A Deep Learning Framework for Anesthesia Depth Prediction from Drug Infusion History
Abstract
:1. Introduction
- A new deep learning framework for DOA prediction according to drug infusion history is proposed to overcome the shortcomings of the existing DOA prediction methods.
- A modified AdaRNN algorithm is developed in our framework for DOA prediction to address the issue of distribution shifts in the physiological characteristics of different patients.
- A feature-based knowledge distillation framework is proposed for time series prediction, which allows the prediction model to obtain more useful information. This framework enables the intermediate features of the model to accurately represent the DOA, thereby ensuring reliable and stable output results. To the best of our knowledge, this is the first time that knowledge distillation has been implemented to predict the DOA.
- Extensive experimental results show that our method has better performance than the existing DOA prediction methods on a publicly available dataset during all periods, including the induction, maintenance, and recovery periods.
2. Related Works
2.1. Total Intravenous Anesthesia
2.2. Domain Adaptation
2.3. Knowledge Distillation
3. Methodology
3.1. AdaRNN
3.1.1. Temporal Distribution Characterization
| Algorithm 1: Temporal distribution characterization |
![]() |
3.1.2. Temporal Distribution Matching
3.1.3. Neural-Network-Based Importance Evaluation
3.2. Knowledge Distillation
3.2.1. Knowledge Distillation via RNN
3.2.2. Knowledge Distillation via Bottleneck
3.3. Loss Function
3.3.1. Loss Function of the Teacher Network
3.3.2. Loss Function of the Student/Prediction Networks
4. Experiments
4.1. DOA Type and Dataset
4.2. Data Processing
- If the BIS value at the start of the drug infusion is less than 80;
- If the data are missing for more than 300 s;
- If the first BIS is recorded when the cumulative amount of the infused drug is not 0.
4.3. Experiment Settings
4.3.1. Teacher and Student Network
4.3.2. Implementation Details
4.4. Evaluation Metrics and Results
4.4.1. Open-Access Dataset
4.4.2. In-House Dataset
4.4.3. Statics Test and Application in the Real Word
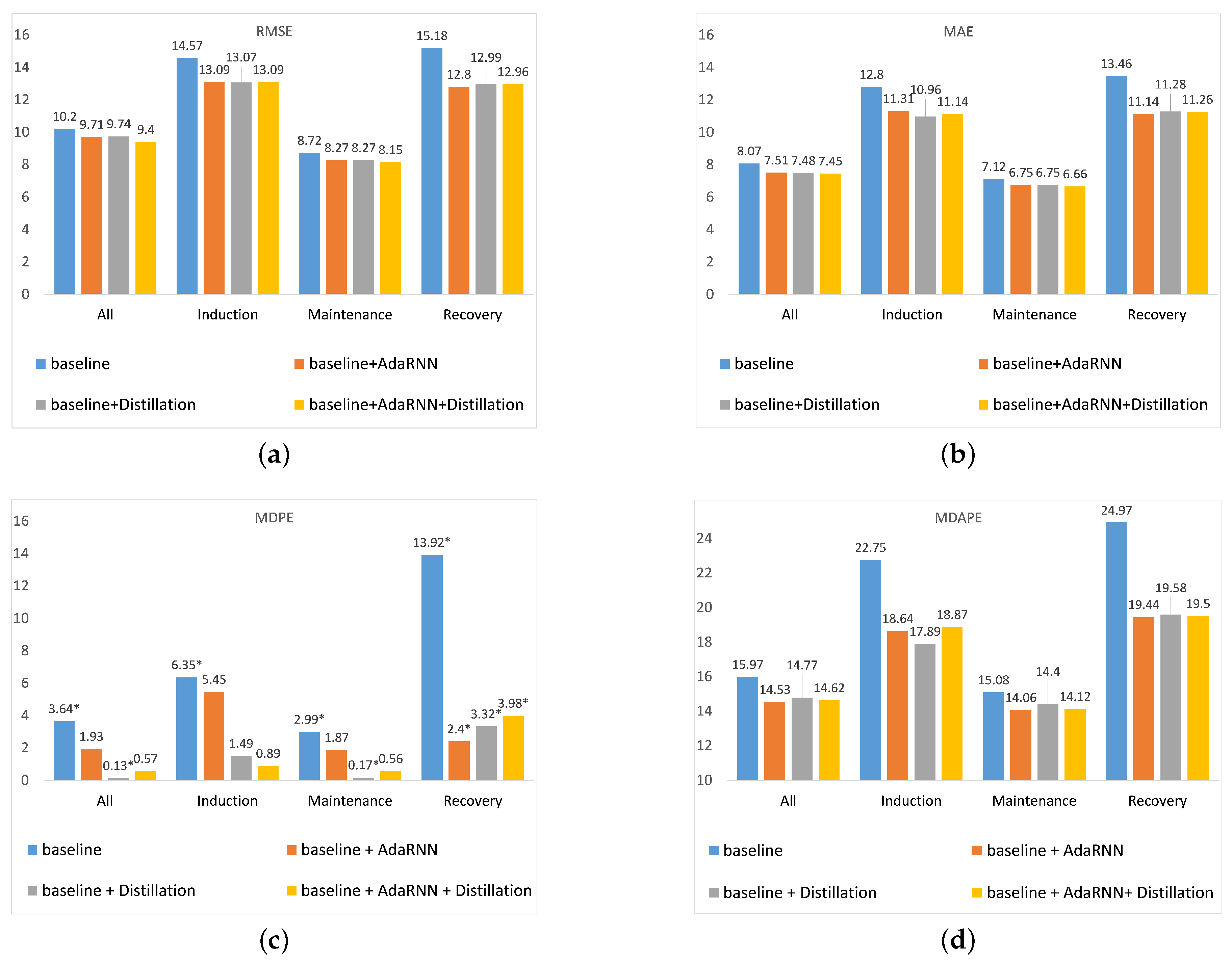
4.5. Ablation Study
5. Conclusions
Author Contributions
Funding
Institutional Review Board Statement
Informed Consent Statement
Data Availability Statement
Conflicts of Interest
References
