Assessment of Forest Ecosystem Variations in the Lancang–Mekong Region by Remote Sensing from 2010 to 2020
Abstract
:1. Introduction
2. Materials and Methods
2.1. Study Area and Data Resources
2.1.1. Study Area
2.1.2. Remote Sensing Products
- GLC_FC30 product
- 2.
- Global MuSyQ products
- 3.
- Climate classification map
2.2. Ecosystem Assessment Methods
2.2.1. Forest Status Indicators
2.2.2. Ecosystem Quality Indicator
2.2.3. Trend Assessment
3. Results and Analysis
3.1. Spatial Distribution of Vegetation Evaluation Indicators in 2020
3.2. Long-Term Trends for Forest Ecosystem Status from 2010 to 2020
3.2.1. Long-Term Trend in Vegetation Evaluation Indicators
3.2.2. Long-Term Variation Trend in EQI (KEQI) from 2010 to 2020
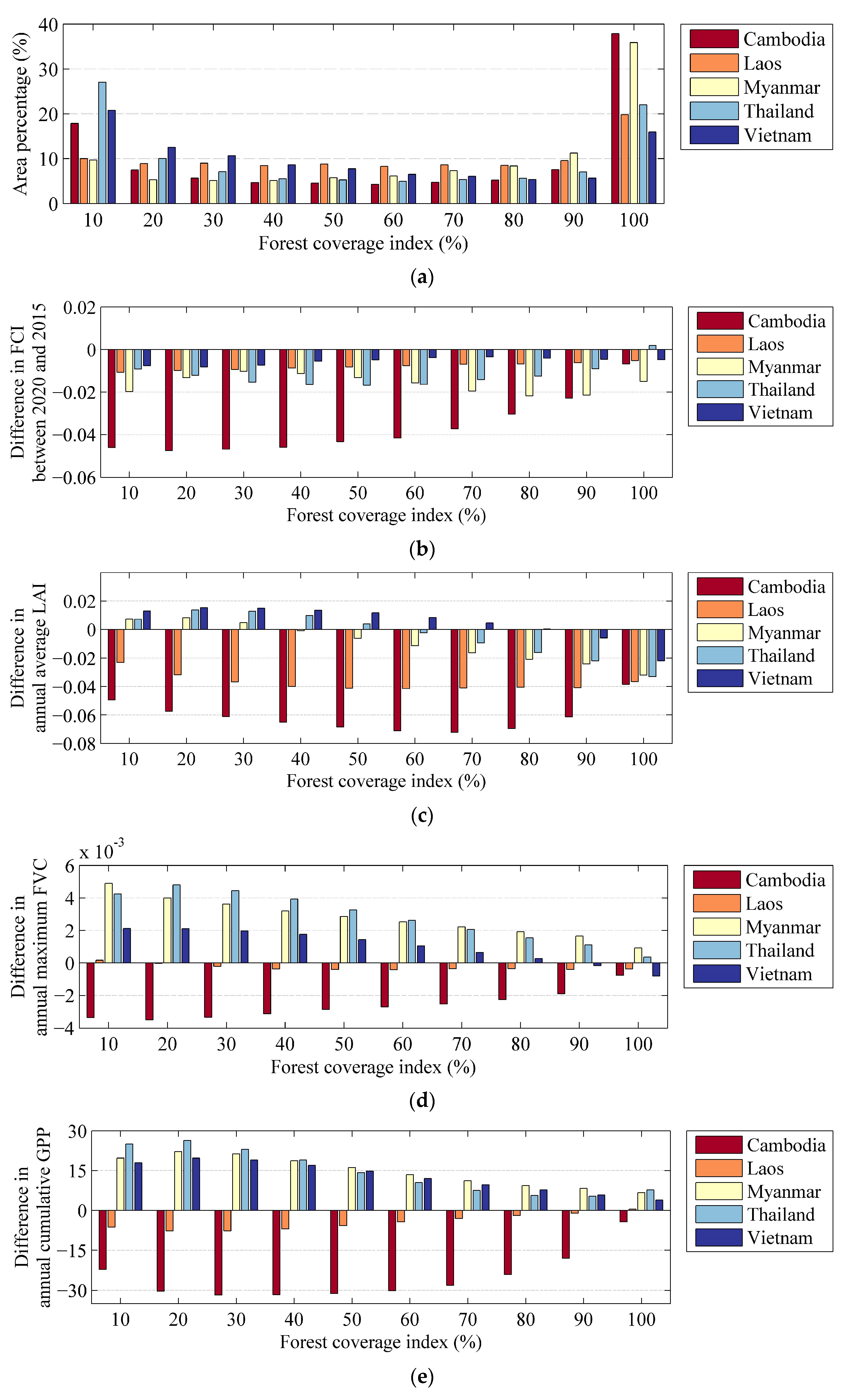
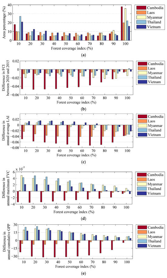
3.3. Vegetation Evaluation Indicator Variations for Different FCIs
3.4. The Influence of Different Altitudes on Vegetation Evaluation Indicators
4. Discussion
4.1. Uncertainties of This Study
4.2. Comparative Analysis with Similar Studies
5. Conclusions
Author Contributions
Funding
Institutional Review Board Statement
Informed Consent Statement
Data Availability Statement
Conflicts of Interest
References
- Tang, J.; Yin, X.A.; Yang, P.; Yang, Z.F. Assessment of Contributions of Climatic Variation and Human Activities to Streamflow Changes in the Lancang River, China. Water Resour. Manag. 2014, 28, 2953–2966. [Google Scholar] [CrossRef]
- Fan, H.; He, D.M.; Wang, H.L. Environmental consequences of damming the mainstream Lancang-Mekong River: A review. Earth-Sci. Rev. 2015, 146, 77–91. [Google Scholar] [CrossRef]
- Kayiranga, A.; Chen, B.Z.; Guo, L.F.; Measho, S.; Hirwa, H.; Liu, S.; Bofana, J.; Sun, S.B.; Wang, F.; Karamage, F.; et al. Spatiotemporal variations of forest ecohydrological characteristics in the Lancang-Mekong region during 1992–2016 and 2020–2099 under different climate scenarios. Agric. For. Meteorol. 2021, 310, 18. [Google Scholar] [CrossRef]
- Li, R.Z.; Huang, H.Q.; Wang, Z.G.; Zhao, R.X. Quantitative assessment of the impacts of climate and human activities on streamflow of the Lancang-Mekong river over the recent decades. Front. Earth Sci. 2023, 10, 15. [Google Scholar] [CrossRef]
- Wang, Y.M.; Long, D.; Li, X.D. High-temporal-resolution monitoring of reservoir water storage of the Lancang-Mekong River. Remote Sens. Environ. 2023, 292, 18. [Google Scholar] [CrossRef]
- Zhang, L.; Song, W.; Song, W. Assessment of Agricultural Drought Risk in the Lancang-Mekong Region, South East Asia. Int. J. Environ. Res. Public Health 2020, 17, 6153. [Google Scholar] [CrossRef]
- Malhi, Y.; Baldocchi, D.D.; Jarvis, P.G. The carbon balance of tropical, temperate and boreal forests. Plant Cell Environ. 1999, 22, 715–740. [Google Scholar] [CrossRef]
