-effect Transistors for Biosensing Applications. Electrochem. Sci. Adv. 2022; accepted. [Google Scholar] [CrossRef]
- Cao, S.; Sun, P.; Xiao, G.; Tang, Q.; Sun, X.; Zhao, H.; Zhao, S.; Lu, H.; Yue, Z. ISFET-based Sensors for (Bio)Chemical Applications: A Review. Electrochem. Sci. Adv, 2022; accepted. [Google Scholar] [CrossRef]
- Farrell, P.M.; Rosenstein, B.J.; White, T.B.; Accurso, F.J.; Castellani, C.; Cutting, G.R.; Durie, P.R.; LeGrys, V.A.; Massie, J.; Parad, R.B.; et al. Guidelines for Diagnosis of Cystic Fibrosis in Newborns through Older Adults: Cystic Fibrosis Foundation Consensus Report. J. Pediatr. 2008, 153, S4–S14. [Google Scholar] [CrossRef]
- Madou, M.J.; Morrison, S.R. Chemical Sensing with Solid State Devices; Academic Press: Boston, MA, USA, 1989; ISBN 978-0-12-464965-1. [Google Scholar]
- Sinha, S.; Pal, T. A Comprehensive Review of FET-based PH Sensors: Materials, Fabrication Technologies, and Modeling. Electrochem. Sci. Adv. 2022, 2, e2100147. [Google Scholar] [CrossRef]
- Khanna, V.K.; Mukhiya, R.; Sharma, R.; Khanna, P.K.; Kumar, S.; Kharbanda, D.K.; Panchariya, P.C.; Kiranmayee, A.H. Design and Development of Ion-Sensitive Field-Effect Transistor and Extended-Gate Field-Effect Transistor Platforms for Chemical and Biological Sensors. In Micro and Smart Devices and Systems; Vinoy, K.J., Ananthasuresh, G.K., Pratap, R., Krupanidhi, S.B., Eds.; Springer Tracts in Mechanical Engineering; Springer: New Delhi, India, 2014; pp. 73–87. ISBN 978-81-322-1912-5. [Google Scholar]
- Kharbanda, D.K.; Khanna, P.K. Optimization of Dam-and-Fill Technique for Sensor Packaging Applications. In Proceedings of the 2nd International Conference On Emerging Technologies: Micro To Nano 2015 (ETMN-2015), Rajasthan, India, 24–25 October 2015. [Google Scholar]
- Mele, L.J.; Palestri, P.; Selmi, L. General Approach to Model the Surface Charge Induced by Multiple Surface Chemical Reactions in Potentiometric FET Sensors. IEEE Trans. Electron Devices 2020, 67, 1149–1156. [Google Scholar] [CrossRef]
- van Hal, R.E.G.; Eijkel, J.C.T.; Bergveld, P. A General Model to Describe the Electrostatic Potential at Electrolyte Oxide Interfaces. Adv. Colloid Interface Sci. 1996, 69, 31–62. [Google Scholar] [CrossRef]
- Wrege, R.; Schneider, M.C.; Goncalves Guimaraes, J.; Galup-Montoro, C. ISFETs: Theory, Modeling and Chip for Characterization. In Proceedings of the 2019 IEEE 10th Latin American Symposium on Circuits & Systems (LASCAS), Armenia, Colombia, 24–29 February 2019; pp. 109–112. [Google Scholar]
- Waleed Shinwari, M.; Jamal Deen, M.; Landheer, D. Study of the Electrolyte-Insulator-Semiconductor Field-Effect Transistor (EISFET) with Applications in Biosensor Design. Microelectron. Reliab. 2007, 47, 2025–2057. [Google Scholar] [CrossRef]
- Sze, S.M.; Li, Y.; Ng, K.K. Physics of Semiconductor Devices, 4th ed.; Wiley: Hoboken, NJ, USA; Chichester, UK, 2021; ISBN 978-1-119-42911-1. [Google Scholar]
- Newman, J.; Balsara, N.P. Electrochemical Systems; The Electrochemical Society Series, 4th ed.; Wiley: Hoboken, NJ, USA, 2021; ISBN 978-1-119-51460-2. [Google Scholar]
- Tarasov, A.; Wipf, M.; Stoop, R.L.; Bedner, K.; Fu, W.; Guzenko, V.A.; Knopfmacher, O.; Calame, M.; Schönenberger, C. Understanding the Electrolyte Background for Biochemical Sensing with Ion-Sensitive Field-Effect Transistors. ACS Nano 2012, 6, 9291–9298. [Google Scholar] [CrossRef]
