An Improved YOLOv5-Based Lightweight Submarine Target Detection Algorithm
Abstract
:1. Introduction
2. Principle of YOLOv5 Algorithm
3. Improved YOLOv5
3.1. Feature Pyramid Based on MobileNetV3
3.2. Combining with the Adaptive Neck of SA-Net
3.3. C3_DS_Conv
4. Experimental Results and Analysis
4.1. Data Collection and Processing
4.2. Training Parameter Setting
4.3. Results
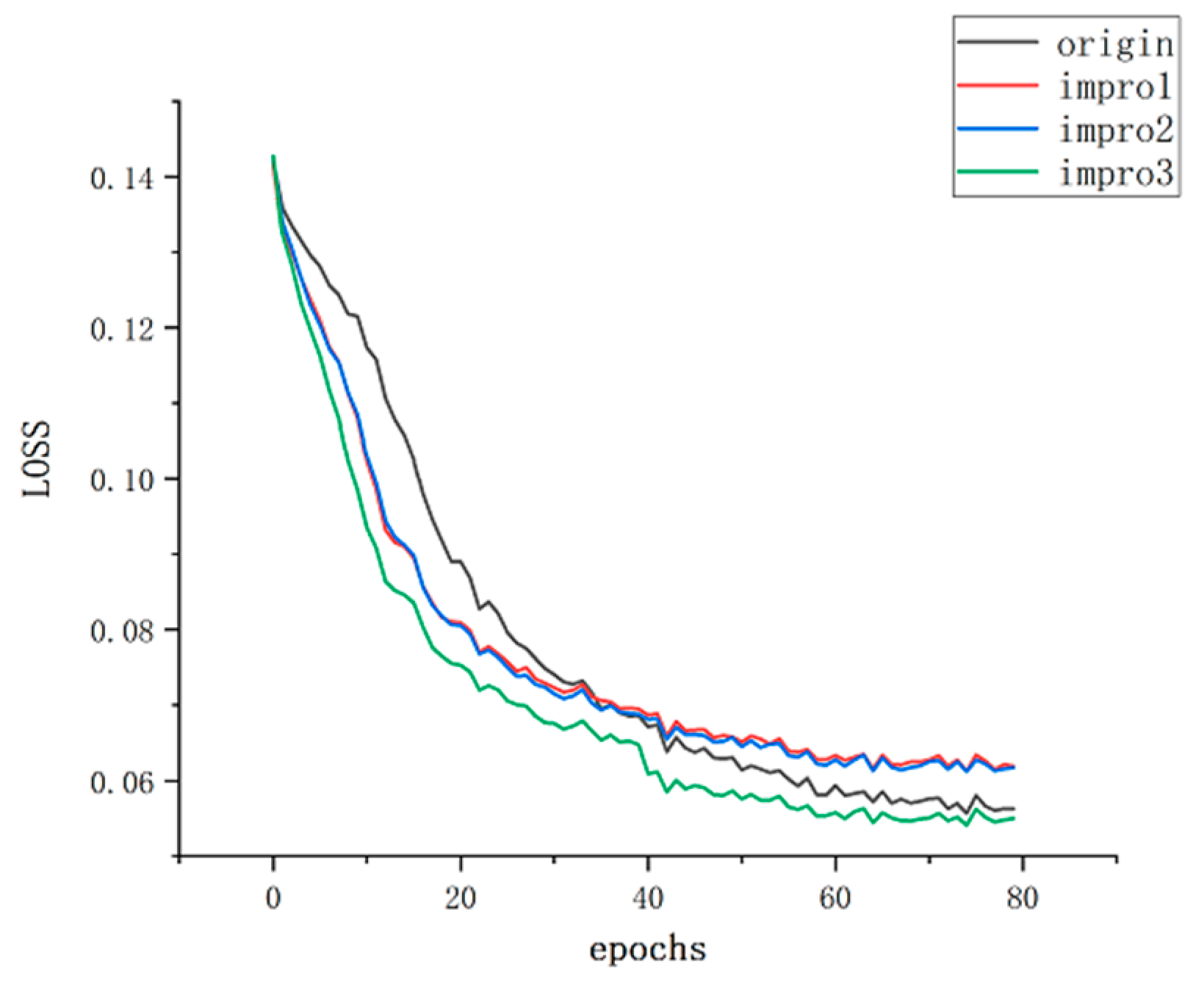
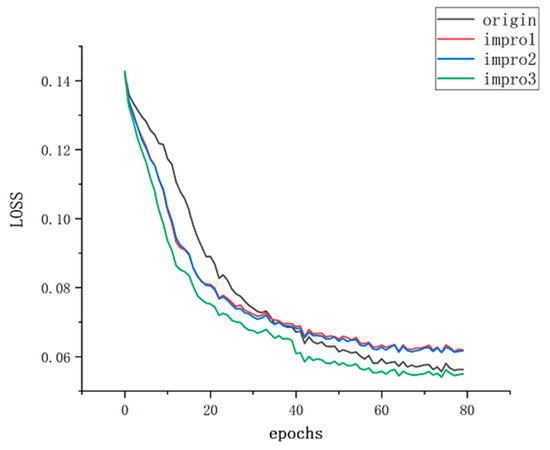
4.3.1. Overall Performance
4.3.2. Better Performance
4.3.3. More Lightweight
4.3.4. Focus More on the Outlook
4.3.5. Excellent Performance in Practice
4.3.6. Typical Algorithm Analogy
5. Conclusions
Author Contributions
Funding
Institutional Review Board Statement
Informed Consent Statement
Data Availability Statement
Conflicts of Interest
References
- Tian, L.; Shao, Z.; Wu, J. Application of Full Connection Network in Submarine Formation Recognition. In Proceedings of the 2020 IEEE 9th Joint International Information Technology and Artificial Intelligence Conference (ITAIC), Chongqing, China, 11–13 December 2020; pp. 322–326. [Google Scholar] [CrossRef]
- Liu, Z.; Xing, J.; Peng, P.; Fu, X. Application of Passive Estimation and Track of Target Depth in Submarine Recognition. In Proceedings of the International Symposium on Advances in Neural Networks-ISNN, DBLP, Wuhan, China, 26–29 May 2009. [Google Scholar] [CrossRef]
- Polmar, N.; Moore, K.J. Cold War Submarines: The Design and Construction of US and Soviet submarines; Potomac Books, Inc.: Washington, DC, USA, 2004. [Google Scholar]
- Baker, G.; Medhurst, J. GEORGE “BUD” BAKER. Sub Culture: The Many Lives of the Submarine. Nav. War Coll. Rev. 2023, 76, 12. [Google Scholar]
- Ashraf, A.; Abbas, T.; Ejaz, A. Magnetic Anamoly-Based Detection of a Submarine. In Proceedings of the 2023 International Multi-disciplinary Conference in Emerging Research Trends (IMCERT), Karachi, Pakistanm, 4–5 January 2023. [Google Scholar]
- Zhou, G.; Li, C.; Zhang, D.; Liu, D.; Zhou, X.; Zhan, J. Overview of underwater transmission characteristics of oceanic LiDAR. IEEE J. Sel. Top. Appl. Earth Obs. Remote Sens. 2021, 14, 8144–8159. [Google Scholar] [CrossRef]