- Sierra, C.A.; Harmon, M.E.; Moreno, F.H.; Orrego, S.A.; Del Valle, J.I. Spatial and temporal variability of net ecosystem production in a tropical forest: Testing the hypothesis of a significant carbon sink. Glob. Chang. Biol. 2007, 13, 838–853. [Google Scholar] [CrossRef]
- Zhao, J.F.; Xie, H.F.; Ma, J.Y.; Wang, K.L. Integrated remote sensing and model approach for impact assessment of future climate change on the carbon budget of global forest ecosystems. Glob. Planet. Chang. 2021, 203, 7. [Google Scholar] [CrossRef]
- Kolomyts, E.G. Predictive modelling of boreal forest resources in regulation of the carbon cycle and mitigation of the global warming. Int. J. Glob. Warm. 2022, 27, 333–364. [Google Scholar] [CrossRef]
- Wen, Z.Q.; Li, X.; Li, T.H. Comprehensive Study on Freshwater Ecosystem Health of Lancang River Basin in Xishuangbanna of China. Water 2020, 12, 1716. [Google Scholar] [CrossRef]
- Filipponi, F.; Valentini, E.; Xuan, A.N.; Guerra, C.A.; Wolf, F.; Andrzejak, M.; Taramelli, A. Global MODIS Fraction of Green Vegetation Cover for Monitoring Abrupt and Gradual Vegetation Changes. Remote Sens. 2018, 10, 653. [Google Scholar] [CrossRef]
- Neigh, C.S.R.; Tucker, C.J.; Townshend, J.R.G. North American vegetation dynamics observed with multi-resolution satellite data. Remote Sens. Environ. 2008, 112, 1749–1772. [Google Scholar] [CrossRef]
- Tian, F.; Fensholt, R.; Verbesselt, J.; Grogan, K.; Horion, S.; Wang, Y.J. Evaluating temporal consistency of long-term global NDVI datasets for trend analysis. Remote Sens. Environ. 2015, 163, 326–340. [Google Scholar] [CrossRef]
- Zhang, Y. Dynamic monitoring method of forest coverage based on GIS technology. Glob. Nest J. 2020, 22, 544–553. [Google Scholar]
- Wu, J.H.; Liang, S.L. Assessing Terrestrial Ecosystem Resilience using Satellite Leaf Area Index. Remote Sens. 2020, 12, 595. [Google Scholar] [CrossRef]
- Liu, C.X.; Zhang, X.D.; Wang, T.; Chen, G.Z.; Zhu, K.; Wang, Q.; Wang, J. Detection of vegetation coverage changes in the Yellow River Basin from 2003 to 2020. Ecol. Indic. 2022, 138, 15. [Google Scholar] [CrossRef]
- Qian, S.; Yan, H.; Wu, M.X.; Cao, Y.; Xu, L.L.; Cheng, L. Dynamic monitoring and evaluation model for spatio-temporal change of comprehensive ecological quality of vegetation. Acta Ecol. Sin. 2020, 40, 6573–6583. [Google Scholar]
- Ministry of Ecology and Environment of the People’s Republic of China. Technical Specification for Investigation and Assessment of National Ecological Status—Ecosystem Quality Assessment, Hj 1172—2021; China Environmental Science Press: Beijing, China, 2021. (In Chinese) [Google Scholar]