- Bandiziol, A.; Palestri, P.; Pittino, F.; Esseni, D.; Selmi, L. A TCAD-Based Methodology to Model the Site-Binding Charge at ISFET/Electrolyte Interfaces. IEEE Trans. Electron Devices 2015, 62, 3379–3386. [Google Scholar] [CrossRef]
- Birrell, S.J.; Hummel, J.W. Membrane selection and isfet configuration evaluation for soil nitrate sensing. Trans. ASAE 2000, 43, 197. [Google Scholar] [CrossRef]
- Mele, L.J.; Palestri, P.; Selmi, L. Modeling Selectivity and Cross-Sensitivity in Membrane-Based Potentiometric Sensors. In Proceedings of the 2020 Joint International EUROSOI Workshop and International Conference on Ultimate Integration on Silicon (EUROSOI-ULIS), Caen, France, 1 September 2020; pp. 1–4. [Google Scholar]
- Bănică, F. Chemical Sensors and Biosensors: Fundamentals and Applications, 1st ed.; Wiley: Hoboken, NJ, USA, 2012; ISBN 978-0-470-71066-1. [Google Scholar]
- Mele, L.J.; Palestri, P.; Selmi, L.; Alam, M.A. Modeling Non-Equilibrium Ion-Transport in Ion-Selective-Membrane/Electrolyte Interfaces for Electrochemical Potentiometric Sensors. IEEE Sens. J. 2022, 22, 12987–12996. [Google Scholar] [CrossRef]
- Ghoreishizadeh, S.S.; Georgiou, P.; Carrara, S.; De Micheli, G. An Integrated Platform for Differential Electrochemical and ISFET Sensing. In Proceedings of the 2016 IEEE International Symposium on Circuits and Systems (ISCAS), Montréal, QC, Canada, 22–25 May 2016; pp. 2875–2878. [Google Scholar]







| Potentials | Description |
|---|---|
| Gate voltage applied | |
| Work function of Ag electrode | |
| Equilibrium potential of reference electrode | |
| Electrolyte potential | |
| Bulk electrolyte potential | |
| Potential imposed at the upper edge of the oxide | |
| Difference in potential between and | |
| Difference in potential applied on capacity |
Disclaimer/Publisher’s Note: The statements, opinions and data contained in all publications are solely those of the individual author(s) and contributor(s) and not of MDPI and/or the editor(s). MDPI and/or the editor(s) disclaim responsibility for any injury to people or property resulting from any ideas, methods, instructions or products referred to in the content. |
© 2023 by the authors. Licensee MDPI, Basel, Switzerland. This article is an open access article distributed under the terms and conditions of the Creative Commons Attribution (CC BY) license (https://creativecommons.org/licenses/by/4.0/).
Share and Cite
la Grasta, A.; De Carlo, M.; Di Nisio, A.; Dell’Olio, F.; Passaro, V.M.N. Potentiometric Chloride Ion Biosensor for Cystic Fibrosis Diagnosis and Management: Modeling and Design. Sensors 2023, 23, 2491. https://doi.org/10.3390/s23052491
la Grasta A, De Carlo M, Di Nisio A, Dell’Olio F, Passaro VMN. Potentiometric Chloride Ion Biosensor for Cystic Fibrosis Diagnosis and Management: Modeling and Design. Sensors. 2023; 23(5):2491. https://doi.org/10.3390/s23052491
Chicago/Turabian Stylela Grasta, Annabella, Martino De Carlo, Attilio Di Nisio, Francesco Dell’Olio, and Vittorio M. N. Passaro. 2023. "Potentiometric Chloride Ion Biosensor for Cystic Fibrosis Diagnosis and Management: Modeling and Design" Sensors 23, no. 5: 2491. https://doi.org/10.3390/s23052491
APA Stylela Grasta, A., De Carlo, M., Di Nisio, A., Dell’Olio, F., & Passaro, V. M. N. (2023). Potentiometric Chloride Ion Biosensor for Cystic Fibrosis Diagnosis and Management: Modeling and Design. Sensors, 23(5), 2491. https://doi.org/10.3390/s23052491