- Padmanabhan, R.; Meskin, N.; Haddad, W.M. Closed-loop control of anesthesia and mean arterial pressure using reinforcement learning. Biomed. Signal Process. Control 2015, 22, 54–64. [Google Scholar] [CrossRef]
- Glass, P.S.; Bloom, M.; Kearse, L.; Rosow, C.; Sebel, P.; Manberg, P. Bispectral analysis measures sedation and memory effects of propofol, midazolam, isoflurane, and alfentanil in healthy volunteers. J. Am. Soc. Anesthesiol. 1997, 86, 836–847. [Google Scholar] [CrossRef]
- Sigl, J.C.; Chamoun, N.G. An introduction to bispectral analysis for the electroencephalogram. J. Clin. Monit. 1994, 10, 392–404. [Google Scholar] [CrossRef]
- Marsh, B.; White, M.; Morton, N.; Kenny, G. Pharmacokinetic model driven infusion of propofol in children. BJA Br. J. Anaesth. 1991, 67, 41–48. [Google Scholar] [CrossRef]
- Schnider, T.W.; Minto, C.F.; Gambus, P.L.; Andresen, C.; Goodale, D.B.; Shafer, S.L.; Youngs, E.J. The influence of method of administration and covariates on the pharmacokinetics of propofol in adult volunteers. J. Am. Soc. Anesthesiol. 1998, 88, 1170–1182. [Google Scholar] [CrossRef]
- Coppens, M.; Van Limmen, J.; Schnider, T.; Wyler, B.; Bonte, S.; Dewaele, F.; Struys, M.; Vereecke, H. Study of the time course of the clinical effect of propofol compared with the time course of the predicted effect-site concentration: Performance of three pharmacokinetic–dynamic models. Br. J. Anaesth. 2010, 104, 452–458. [Google Scholar] [CrossRef]
- Jove, E.; Gonzalez-Cava, J.M.; Casteleiro-Roca, J.L.; Méndez-Pérez, J.A.; Antonio Reboso-Morales, J.; Javier Pérez-Castelo, F.; Javier de Cos Juez, F.; Luis Calvo-Rolle, J. Modelling the hypnotic patient response in general anaesthesia using intelligent models. Log. J. IGPL 2019, 27, 189–201. [Google Scholar] [CrossRef]
- Méndez, J.A.; Marrero, A.; Reboso, J.A.; León, A. Adaptive fuzzy predictive controller for anesthesia delivery. Control. Eng. Pract. 2016, 46, 1–9. [Google Scholar] [CrossRef]
- Haghighi, S.J.; Komeili, M.; Hatzinakos, D.; El Beheiry, H. 40-Hz ASSR for measuring depth of anaesthesia during induction phase. IEEE J. Biomed. Health Inform. 2017, 22, 1871–1882. [Google Scholar] [CrossRef]
- Shalbaf, A.; Saffar, M.; Sleigh, J.W.; Shalbaf, R. Monitoring the depth of anesthesia using a new adaptive neurofuzzy system. IEEE J. Biomed. Health Inform. 2017, 22, 671–677. [Google Scholar] [CrossRef]
- Raju, D.N.; Shanmugasundaram, H.; Sasikumar, R. Fuzzy segmentation and black widow–based optimal SVM for skin disease classification. Med. Biol. Eng. Comput. 2021, 59, 2019–2035. [Google Scholar] [CrossRef]
