Anomalous Nernst Effect in Flexible Co-Based Amorphous Ribbons
Abstract
1. Introduction
2. Materials and Methods
3. Results and Discussion
3.1. Structural and Magnetic Characterization
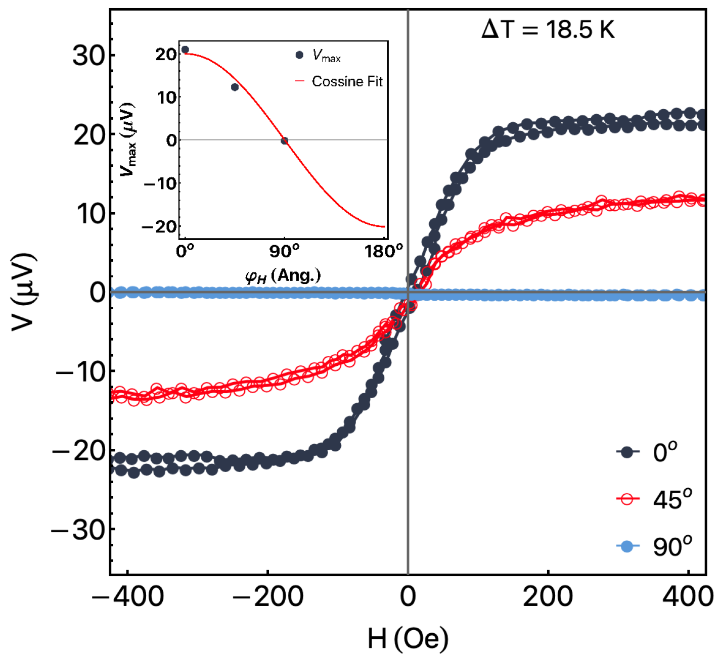
3.2. Anomalous Nernst Effect
4. Conclusions
Author Contributions
Funding
Institutional Review Board Statement
Informed Consent Statement
Data Availability Statement
Acknowledgments
Conflicts of Interest
References
- Seh, A.Q.; Gupta, D.C. Exploration of highly correlated Co-based quaternary Heusler alloys for spintronics and thermoelectric applications. Int. J. Energy Res. 2019, 43, 8864–8877. [Google Scholar] [CrossRef]
- Sofi, S.A.; Gupta, D.C. Systematic study of ferromagnetic phase stability of Co-based Heusler materials with high figure of merit: Hunt for spintronics and thermoelectric applicability. AIP Adv. 2020, 10, 105330. [Google Scholar] [CrossRef]
- Kung, P.Y.; Pan, F.; Su, Y.H. Spintronic hydrogen evolution induced by surface plasmon of silver nanoparticles loaded on Fe- and Co-doped ZnO nanorods. J. Mater. Chem. A 2021, 9, 24863–24873. [Google Scholar] [CrossRef]
- Zhang, Q.; Sun, Y.; Xu, W.; Zhu, D. Organic Thermoelectric Materials: Emerging Green Energy Materials Converting Heat to Electricity Directly and Efficiently. Adv. Mater. 2014, 26, 6829–6851. [Google Scholar] [CrossRef] [PubMed]
- Liu, H.; Chi, D. Synthesis of Iron Sulfide and Iron Oxide Nanocrystal Thin Films for Green Energy Applications. Procedia Eng. 2016, 141, 32–37. [Google Scholar] [CrossRef]
- Shah, J.; Gupta, R.; Kotnala, R.K. Colossal Humidoresistance Inducement in Magnesium Ferrite Thin Film Led to Green Energy Device Invention: Hydroelectric Cell; Spinger: Singapore, 2020; pp. 389–411. [Google Scholar] [CrossRef]
- Buznikov, N.; Safronov, A.; Orue, I.; Golubeva, E.; Lepalovskij, V.; Svalov, A.; Chlenova, A.; Kurlyandskaya, G. Modelling of magnetoimpedance response of thin film sensitive element in the presence of ferrogel: Next step toward development of biosensor for in-tissue embedded magnetic nanoparticles detection. Biosens. Bioelectron. 2018, 117, 366–372. [Google Scholar] [CrossRef]
- Serikov, V.V.; Kleinerman, N.M.; Volkova, E.G.; Lukshina, V.A.; Potapov, A.P.; Svalov, A.V. Structure and magnetic properties of nanocrystalline FeCuNbSiB alloys after a thermomechanical treatment. Phys. Met. Metallogr. 2006, 102, 268–273. [Google Scholar] [CrossRef]
- Zhang, G.; Li, C.; Cheng, F.; Chen, J. ZnFe2O4 tubes: Synthesis and application to gas sensors with high sensitivity and low-energy consumption. Sens. Actuators B Chem. 2007, 120, 403–410. [Google Scholar] [CrossRef]
- Wolf, S.A.; Awschalom, D.D.; Buhrman, R.A.; Daughton, J.M.; von Molnar, S.; Roukes, M.L.; Chtchelkanova, A.Y.; Treger, D.M. Spintronics: A Spin-Based Electronics Vision for the Future. Science 2001, 294, 1488–1495. [Google Scholar] [CrossRef]
- Lu, J.W.; Chen, E.; Kabir, M.; Stan, M.R.; Wolf, S.A. Spintronics technology: Past, present and future. Int. Mater. Rev. 2016, 61, 456–472. [Google Scholar] [CrossRef]
