Distributed Partial Discharge Locating and Detecting Scheme Based on Optical Fiber Rayleigh Backscattering Light Interference
Abstract
:1. Introduction
2. Theory of Optical Fiber Rayleigh Backscattering Light Interference
3. System Configuration and Signal Processing
3.1. System Configuration
3.2. Signal Processing
3.2.1. Signal Acquisition and Preprocessing
3.2.2. Signal Location
3.2.3. Signal Extraction and Demodulation
4. Experiments and Results
4.1. Experimental Setup and Parameters
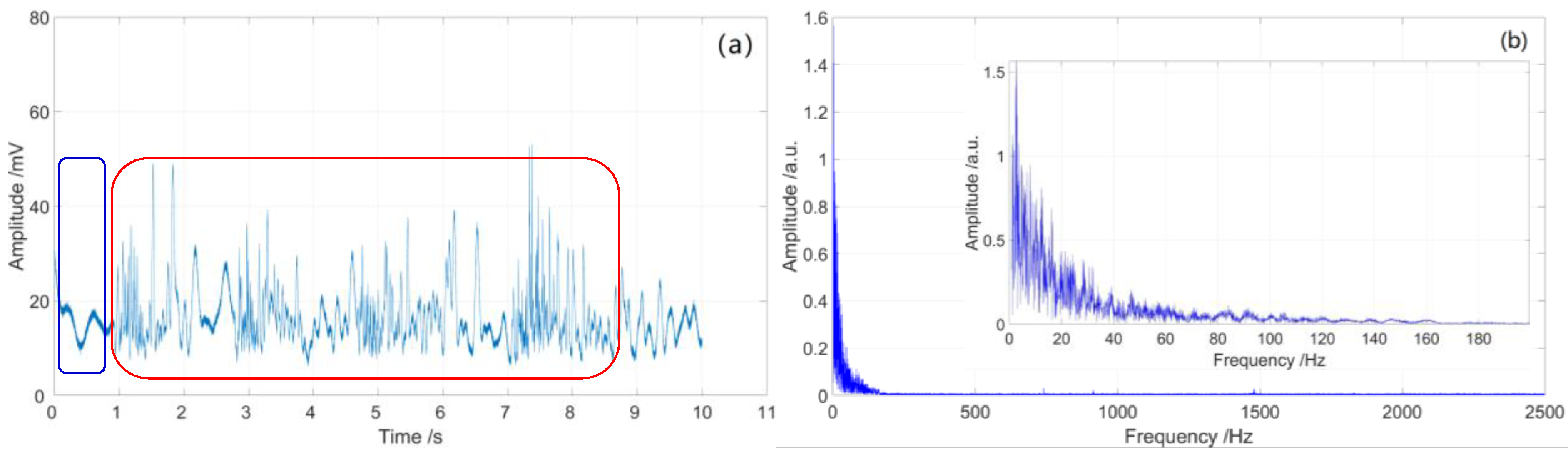
4.2. Experimental Results and Discussion
5. Conclusions
Author Contributions
Funding
Institutional Review Board Statement
Informed Consent Statement
Data Availability Statement
Acknowledgments
Conflicts of Interest
References
- Zhang, Z.; Lei, J.; Chen, W.; Yang, T.; Song, Y.; Wu, K.; Liu, F. Oil-paper insulation partial discharge ultrasonic multifrequency sensing array based on fibre-optic Fabry-Perot sensor. High Volt. 2021, 7, 325–335. [Google Scholar] [CrossRef]
- Gao, C.; Wang, W.; Song, S.; Wang, S.; Yu, L.; Wang, Y. Localization of partial discharge in transformer oil using Fabry-Pérot optical fiber sensor array. IEEE Trans. Dielectr. Electr. Insul. 2018, 25, 2279–2286. [Google Scholar] [CrossRef]
- Chen, W.; Wang, J.; Wan, F.; Wang, P. A Review of Optical Fiber Sensors for Electrical Equipment Characteristic State Parameters Detection. High Volt. 2019, 4, 271–281. [Google Scholar] [CrossRef]
- Meitei, S.N.; Borah, K.; Chatterjee, S. Partial Discharge Detection in an Oil-Filled Power Transformer Using Fiber Bragg Grating Sensors: A Review. IEEE Sens. J. 2021, 21, 10304–10316. [Google Scholar] [CrossRef]
- Liu, Z.; Liu, X.; Zhang, Z.; Zhang, W.; Yao, J. Research on Optical Fiber Sensor Localization Based on the Partial Discharge Ultrasonic Characteristics in Long-Distance XLPE Cables. IEEE Access 2020, 8, 184744–184751. [Google Scholar] [CrossRef]
- Zhang, J.; Wang, L.; Chen, J.; Takao, M.; Diaham, S.; Song, C. An optical measurement method for nanosecond impulse signal monitoring of partial discharge based on the Fabry–Perot interferometer sensing system. Jpn. J. Appl. Phys. 2022, 61, 102006. [Google Scholar] [CrossRef]
- Kanakambaran, S.; Sarathi, R.; Srinivasan, B. Identification and localization of partial discharge in transformer insulation adopting cross recurrence plot analysis of acoustic signals detected using fiber Bragg gratings. IEEE Trans. Dielectr. Electr. Insul. 2017, 24, 1773–1780. [Google Scholar] [CrossRef]
- Das, A.; Ambastha, S.; Halder, S.; Samanta, S. A Novel Methodology for Spark Gap Monitoring in Micro-EDM Using Optical Fiber Bragg Grating. IEEE Trans. Instrum. Meas. 2019, 29, 4387–4394. [Google Scholar] [CrossRef]
- Song, Z.; Guo, M.; Wang, Q. A partial discharge detection and localization system for high voltage cable based on long-tailed Sagnac interferometric fiber optic sensor. Microw. Opt. Technol. Lett. 2017, 59, 2132–2136. [Google Scholar] [CrossRef]