- Lee, H.C.; Ryu, H.G.; Chung, E.J.; Jung, C.W. Prediction of bispectral index during target-controlled infusion of propofol and remifentanil: A deep learning approach. Anesthesiology 2018, 128, 492–501. [Google Scholar] [CrossRef]
- Afshar, S.; Boostani, R.; Sanei, S. A combinatorial deep learning structure for precise depth of anesthesia estimation from EEG signals. IEEE J. Biomed. Health Inform. 2021, 25, 3408–3415. [Google Scholar] [CrossRef]
- Chen, Y.F.; Fan, S.Z.; Abbod, M.F.; Shieh, J.S.; Zhang, M. Nonlinear Analysis of Electroencephalogram Variability as a Measure of the Depth of Anesthesia. IEEE Trans. Instrum. Meas. 2022, 71, 1–13. [Google Scholar] [CrossRef]
- Dutt, M.I.; Saadeh, W. A Multilayer Perceptron (MLP) Regressor Network for Monitoring the Depth of Anesthesia. In Proceedings of the 2022 20th IEEE Interregional NEWCAS Conference (NEWCAS), Quebec City, QC, Canada, 19–22 June 2022; pp. 251–255. [Google Scholar]
- Plourde, G.; Boylan, J. The auditory steady state response during sufentanil anaesthesia. BJA Br. J. Anaesth. 1991, 66, 683–691. [Google Scholar] [CrossRef]
- Du, Y.; Wang, J.; Feng, W.; Pan, S.; Qin, T.; Xu, R.; Wang, C. Adarnn: Adaptive learning and forecasting of time series. In Proceedings of the 30th ACM International Conference on Information & Knowledge Management, Gold Coast, QSD, Australia, 1–5 November 2021; pp. 402–411. [Google Scholar]
- Björnsson, M.A.; Norberg, Å.; Kalman, S.; Karlsson, M.O.; Simonsson, U.S. A two-compartment effect site model describes the bispectral index after different rates of propofol infusion. J. Pharmacokinet. Pharmacodyn. 2010, 37, 243–255. [Google Scholar] [CrossRef]
- Gonzalez-Cava, J.M.; Reboso, J.A.; Calvo-Rolle, J.L.; Mendez-Perez, J.A. Adaptive drug interaction model to predict depth of anesthesia in the operating room. Biomed. Signal Process. Control 2020, 59, 101931. [Google Scholar] [CrossRef]
- Yu, C.; Wang, J.; Chen, Y.; Huang, M. Transfer learning with dynamic adversarial adaptation network. In Proceedings of the 2019 IEEE International Conference on Data Mining (ICDM), Beijing, China, 8–11 November 2019; pp. 778–786. [Google Scholar]
- Wang, J.; Chen, Y.; Feng, W.; Yu, H.; Huang, M.; Yang, Q. Transfer learning with dynamic distribution adaptation. ACM Trans. Intell. Syst. Technol. (TIST) 2020, 11, 1–25. [Google Scholar] [CrossRef]