- Felser, C.; Fecher, G.H. Spintronics: From Materials to Devices; Springer Science & Business Media: Berlin/Heidelberg, Germany, 2013. [Google Scholar]
- Dufay, B.; Saez, S.; Dolabdjian, C.P.; Yelon, A.; Menard, D. Characterization of an Optimized Off-Diagonal GMI-Based Magnetometer. IEEE Sens. J. 2013, 13, 379–388. [Google Scholar] [CrossRef]
- Fernandez, E.; Garcia-Arribas, A.; Barandiaran, J.M.; Svalov, A.V.; Kurlyandskaya, G.V.; Dolabdjian, C.P. Equivalent Magnetic Noise of Micro-Patterned Multilayer Thin Films Based GMI Microsensor. IEEE Sens. J. 2015, 15, 6707–6714. [Google Scholar] [CrossRef]
- Efeoğlu, H.; Turut, A. A highly stable temperature sensor based on Au/Cu/n-Si Schottky barrier diodes dependent on the inner metal thickness. J. Phys. D Appl. Phys. 2022, 55, 185303. [Google Scholar] [CrossRef]
- Yu, C.; Wang, Z.; Yu, H.; Jiang, H. A stretchable temperature sensor based on elastically buckled thin film devices on elastomeric substrates. Appl. Phys. Lett. 2009, 95, 141912. [Google Scholar] [CrossRef]
- Yan, W.; Li, H.; Liu, J.; Guo, J. EPMA and XRD study on nickel metal thin film for temperature sensor. Sens. Actuators A Phys. 2007, 136, 212–215. [Google Scholar] [CrossRef]
- Sarma, S.; Lee, J.H. Developing Efficient Thin Film Temperature Sensors Utilizing Layered Carbon Nanotube Films. Sensors 2018, 18, 3182. [Google Scholar] [CrossRef]
- Liu, X.; Lam, K.H.; Zhu, K.; Zheng, C.; Li, X.; Du, Y.; Liu, C.; Pong, P.W.T. Overview of Spintronic Sensors With Internet of Things for Smart Living. IEEE Trans. Magn. 2019, 55, 1–22. [Google Scholar] [CrossRef]
- Díaz-Michelena, M. Small Magnetic Sensors for Space Applications. Sensors 2009, 9, 2271–2288. [Google Scholar] [CrossRef]
- Koh, I.; Josephson, L. Magnetic Nanoparticle Sensors. Sensors 2009, 9, 8130–8145. [Google Scholar] [CrossRef]
- Popovic, R.; Randjelovic, Z.; Manic, D. Integrated Hall-effect magnetic sensors. Sens. Actuators A Phys. 2001, 91, 46–50. [Google Scholar] [CrossRef]
- Makhotkin, V.; Shurukhin, B.; Lopatin, V.; Marchukov, P.; Levin, Y. Magnetic field sensors based on amorphous ribbons. Sens. Actuators A Phys. 1991, 27, 759–762. [Google Scholar] [CrossRef]
- Beach, R.S.; Berkowitz, A.E. Sensitive field- and frequency-dependent impedance spectra of amorphous FeCoSiB wire and ribbon (invited). J. Appl. Phys. 1994, 76, 6209–6213. [Google Scholar] [CrossRef]
- Semirov, A.V.; Bukreev, D.A.; Moiseev, A.A.; Derevyanko, M.S.; Kudryavtsev, V.O. Relationship Between the Temperature Changes of the Magnetostriction Constant and the Impedance of Amorphous Elastically Deformed Soft Magnetic Cobalt-Based Ribbons. Russ. Phys. J. 2013, 55, 977–982. [Google Scholar] [CrossRef]
- Fernández, E.; Svalov, A.V.; García-Arribas, A.; Feuchtwanger, J.; Barandiaran, J.M.; Kurlyandskaya, G.V. High Performance Magnetoimpedance in FeNi/Ti Nanostructured Multilayers with Opened Magnetic Flux. J. Nanosci. Nanotechnol. 2012, 12, 7496–7500. [Google Scholar] [CrossRef]