- Wang, S.; Chen, W. A Large-Area and Nanoscale Graphene Oxide Diaphragm-Based Extrinsic Fiber-Optic Fabry–Perot Acoustic Sensor Applied for Partial Discharge Detection in Air. Nanomaterials 2020, 10, 2312. [Google Scholar] [CrossRef]
- Chen, Q.C.; Zhang, W.C.; Zhao, H. Response Bandwidth Design of Fabry-Perot Sensors for Partial Discharge Detection Based on Frequency Analysis. J. Sens. 2019, 2019, 1026934. [Google Scholar] [CrossRef]
- Kanakambaran, S.; Sarathi, R.; Srinivasan, B. Robust classification of partial discharges in transformer insulation based on acoustic emissions detected using fiber Bragg gratings. IEEE Sens. J. 2018, 18, 10018–10027. [Google Scholar] [CrossRef]
- Ma, G.M.; Zhou, H.Y.; Shi, C.; Li, Y.B.; Zhang, Q.; Li, C.R.; Zheng, Q. Distributed Partial Discharge Detection in a Power Transformer Based on Phase-Shifted FBG. IEEE Sens. J. 2018, 18, 2788–2795. [Google Scholar] [CrossRef]
- Ma, G.M.; Shi, C.; Qin, W.Q.; Li, Y.B.; Zhou, H.Y.; Li, C.R. A Non-Intrusive Electrical Discharge Localization Method for Gas Insulated Line Based on Phase-Sensitive OTDR and Michelson Interferometer. IEEE Trans. Power Deliv. 2019, 34, 1324–1331. [Google Scholar] [CrossRef]
- Liu, Z.; Wang, Y.; Chen, X.; Meng, X.; Liu, X.; Yao, J. An optical fiber sensing method for partial discharge in the HVDC cable system. Int. J. Electr. Power Energy Syst. 2021, 128, 106749. [Google Scholar] [CrossRef]
- Wang, Y.; Li, X.; Gao, Y.; Zhang, H.; Wang, D.; Jin, B. Partial Discharge Ultrasound Detection Using the Sagnac Interferometer System. Sensors 2018, 18, 1425. [Google Scholar] [CrossRef] [PubMed]
- Zhou, H.Y.; Ma, G.M.; Zhang, M.; Zhang, H.C.; Li, C.R. A High Sensitivity Optical Fiber Interferometer Sensor for Acoustic Emission Detection of Partial Discharge in Power Transformer. IEEE Sens. J. 2021, 21, 24–32. [Google Scholar] [CrossRef]
- Li, Q.; Zhang, C.; Li, C. Fiber-optic distributed sensor based on phase-sensitive OTDR and wavelet packet transform for multiple disturbances location. Opt.-Int. J. Light Electron Opt. 2014, 125, 7235–7238. [Google Scholar] [CrossRef]
- Xu, S.; Qin, Z.; Zhang, W.; Xiong, X.; Li, H.; Wei, Z.; Postolache, O.A.; Mi, C. A Novel Method of Recognizing Disturbance Events in Φ-OTDR Based on Affinity Propagation Clustering and Perturbation Signal Selection. IEEE Sens. J. 2021, 21, 13272–13282. [Google Scholar] [CrossRef]
- Qin, Z. Distributed Optical Fiber Vibration Sensor Based on Rayleigh Backscattering. Ph.D. Thesis, Ottawa University, Ottawa, ON, Canada, 2013. [Google Scholar]
- Zhou, Z.; Tian, L.; Han, Y.; Yang, X.; Liao, F.; Zhang, D.; Sha, Y.; Feng, X.; Zhu, J.; Zheng, X.; et al. Distributed vibration and temperature simultaneous sensing using one optical fiber. Opt. Commun. 2021, 487, 126801. [Google Scholar] [CrossRef]
- Zhou, Z.; Zhuang, S. A lateral locating method for optical fiber distributed intrusion sensing system. Opt. Commun. 2014, 333, 126801. [Google Scholar] [CrossRef]