- Li, H.; Pan, S.J.; Wang, S.; Kot, A.C. Domain generalization with adversarial feature learning. In Proceedings of the IEEE Conference on Computer Vision and Pattern Recognition, Salt Lake City, UT, USA, 18–23 June 2018; pp. 5400–5409. [Google Scholar]
- Bengio, Y.; Courville, A.; Vincent, P. Representation learning: A review and new perspectives. IEEE Trans. Pattern Anal. Mach. Intell. 2013, 35, 1798–1828. [Google Scholar] [CrossRef]
- Romero, A.; Ballas, N.; Kahou, S.E.; Chassang, A.; Gatta, C.; Bengio, Y. Fitnets: Hints for thin deep nets. arXiv 2014, arXiv:1412.6550. [Google Scholar]
- Gao, Q.; Zhao, Y.; Li, G.; Tong, T. Image super-resolution using knowledge distillation. In Proceedings of the Asian Conference on Computer Vision, Perth, Australia, 2–6 December 2018; pp. 527–541. [Google Scholar]
- Hong, M.; Xie, Y.; Li, C.; Qu, Y. Distilling image dehazing with heterogeneous task imitation. In Proceedings of the IEEE/CVF Conference on Computer Vision and Pattern Recognition, Seattle, WA, USA, 13–19 June 2020; pp. 3462–3471. [Google Scholar]
- Zhang, G.; Etemad, A. Distilling eeg representations via capsules for affective computing. arXiv 2021, arXiv:2105.00104. [Google Scholar] [CrossRef]
- Varvel, J.R.; Donoho, D.L.; Shafer, S.L. Measuring the predictive performance of computer-controlled infusion pumps. J. Pharmacokinet. Biopharm. 1992, 20, 63–94. [Google Scholar] [CrossRef] [PubMed]
- Kuznetsov, V.; Mohri, M. Generalization bounds for time series prediction with non-stationary processes. In Proceedings of the International Conference on Algorithmic Learning Theory, Bled, Slovenia, 8–10 October 2014; pp. 260–274. [Google Scholar]
- Oreshkin, B.N.; Carpov, D.; Chapados, N.; Bengio, Y. Meta-learning framework with applications to zero-shot time-series forecasting. In Proceedings of the AAAI Conference on Artificial Intelligence, Vancouver, BC, Canada, 2–9 February 2021; Volume 35, pp. 9242–9250. [Google Scholar]
- Ross, S.M. Introduction to Stochastic Dynamic Programming; Academic Press: Cambridge, MA, USA, 2014. [Google Scholar]
- Ganin, Y.; Ustinova, E.; Ajakan, H.; Germain, P.; Larochelle, H.; Laviolette, F.; Marchand, M.; Lempitsky, V. Domain-adversarial training of neural networks. J. Mach. Learn. Res. 2016, 17, 2096–3030. [Google Scholar]
- Sun, B.; Saenko, K. Deep coral: Correlation alignment for deep domain adaptation. In Proceedings of the European Conference on Computer Vision, Amsterdam, The Netherlands, 11–14 October 2016; pp. 443–450. [Google Scholar]