- Abrahamsson, R.; Kay, S.M.; Stoica, P. Estimation of the parameters of a bilinear model with applications to submarine detection and system identification. Digit. Signal Process. 2007, 17, 756–773. [Google Scholar] [CrossRef]
- Zhang, Z.; Shi, J.; Yu, Z.; Ji, B.; Li, J. Feasibility analysis of submarine detection method based on the airborne gravity gradient. In Proceedings of the 2018 37th Chinese Control Conference (CCC), Wuhan, China, 25–27 July 2018. [Google Scholar]
- Luo, X.; Chen, L.; Zhou, H.; Cao, H. A Survey of Underwater Acoustic Target Recognition Methods Based on Machine Learning. J. Mar. Sci. Eng. 2023, 11, 384. [Google Scholar] [CrossRef]
- Xu, Y.H. Simulation Study on Sea Surface Reflection and Target Characteristics of Fully Submerged Submarines. Master’s Thesis, Harbin Institute of Technology, Harbin, China, 2021. (In Chinese) [Google Scholar] [CrossRef]
- Munteanu, D.; Moina, D.; Zamfir, C.G.; Petrea, S.M.; Cristea, S.C.; Munteanu, N. Sea mine detection framework using YOLO, SSD and EfficientDet deep learning models. Sensors 2022, 22, 9536. [Google Scholar] [CrossRef] [PubMed]
- Yi, Z.H. Research on Detection, Recognition, Fusion, and Tracking Methods for Wide-Area Submarine Target in the Sea Surface. Master’s Thesis, Harbin Institute of Technology, Harbin, China, 2020. (In Chinese) [Google Scholar] [CrossRef]
- Manjula, R.B.; Manvi, S.S. Coverage optimization based sensor deployment by using PSO for anti-submarine detection in UWASNs. In Proceedings of the 2013 Ocean Electronics (SYMPOL), Kochi, India, 23–25 October 2013; pp. 15–22. [Google Scholar]
- Zhu, L.; Xiong, J.; Wu, W.; Yu, H. FSDNet-An efficient fire detection network for complex scenarios based on YOLOv3 and DenseNet. arXiv 2023, arXiv:2304.07584. [Google Scholar]
- Yadav, P.K.; Thomasson, J.A.; Searcy, S.W.; Hardin, R.G.; Braga-Neto, U.; Popescu, S.C.; Martin, D.E.; Rodriguez, R.; Meza, K.; Enciso, J.; et al. Computer Vision for Volunteer Cotton Detection in a Corn Field with UAS Remote Sensing Imagery and Spot Spray Applications. arXiv 2022, arXiv:2207.07334. [Google Scholar]
- Luo, J.; Han, Y.; Fan, L. Underwater acoustic target tracking: A review. Sensors 2018, 18, 112. [Google Scholar] [CrossRef] [PubMed]
- Teng, B.; Zhao, H. Underwater target recognition methods based on the framework of deep learning: A survey. Int. J. Adv. Robot. Syst. 2020, 17, 1729881420976307. [Google Scholar] [CrossRef]