- Melzer, M.; Kaltenbrunner, M.; Makarov, D.; Karnaushenko, D.; Karnaushenko, D.; Sekitani, T.; Someya, T.; Schmidt, O.G. Imperceptible magnetoelectronics. Nat. Commun. 2015, 6, 6080. [Google Scholar] [CrossRef]
- Chuang, T.C.; Su, P.L.; Wu, P.H.; Huang, S.Y. Enhancement of the anomalous Nernst effect in ferromagnetic thin films. Phys. Rev. B 2017, 96, 174406. [Google Scholar] [CrossRef]
- Asaba, T.; Ivanov, V.; Thomas, S.M.; Savrasov, S.Y.; Thompson, J.D.; Bauer, E.D.; Ronning, F. Colossal anomalous Nernst effect in a correlated noncentrosymmetric kagome ferromagnet. Sci. Adv. 2021, 7. [Google Scholar] [CrossRef]
- Melo, A.S.; de Oliveira, A.B.; Chesman, C.; Pace, R.D.D.; Bohn, F.; Correa, M.A. Anomalous Nernst effect in stressed magnetostrictive film grown onto flexible substrate. Sci. Rep. 2019, 9, 15338. [Google Scholar] [CrossRef]
- Chen, T.; Minami, S.; Sakai, A.; Wang, Y.; Feng, Z.; Nomoto, T.; Hirayama, M.; Ishii, R.; Koretsune, T.; Arita, R.; et al. Large anomalous Nernst effect and nodal plane in an iron-based kagome ferromagnet. Sci. Adv. 2022, 8, 1. [Google Scholar] [CrossRef]
- Uchida, K.; Ishida, M.; Kikkawa, T.; Kirihara, A.; Murakami, T.; Saitoh, E. Longitudinal spin Seebeck effect: From fundamentals to applications. J. Phys. Condens. Matter 2014, 26, 343202. [Google Scholar] [CrossRef]
- Uchida, K.; Takahashi, S.; Harii, K.; Ieda, J.; Koshibae, W.; Ando, K.; Maekawa, S.; Saitoh, E. Observation of the spin Seebeck effect. Nature 2008, 455, 778–781. [Google Scholar] [CrossRef]
- Adachi, H.; Uchida, K.; Saitoh, E.; Maekawa, S. Theory of the spin Seebeck effect. Rep. Prog. Physics. Phys. Soc. (Great Britain) 2013, 76, 036501. [Google Scholar] [CrossRef]
- Tian, D.; Li, Y.; Qu, D.; Jin, X.; Chien, C.L. Separation of spin Seebeck effect and anomalous Nernst effect in Co/Cu/YIG. App. Phys. Lett. 2015, 106, 212407. [Google Scholar] [CrossRef]
- Uchida, K.; Xiao, J.; Adachi, H.; Ohe, J.; Takahashi, S.; Ieda, J.; Ota, T.; Kajiwara, Y.; Umezawa, H.; Kawai, H.; et al. Spin Seebeck insulator. Nat. Mater. 2010, 9, 894–897. [Google Scholar] [CrossRef]
- Svalov, A.; Andreev, S.; Arkhipov, A.; Kudyukov, E.; Neznakhin, D.; Larrañaga, A.; Kurlyandskaya, G. Magnetic and magnetocaloric properties of Gd melt-spun ribbons. J. Phys. Conf. Ser. 2019, 1389, 012100. [Google Scholar] [CrossRef]
- Parsons, R.; Ono, K.; Li, Z.; Kishimoto, H.; Shoji, T.; Kato, A.; Hill, M.; Suzuki, K. Prediction of density in amorphous and nanocrystalline soft magnetic alloys: A data mining approach. J. Alloys Compd. 2021, 859, 157845. [Google Scholar] [CrossRef]
- Volchkov, S.O.; Pasynkova, A.A.; Derevyanko, M.S.; Bukreev, D.A.; Kozlov, N.V.; Svalov, A.V.; Semirov, A.V. Magnetoimpedance of CoFeCrSiB Ribbon-Based Sensitive Element with FeNi Covering: Experiment and Modeling. Sensors 2021, 21, 6728. [Google Scholar] [CrossRef]
- Cerdeira, M.A.; Kurlyandskaya, G.V.; Fernandez, A.; Tejedor, M.; Garcia-Miquel, H. Giant Magnetoimpedance Effect in Surface Modified CoFeMoSiB Amorphous Ribbons. Chin. Phys. Lett. 2003, 20, 2246–2249. [Google Scholar] [CrossRef]