- Zhou, Z.; Zhuang, S. Optical fiber distributed vibration sensing system using time-varying gain amplification method. Opt. Eng. 2014, 53, 086107. [Google Scholar] [CrossRef]
- Zhou, Z.; Sha, Y.; Zhang, D.; Liu, H.; Han, Y.; Yang, X.; Liao, F.; Feng, X.; Zhu, J.; Zheng, X.; et al. Optical fiber displacement sensor based on Stokes Raman backscattering light bending loss. Opt. Fiber Technol. 2021, 66, 102667. [Google Scholar] [CrossRef]

















| Number | Sensing Unit 1 (m) | Sensing Unit 2 (m) | ||
|---|---|---|---|---|
| Measured Location | Error | Measured Location | Error | |
| 1 | 1560.4 | +0.4 | 2135.0 | +0.0 |
| 2 | 1560.8 | +0.8 | 2135.2 | +0.2 |
| 3 | 1560.0 | +0.0 | 2135.0 | +0.0 |
| 4 | 1560.4 | +0.4 | 2135.2 | +0.2 |
| 5 | 1561.0 | +1.0 | 2135.0 | +0.0 |
| 6 | 1560.8 | +0.8 | 2135.6 | +0.6 |
| 7 | 1560.2 | +0.2 | 2135.6 | +0.6 |
| 8 | 1559.8 | −0.2 | 2135.6 | +0.6 |
| 9 | 1560.6 | +0.6 | 2135.6 | +0.6 |
| 10 | 1560.0 | +0.0 | 2135.8 | +0.8 |
| Standard deviation | 0.3795 | 0.2939 | ||
| Status | Signal-to-Noise Ratio (SNR/dB) | |
|---|---|---|
| Sensing Unit 1 | Sensing Unit 2 | |
| Before demodulation | 4.5 | 2.8 |
| After demodulation | 39.7 | 38.8 |
| SNR improvement | 35.2 | 36.0 |
Disclaimer/Publisher’s Note: The statements, opinions and data contained in all publications are solely those of the individual author(s) and contributor(s) and not of MDPI and/or the editor(s). MDPI and/or the editor(s) disclaim responsibility for any injury to people or property resulting from any ideas, methods, instructions or products referred to in the content. |
© 2023 by the authors. Licensee MDPI, Basel, Switzerland. This article is an open access article distributed under the terms and conditions of the Creative Commons Attribution (CC BY) license (https://creativecommons.org/licenses/by/4.0/).
Share and Cite
Zhou, Z.; Liu, H.; Zhang, D.; Han, Y.; Yang, X.; Zheng, X.; Qu, J. Distributed Partial Discharge Locating and Detecting Scheme Based on Optical Fiber Rayleigh Backscattering Light Interference. Sensors 2023, 23, 1828. https://doi.org/10.3390/s23041828
Zhou Z, Liu H, Zhang D, Han Y, Yang X, Zheng X, Qu J. Distributed Partial Discharge Locating and Detecting Scheme Based on Optical Fiber Rayleigh Backscattering Light Interference. Sensors. 2023; 23(4):1828. https://doi.org/10.3390/s23041828
Chicago/Turabian StyleZhou, Zhengxian, Hao Liu, Dawei Zhang, Yashuai Han, Xinyan Yang, Xianfeng Zheng, and Jun Qu. 2023. "Distributed Partial Discharge Locating and Detecting Scheme Based on Optical Fiber Rayleigh Backscattering Light Interference" Sensors 23, no. 4: 1828. https://doi.org/10.3390/s23041828
APA StyleZhou, Z., Liu, H., Zhang, D., Han, Y., Yang, X., Zheng, X., & Qu, J. (2023). Distributed Partial Discharge Locating and Detecting Scheme Based on Optical Fiber Rayleigh Backscattering Light Interference. Sensors, 23(4), 1828. https://doi.org/10.3390/s23041828