- Schüttler, J.; Ihmsen, H. Population pharmacokinetics of propofol: A multicenter study. J. Am. Soc. Anesthesiol. 2000, 92, 727–738. [Google Scholar] [CrossRef]
- Lan, J.Y.; Abbod, M.F.; Yeh, R.G.; Fan, S.Z.; Shieh, J.S. Intelligent modeling and control in anesthesia. J. Med. Biol. Eng. 2012, 32, 293–307. [Google Scholar] [CrossRef]
- Kreuer, S.; Wilhelm, W.; Grundmann, U.; Larsen, R.; Bruhn, J. Narcotrend index versus bispectral index as electroencephalogram measures of anesthetic drug effect during propofol anesthesia. Anesth. Analg. 2004, 98, 692–697. [Google Scholar] [CrossRef]
- Jun, M.R.; Yoo, J.H.; Park, S.Y.; Na, S.; Kwon, H.; Nho, J.H. Assessment of phase-lag entropy, a new measure of electroencephalographic signals, for propofol-induced sedation. Korean J. Anesthesiol. 2019, 72, 351–356. [Google Scholar] [CrossRef]
- Jones, J.H.; Nittur, V.R.; Fleming, N.; Applegate, R.L. Simultaneous comparison of depth of sedation performance between SedLine and BIS during general anesthesia using custom passive interface hardware: Study protocol for a prospective, non-blinded, non-randomized trial. BMC Anesthesiol. 2021, 21, 105. [Google Scholar] [CrossRef]
- Kim, D.; Ahn, J.H.; Heo, G.; Jeong, J.S. Comparison of Bispectral Index and Patient State Index values according to recovery from moderate neuromuscular block under steady-state total intravenous anesthesia. Sci. Rep. 2021, 11, 5908. [Google Scholar] [CrossRef]
- Lee, H.C.; Jung, C.W. Vital Recorder—A free research tool for automatic recording of high-resolution time-synchronised physiological data from multiple anaesthesia devices. Sci. Rep. 2018, 8, 1527. [Google Scholar] [CrossRef]
- Shafer, S.L.; Gregg, K.M. Algorithms to rapidly achieve and maintain stable drug concentrations at the site of drug effect with a computer-controlled infusion pump. J. Pharmacokinet. Biopharm. 1992, 20, 147–169. [Google Scholar] [CrossRef] [PubMed]
- Lewis, S.R.; Pritchard, M.W.; Fawcett, L.J.; Punjasawadwong, Y. Bispectral index for improving intraoperative awareness and early postoperative recovery in adults. Cochrane Database Syst. Rev. 2019, 9, CD003843. [Google Scholar] [PubMed]
- Liu, Q.; Ma, L.; Fan, S.Z.; Abbod, M.F.; Shieh, J.S. Sample entropy analysis for the estimating depth of anaesthesia through human EEG signal at different levels of unconsciousness during surgeries. PeerJ 2018, 6, e4817. [Google Scholar] [CrossRef]