- Bochkovskiy, A.; Wang, C.; Liao, H.M. YOLOv5: Improved Real-Time Object Detection. Available online: https://github.com/ultralytics/yolov5 (accessed on 25 July 2023).
- Bochkovskiy, A.; Wang, C.; Liao, H.M. YOLOv4: Optimal Speed and Accuracy of Object Detection. arXiv 2020, arXiv:2004.10934. [Google Scholar]
- Ren, S.; He, K.; Girshick, R.; Sun, J. Faster r-cnn: Towards real-time object detection with region proposal networks. Adv. Neural Inf. Process. Syst. 2015, 28. [Google Scholar] [CrossRef] [PubMed]
- Zhao, L.; Li, S. Object detection algorithm based on improved YOLOv3. Electronics 2020, 9, 537. [Google Scholar] [CrossRef]
- Bodla, N.; Singh, B.; Chellappa, R.; Davis, L. Soft-NMS--improving object detection with one line of code. In Proceedings of the IEEE International Conference on Computer Vision, Venice, Italy, 22–29 October 2017; pp. 5561–5569. [Google Scholar]
- Guo, C.; Fan, B.; Gu, J.; Zhang, Q.; Xiang, S.; Prinet, V.; Pan, C. Progressive sparse local attention for video object detection. In Proceedings of the IEEE/CVF International Conference on Computer Vision, Seoul, Republic of Korea, 27 October–2 November 2019. [Google Scholar]
- Ramachandran, H.; Pereyra, G.; Simonyan, K. Swish: A Self-Gated Activation Function. arXiv 2017, arXiv:1710.05941. [Google Scholar]
- Sandler, M.; Howard, A.; Zhu, M.; Zhmoginov, A.; Chen, L. Mobilenetv2: Inverted residuals and linear bottlenecks. In Proceedings of the IEEE Conference on Computer Vision and Pattern Recognition, Salt Lake City, UT, USA, 18–23 June 2018; pp. 4510–4520. [Google Scholar]
- Ma, N.; Zhang, X.; Zheng, H.T.; Sun, J. Shufflenet v2: Practical guidelines for efficient cnn architecture design. In Proceedings of the European Conference on Computer Vision (ECCV), Munich, Germany, 8–14 September 2018; pp. 116–131. [Google Scholar]
- Issa, D.; Demirci, M.F.; Yazici, A. Speech emotion recognition with deep convolutional neural networks. Biomed. Signal. Process. Control 2020, 59, 101894. [Google Scholar] [CrossRef]
- Howard, A.G.; Zhu, M.; Chen, B.; Kalenichenko, D.; Wang, W.; Weyand, T.; Andreetto, M.; Adam, H. Mobilenets: Efficient convolutional neural networks for mobile vision applications. arXiv 2017, arXiv:1704.04861. [Google Scholar]