- Ren, X.Y.; Zhang, M.K.; Qian, J.C.; Li, S.Q.; Wang, J.X.; Du, J. Analyzing Spatio-Temporal Change in Ecosystem Quality and Its Driving Mechanism in Henan Province, China, from 2010 to 2020. Sustainability 2022, 14, 11742. [Google Scholar] [CrossRef]
- Zhang, L.N.; Zhang, H.Q.; Xu, E.Q. Information entropy and elasticity analysis of the land use structure change influencing eco-environmental quality in Qinghai-Tibet Plateau from 1990 to 2015. Environ. Sci. Pollut. Res. 2022, 29, 18348–18364. [Google Scholar] [CrossRef]
- Sun, R.; Chen, S.H.; Su, H.B. Trend Analysis and Driving Factors of Vegetation Dynamics in Northern China from 1982 to 2015. Remote Sens. 2022, 14, 6163. [Google Scholar] [CrossRef]
- He, C.Y.; Yan, F.; Wang, Y.J.; Lu, Q. Spatiotemporal Variation in Vegetation Growth Status and Its Response to Climate in the Three-River Headwaters Region, China. Remote Sens. 2022, 14, 5041. [Google Scholar] [CrossRef]
- Li, J.; Wang, J.L.; Zhang, J.; Zhang, J.P.; Kong, H. Dynamic changes of vegetation coverage in China-Myanmar economic corridor over the past 20 years. Int. J. Appl. Earth Obs. Geoinf. 2021, 102, 13. [Google Scholar] [CrossRef]
- Pei, H.W.; Liu, M.Z.; Jia, Y.G.; Zhang, H.J.; Li, Y.L.; Xiao, Y.X. The trend of vegetation greening and its drivers in the Agro-pastoral ecotone of northern China, 2000–2020. Ecol. Indic. 2021, 129, 12. [Google Scholar] [CrossRef]
- Peng, J.; Liu, Z.H.; Liu, Y.H.; Wu, J.S.; Han, Y.A. Trend analysis of vegetation dynamics in Qinghai-Tibet Plateau using Hurst Exponent. Ecol. Indic. 2012, 14, 28–39. [Google Scholar] [CrossRef]
- Liu, L.; Zhang, X.; Gao, Y.; Chen, X.; Mi, J. Finer-Resolution Mapping of Global Land Cover: Recent Developments, Consistency Analysis, and Prospects. J. Remote Sens. 2021, 2021, 5289697. [Google Scholar] [CrossRef]
- Zhang, X.; Liu, L.Y.; Chen, X.D.; Gao, Y.; Xie, S.; Mi, J. GLC_FCS30: Global land-cover product with fine classification system at 30m using time-series Landsat imagery. Earth Syst. Sci. Data 2021, 13, 2753–2776. [Google Scholar] [CrossRef]
- Zhang, X.; Liu, L.Y.; Wu, C.S.; Chen, X.D.; Gao, Y.; Xie, S.; Zhang, B. Development of a global 30m impervious surface map using multisource and multitemporal remote sensing datasets with the Google Earth Engine platform. Earth Syst. Sci. Data 2020, 12, 1625–1648. [Google Scholar] [CrossRef]
- Xu, B.D.; Li, J.; Park, T.J.; Liu, Q.H.; Zeng, Y.L.; Yin, G.F.; Yan, K.; Chen, C.; Zhao, J.; Fan, W.L.; et al. Improving leaf area index retrieval over heterogeneous surface mixed with water. Remote Sens. Environ. 2020, 240, 16. [Google Scholar] [CrossRef]
- Dong, Y.D.; Li, J.; Jiao, Z.T.; Liu, Q.H.; Zhao, J.; Xu, B.D.; Zhang, H.; Zhang, Z.X.; Liu, C.; Knyazikhin, Y.; et al. A Method for Retrieving Coarse-Resolution Leaf Area Index for Mixed Biomes Using a Mixed-Pixel Correction Factor. IEEE Trans. Geosci. Remote Sens. 2023, 61, 4400317. [Google Scholar] [CrossRef]