- Yoshizawa, Y.; Oguma, S.; Yamauchi, K. New Fe-based soft magnetic alloys composed of ultrafine grain structure. J. Appl. Phys. 1988, 64, 6044–6046. [Google Scholar] [CrossRef]
- Dmitrieva, N.V.; Lukshina, V.A.; Noskova, N.I.; Potapov, A.P. Magnetic anisotropy induced by stress annealing, its thermal stability, and structure of the Fe5Co72Si15B8 alloy. Phys. Met. Metallogr. 2007, 104, 53–58. [Google Scholar] [CrossRef]
- Xing, Y.; Sun, Q.-F.; Wang, J. Nernst and Seebeck effects in a graphene nanoribbon. Phys. Rev. B 2009, 80, 235411. [Google Scholar] [CrossRef]
- Geishendorf, K.; Vir, P.; Shekhar, C.; Felser, C.; Facio, J.I.; van den Brink, J.; Nielsch, K.; Thomas, A.; Goennenwein, S.T.B. Signatures of the Magnetic Entropy in the Thermopower Signals in Nanoribbons of the Magnetic Weyl Semimetal Co 3 Sn 2 S 2. Nano Lett. 2020, 20, 300–305. [Google Scholar] [CrossRef] [PubMed]
- Kurlyandskaya, G.V.; Lezama, L.; Pasynkova, A.A.; Volchkov, S.O.; Lukshina, V.A.; Larrañaga, A.; Dmitrieva, N.V.; Timofeeva, A.V.; Orue, I. Amorphous FeCoCrSiB Ribbons with Tailored Anisotropy for the Development of Magnetic Elements for High Frequency Applications. Materials 2022, 15, 4160. [Google Scholar] [CrossRef] [PubMed]
- Song, Y.; Jia, M.; Lin, M.; Li, X.; Lu, W. Thermal stability, magnetic properties and GMI effect of Cr-doping amorphous CoFeSiB ribbons. J. Alloys Compd. 2015, 622, 500–503. [Google Scholar] [CrossRef]
- Kurlyandskaya, G.; Vázquez, M.; Muñoz, J.; García, D.; McCord, J. Effect of induced magnetic anisotropy and domain structure features on magnetoimpedance in stress annealed Co-rich amorphous ribbons. J. Magn. Magn. Mater. 1999, 196–197, 259–261. [Google Scholar] [CrossRef]
- Kurlyandskaya, G.; Dmitrieva, N.; Zayarnaya, T.; Lukshina, V.; Potapov, A. The thermomechanical treatment of an amorphous Co-based alloy with a low Curie temperature. J. Magn. Magn. Mater. 1996, 160, 307–308. [Google Scholar] [CrossRef]
- Handrich, K.; Kobe, S. Amorphe Ferro- und Ferrimagnetika; De Gruyter: Berlin, Germany; Boston, MA, USA, 1980. [Google Scholar]
- Yang, Z.; Lei, C.; Zhou, Y.; Sun, X.-C. Study on the giant magnetoimpedance effect in micro-patterned Co-based amorphous ribbons with single strip structure and tortuous shape. Microsyst. Technol. 2015, 21, 1995–2001. [Google Scholar] [CrossRef]
- Néel, L. Anisotropie magnétique superficielle et surstructures d’orientation. J. Phys. Radium 1954, 15, 225–239. [Google Scholar] [CrossRef]
- Ershov, N.V.; Chernenkov, Y.P.; Lukshina, V.A.; Smirnov, O.P.; Shishkin, D.A. Effect of Temperature of Long Annealing on the Structure and Magnetic Properties of Nanocrystalline FeSiNbCuB Alloy. Phys. Solid State 2021, 63, 978–991. [Google Scholar] [CrossRef]
- Ershov, N.V.; Fedorov, V.I.; Chernenkov, Y.P.; Lukshina, V.A.; Shishkin, D.A. Effect of crystallization annealing under loading on the magnetic properties and the structure of a soft magnetic FeSiNbCuB alloy doped with chromium. Phys. Solid State 2017, 59, 1748–1761. [Google Scholar] [CrossRef]