- Chai, T.; Draxler, R.R. Root mean square error (RMSE) or mean absolute error (MAE). Geosci. Model Dev. Discuss. 2014, 7, 1525–1534. [Google Scholar]
- Zhou, T.; Ma, Z.; Wen, Q.; Wang, X.; Sun, L.; Jin, R. Fedformer: Frequency enhanced decomposed transformer for long-term series forecasting. In Proceedings of the International Conference on Machine Learning, Baltimore, MD, USA, 17–23 July 2022. [Google Scholar]
- Zhang, Y.; Yan, J. Crossformer: Transformer utilizing cross-dimension dependency for multivariate time series forecasting. In Proceedings of the The Eleventh International Conference on Learning Representations, Kigali, Rwanda, 1–5 May 2023. [Google Scholar]
- Vaswani, A.; Shazeer, N.; Parmar, N.; Uszkoreit, J.; Jones, L.; Gomez, A.N.; Kaiser, Ł.; Polosukhin, I. Attention is all you need. arXiv 2017, arXiv:1706.03762. [Google Scholar]







| DOA Type | |
|---|---|
| Bispectral Index [35] | Narcotrend Index [36] |
| Phase Lag Entropy [37] | Entropy [35] |
| SedLine [38] | Patient State Index [39] |
| Auditory Evoked Potential [35] | Surgical Stress Index [35] |
| Training Data Set | Validation Data Set | Testing Data Set | |
|---|---|---|---|
| N | 180 | 76 | 76 |
| Age (yr) | 56.1 ± 14.0 (17–82) | 56.3 ± 15.0 (17–79) | 56.2 ± 15.1 (17–79) |
| Sex (male/female) | 113/67 | 47/29 | 40/36 |
| Weight (kg) | 61.5 ± 10.2 (37.9–98.1) | 60.7 ± 10.3 (37.9–98.1) | 60.0 ± 9.8 (37.9–81.6) |
| Height (cm) | 163.2 ± 8.2 (138.8–186.6) | 162.3 ± 7.9 (138.8–182.0) | 161.2 ± 7.5 (138.8–182.0) |
| Median BIS | 41.1 ± 5.4 (25.9–59.5) | 43.1 ± 6.1 (23.1–57.2) | 42.5 ± 5.8 (30.6–55.9) |
| Propofol total dose (g) | 1.19 ± 0.63 (0.28–3.41) | 1.27 ± 0.71 (0.32–3.31) | 1.32 ± 0.71 (0.30–4.24) |
| Propofol median Ce (μg/mL) | 3.02 ± 0.47 (1.91–4.30) | 3.06 ± 0.49 (2.00–4.00) | 3.05 ± 0.50 (1.60–4.00) |
| Remifentanil total dose (g) | 1.46 ± 1.01 (0.29–6.29) | 1.43 ± 0.84 (0.25–3.70) | 1.46 ± 0.91 (0.34–5.16) |
| Remifentanil median Ce (μg/mL) | 3.73 ± 1.08 (1.50–6.01) | 3.67 ± 0.95 (2.00–6.97) | 3.70 ± 0.87 (2.00–6.00) |
| RMSE | MAE | |||||||||
|---|---|---|---|---|---|---|---|---|---|---|
| Anesthesia Period | Baseline [12] | FEDformer [45] | Crossformer [46] | Ours | Ours (Transformer) | Baseline [12] | FEDformer [45] | Crossformer [46] | Ours | Ours (Transformer) |
| All | 10.20 ± 2.45 | 10.08 ± 2.40 | 9.66 ± 2.37 | 9.40 ± 2.29 | 9.07 ± 1.76 | 8.07 ± 2.56 | 7.75 ± 2.39 | 7.61 ± 2.34 | 7.45 ± 2.30 | 7.29 ± 1.40 |
| Induction | 14.57 ± 3.39 | 13.75 ± 5.00 | 13.64 ± 4.66 | 13.09 ± 3.90 | 10.91 ± 3.93 | 12.80 ± 3.79 | 11.45 ± 4.63 | 11.63 ± 4.39 | 11.14 ± 3.69 | 9.00 ± 3.54 |