- Zhao, J.; Li, J.; Liu, Q.H.; Xu, B.D.; Yu, W.T.; Lin, S.R.; Hu, Z. Estimating fractional vegetation cover from leaf area index and clumping index based on the gap probability theory. Int. J. Appl. Earth Obs. Geoinf. 2020, 90, 10. [Google Scholar] [CrossRef]
- Lin, S.R.; Li, J.; Liu, Q.H.; Gioli, B.; Paul-Limoges, E.; Buchmann, N.; Gharun, M.; Hortnagl, L.; Foltynova, L.; Dusek, J.; et al. Improved global estimations of gross primary productivity of natural vegetation types by incorporating plant functional type. Int. J. Appl. Earth Obs. Geoinf. 2021, 100, 14. [Google Scholar] [CrossRef]
- Beck, H.E.; Zimmermann, N.E.; Mcvicar, T.R.; Vergopolan, N.; Wood, E.F. Present and future Kppen-Geiger climate classification maps at 1-km resolution. Springer Sci. 2019, 11, 1056. [Google Scholar]
- Kim, S.; Sohn, H.G.; Kim, M.K.; Lee, H. Analysis of the Relationship among Flood Severity, Precipitation, and Deforestation in the Tonle Sap Lake Area, Cambodia Using Multi-Sensor Approach. KSCE J. Civ. Eng. 2019, 23, 1330–1340. [Google Scholar] [CrossRef]
- Lohani, S.; Dilts, T.E.; Weisberg, P.J.; Null, S.E.; Hogan, Z.S. Rapidly Accelerating Deforestation in Cambodia’s Mekong River Basin: A Comparative Analysis of Spatial Patterns and Drivers. Water 2020, 12, 2191. [Google Scholar] [CrossRef]
- Pauly, M.; Crosse, W.; Tosteson, J. High deforestation trajectories in Cambodia slowly transformed through economic land concession restrictions and strategic execution of REDD plus protected areas. Sci. Rep. 2022, 12, 9. [Google Scholar] [CrossRef]
- Wu, J.J.; Wang, X.; Zhong, B.; Yang, A.X.; Jue, K.S.; Wu, J.H.; Zhang, L.; Xu, W.J.; Wu, S.L.; Zhang, N.; et al. Ecological environment assessment for Greater Mekong Subregion based on Pressure-State-Response framework by remote sensing. Ecol. Indic. 2020, 117, 14. [Google Scholar] [CrossRef]
- Yang, W.P.; Li, D. Spatio-temporal evolution of ecological environment quality in China from a concept of strong sustainability. Environ. Sci. Pollut. Res. 2022, 29, 28769–28787. [Google Scholar] [CrossRef]
- Li, W.; Li, C.C.; Liu, X.F.; He, D.M.; Bao, A.M.; Yi, Q.X.; Wang, B.S.; Liu, T. Analysis of spatial-temporal variation in NPP based on hydrothermal conditions in the Lancang-Mekong River Basin from 2000 to 2014. Environ. Monit. Assess. 2018, 190, 15. [Google Scholar] [CrossRef]













| Index | Calculation | Interpretation | Units | Valid Range |
|---|---|---|---|---|
| FCI | The percentage of forests. | Measure how many forests are distributed in a certain area. | - | [0%, 100%] |
| Annual average LAI | The average value of LAI for a whole year. | Illustrate the average annual growth of the forest. | m2/m2 | [0, 8] |