- Závěta, K.; Nielsen, O.V.; Jurek, K. A domain study of magnetization processes in a stress-annealed metallic glass ribbon for fluxgate sensors. J. Magn. Magn. Mater. 1992, 117, 61–68. [Google Scholar] [CrossRef]
- Holanda, J.; Santos, O.A.; Cunha, R.O.; Mendes, J.B.; Rodríguez-Suárez, R.L.; Azevedo, A.; Rezende, S.M. Longitudinal spin Seebeck effect in permalloy separated from the anomalous Nernst effect: Theory and experiment. Phys. Rev. B 2017, 95, 214421. [Google Scholar] [CrossRef]
- Correa, M.A.; Gamino, M.; de Melo, A.S.; Lopes, M.V.P.; Santos, J.G.S.; Souza, A.L.R.; Junior, S.A.N.F.; Ferreira, A.; Lanceros-Méndez, S.; Vaz, F.; et al. Unraveling the role of magnetic anisotropy on the thermoelectric response: A theoretical and experimental approach. J. Phys. D Appl. Phys. 2022, 55, 025001. [Google Scholar] [CrossRef]
- Cox, C.D.W.; Caruana, A.J.; Cropper, M.D.; Morrison, K. Anomalous Nernst effect in Co 2 MnSi thin films. J. Phys. D Appl. Phys. 2020, 53, 035005. [Google Scholar] [CrossRef]
- Sakuraba, Y.; Hyodo, K.; Sakuma, A.; Mitani, S. Giant anomalous Nernst effect in the Co2MnAl1-xSix Heusler alloy induced by Fermi level tuning and atomic ordering. Phys. Rev. B 2020, 101, 134407. [Google Scholar] [CrossRef]
- Kurlyandskaya, G.; Lukshina, V.; Larrañaga, A.; Orue, I.; Zaharova, A.; Shishkin, D. Induced magnetic anisotropy features in FeCrSiBNbCu nanocrystalline alloy: Role of stress distribution proven by direct X-ray measurements. J. Alloys Compd. 2013, 566, 31–36. [Google Scholar] [CrossRef]








Disclaimer/Publisher’s Note: The statements, opinions and data contained in all publications are solely those of the individual author(s) and contributor(s) and not of MDPI and/or the editor(s). MDPI and/or the editor(s) disclaim responsibility for any injury to people or property resulting from any ideas, methods, instructions or products referred to in the content. |
© 2023 by the authors. Licensee MDPI, Basel, Switzerland. This article is an open access article distributed under the terms and conditions of the Creative Commons Attribution (CC BY) license (https://creativecommons.org/licenses/by/4.0/).
Share and Cite
Correa, M.A.; Ferreira, A.; Souza, A.L.R.; Dantas Neto, J.M.; Bohn, F.; Vaz, F.; Kurlyandskaya, G.V. Anomalous Nernst Effect in Flexible Co-Based Amorphous Ribbons. Sensors 2023, 23, 1420. https://doi.org/10.3390/s23031420
Correa MA, Ferreira A, Souza ALR, Dantas Neto JM, Bohn F, Vaz F, Kurlyandskaya GV. Anomalous Nernst Effect in Flexible Co-Based Amorphous Ribbons. Sensors. 2023; 23(3):1420. https://doi.org/10.3390/s23031420
Chicago/Turabian StyleCorrea, Marcio A., Armando Ferreira, Arthur L. R. Souza, João. M. Dantas Neto, Felipe Bohn, Filipe Vaz, and Galina V. Kurlyandskaya. 2023. "Anomalous Nernst Effect in Flexible Co-Based Amorphous Ribbons" Sensors 23, no. 3: 1420. https://doi.org/10.3390/s23031420
APA StyleCorrea, M. A., Ferreira, A., Souza, A. L. R., Dantas Neto, J. M., Bohn, F., Vaz, F., & Kurlyandskaya, G. V. (2023). Anomalous Nernst Effect in Flexible Co-Based Amorphous Ribbons. Sensors, 23(3), 1420. https://doi.org/10.3390/s23031420