- Zhang, Q.L.; Yang, Y.B. Sa-net: Shuffle attention for deep convolutional neural networks. In Proceeding of 2021 IEEE International Conference on Acoustics, Speech and Signal Processing (ICASSP), Toronto, ON, Canada, 6–11 June 2021. [Google Scholar]
- Huang, S.; Papernot, N.; Goodfellow, I.; Duan, Y.; Abbeel, P. Adversarial attacks on neural network policies. arXiv 2017, arXiv:1702.02284. [Google Scholar]











| Model | P | R | mAP0.5 |
|---|---|---|---|
| origin | 0.822 | 0.769 | 0.874 |
| impro1 | 0.807 | 0.79 | 0.873 |
| impro2 | 0.874 | 0.75 | 0.882 |
| impro3 | 0.893↑ | 0.815↑ | 0.903↑ |
| Model | Layers | Parameters | GFLOPS |
|---|---|---|---|
| origin | 214 | 7,022,326 | 15.9 |
| impro1 | 294 | 4,694,678 | 7.0 |
| impro2 | 320 | 4,599,702 | 5.0 |
| impro3 | 298↑ | 4,627,590↓ | 5.1↓ |
| Model | P | R | mAP0.5/% |
|---|---|---|---|
| Faster-RCNN | 86.1 | 79.2 | 68.7 |
| SDD | 84.9 | 75.3 | 72.8 |
| YOLOv3 | 80.4 | 81.2 | 84.1 |
| YOLOv5 | 82.2 | 76.9 | 87.4 |
| Ours | 89.3 | 81.5 | 90.3 |
Disclaimer/Publisher’s Note: The statements, opinions and data contained in all publications are solely those of the individual author(s) and contributor(s) and not of MDPI and/or the editor(s). MDPI and/or the editor(s) disclaim responsibility for any injury to people or property resulting from any ideas, methods, instructions or products referred to in the content. |
© 2023 by the authors. Licensee MDPI, Basel, Switzerland. This article is an open access article distributed under the terms and conditions of the Creative Commons Attribution (CC BY) license (https://creativecommons.org/licenses/by/4.0/).
Share and Cite
Mei, L.; Chen, Z. An Improved YOLOv5-Based Lightweight Submarine Target Detection Algorithm. Sensors 2023, 23, 9699. https://doi.org/10.3390/s23249699
Mei L, Chen Z. An Improved YOLOv5-Based Lightweight Submarine Target Detection Algorithm. Sensors. 2023; 23(24):9699. https://doi.org/10.3390/s23249699
Chicago/Turabian StyleMei, Likun, and Zhili Chen. 2023. "An Improved YOLOv5-Based Lightweight Submarine Target Detection Algorithm" Sensors 23, no. 24: 9699. https://doi.org/10.3390/s23249699
APA StyleMei, L., & Chen, Z. (2023). An Improved YOLOv5-Based Lightweight Submarine Target Detection Algorithm. Sensors, 23(24), 9699. https://doi.org/10.3390/s23249699