| Annual maximum FVC | The maximum value of FVC during the year. | Display the peak growth over the year. | - | [0%, 100%] |
| Annual cumulative GPP | The cumulative value of GPP for a whole year. | Demonstrate the carbon sequestration potential of vegetation. | gC/m2 | [0, 5000] |
| Grade | I | II | III | IV | V |
|---|---|---|---|---|---|
| Description | Good | Better | Moderate | Qualified | Below standard |
| EQI Range | [75, 100] | [55, 75) | [35, 55) | [20, 35) | [0, 20) |
| Grade | I | II | III | IV | V |
|---|---|---|---|---|---|
| Description | Significant improvement | Minor improvement | Unchanged | Slight decrease | Significant decrease |
| KEQI Range | >1.0/a | (0.5/a, 1.0/a] | [−0.5/a, 0.5/a] | [−1.0/a, −0.5) | <−1.0/a |
| Country | FCI (%) | Annual Average LAI | Annual Maximum FVC (%) | Annual Cumulative GPP (gC/m2) |
|---|---|---|---|---|
| Overall | 55.73 | 3.41 | 93.51 | 2879.54 |
| Cambodia | 59.88 | 2.98 | 90.41 | 2689.23 |
| Laos | 54.85 | 3.99 | 95.37 | 3093.06 |
| Myanmar | 65.93 | 3.58 | 94.80 | 2845.99 |
| Thailand | 46.43 | 3.00 | 91.16 | 2903.91 |
| Vietnam | 43.81 | 3.32 | 93.78 | 2824.06 |
Disclaimer/Publisher’s Note: The statements, opinions and data contained in all publications are solely those of the individual author(s) and contributor(s) and not of MDPI and/or the editor(s). MDPI and/or the editor(s) disclaim responsibility for any injury to people or property resulting from any ideas, methods, instructions or products referred to in the content. |
© 2023 by the authors. Licensee MDPI, Basel, Switzerland. This article is an open access article distributed under the terms and conditions of the Creative Commons Attribution (CC BY) license (https://creativecommons.org/licenses/by/4.0/).
Share and Cite
Zhao, J.; Li, J.; Liu, Q.; Dong, Y.; Li, L.; Zhang, H. Assessment of Forest Ecosystem Variations in the Lancang–Mekong Region by Remote Sensing from 2010 to 2020. Sensors 2023, 23, 9038. https://doi.org/10.3390/s23229038
Zhao J, Li J, Liu Q, Dong Y, Li L, Zhang H. Assessment of Forest Ecosystem Variations in the Lancang–Mekong Region by Remote Sensing from 2010 to 2020. Sensors. 2023; 23(22):9038. https://doi.org/10.3390/s23229038
Chicago/Turabian StyleZhao, Jing, Jing Li, Qinhuo Liu, Yadong Dong, Li Li, and Hu Zhang. 2023. "Assessment of Forest Ecosystem Variations in the Lancang–Mekong Region by Remote Sensing from 2010 to 2020" Sensors 23, no. 22: 9038. https://doi.org/10.3390/s23229038
APA StyleZhao, J., Li, J., Liu, Q., Dong, Y., Li, L., & Zhang, H. (2023). Assessment of Forest Ecosystem Variations in the Lancang–Mekong Region by Remote Sensing from 2010 to 2020. Sensors, 23(22), 9038. https://doi.org/10.3390/s23229038