| Maintenance | 8.72 ± 2.78 | 8.56 ± 2.55 | 8.37 ± 2.62 | 8.16 ± 2.51 | 8.63 ± 2.06 | 7.12 ± 2.79 | 6.95 ± 2.58 | 6.80 ± 2.61 | 6.66 ± 2.52 | 7.00 ± 1.60 |
| Recovery | 15.18 ± 6.43 | 13.30 ± 5.43 | 13.16 ± 5.90 | 12.96 ± 5.45 | 10.46 ± 2.94 | 13.43 ± 6.43 | 11.30 ± 5.13 | 11.43 ± 5.67 | 11.26 ± 5.22 | 8.74 ± 2.45 |
| MDPE (%) | MDAPE (%) | |||||||||
| Anesthesia Period | Baseline [12] | FEDformer [45] | Crossformer [46] | Ours | Ours (Transformer) | Baseline [12] | FEDformer [45] | Crossformer [46] | Ours | Ours (Transformer) |
| All | −3.64 ± 14.96 | 1.76 ± 13.84 | −0.59 ± 14.05 | 0.57 ± 13.77 | −13.89 ± 4.98 | 15.97 ± 7.91 | 15.35 ± 7.61 | 14.83 ± 6.66 | 14.62 ± 6.40 | 16.76 ± 3.53 |
| Induction | −6.35 ± 20.50 | 7.72 ± 16.84 | 6.79 ± 17.73 | 0.89 ± 18.54 | −3.15 ± 14.30 | 22.75 ± 9.39 | 21.90 ± 19.50 | 18.88 ± 8.69 | 18.87 ± 8.14 | 15.64 ± 9.40 |
| Maintenance | −2.99 ± 15.24 | 1.17 ± 14.31 | −0.97 ± 14.48 | 0.56 ± 14.10 | −15.20 ± 5.51 | 15.08 ± 8.34 | 14.96 ± 8.01 | 14.44 ± 8.37 | 14.12 ± 8.97 | 17.27 ± 4.14 |
| Recovery | −13.92 ± 25.44 | 1.94 ± 19.35 | −2.33 ± 21.69 | −3.98 ± 21.38 | −7.44 ± 11.56 | 24.97 ± 16.03 | 19.75 ± 12.90 | 19.81 ± 11.10 | 19.52 ± 11.18 | 15.34 ± 6.22 |
| Our Dataset | VitalDB (Training Set) | |
|---|---|---|
| N | 44 | 180 |
| Age (yr) | 39.9 ± 13.4 (19–69) | 56.1 ± 14.0 (17–82) |
| Sex (male/female) | 22/22 | 113/67 |
| Weight (kg) | 62.6 ± 10.5 (43–105) | 61.5 ± 10.2 (37.9–98.1) |
| Height (cm) | 166 ± 8.1 (147–183) | 163.2 ± 8.2 (138.8–186.6) |
| Median NI/BIS | 43.5 ± 10.1 (23.0–68.2) | 41.1 ± 5.4 (25.9–59.9) |
| RMSE | MAE | |||||||||||
|---|---|---|---|---|---|---|---|---|---|---|---|---|
| Anesthesia Period | Baseline [12] | FEDformer [45] | Crossformer [46] | Ours | Ours (Transformer) | Ours (without data preprocessing) | Baseline [12] | FEDformer [45] | Crossformer [46] | Ours | Ours (Transformer) | Ours (without data preprocessing) |
| All | 13.30 ± 5.98 | 12.19 ± 3.67 | 11.43 ± 3.43 | 10.44 ± 3.23 | 10.10 ± 1.61 | 10.64 ± 3.24 | 11.40 ± 6.29 | 9.96 ± 3.56 | 9.80 ± 3.56 | 8.76 ± 2.98 | 7.52 ± 1.47 | 8.93 ± 3.12 |
| Induction | 15.85 ± 5.71 | 15.42 ± 3.87 | 10.95 ± 2.58 | 8.01 ± 2.92 | 21.30 ± 4.75 | 8.28 ± 3.32 | 14.64 ± 5.97 | 13.47 ± 4.43 | 9.35 ± 2.78 | 6.79 ± 2.68 | 18.69 ± 5.70 | 6.72 ± 2.78 |
| Maintenance | 12.22 ± 6.80 | 10.56 ± 4.24 | 10.66 ± 4.27 | 9.77 ± 3.89 | 7.18 ± 2.03 | 10.15 ± 3.97 | 10.72 ± 6.97 | 9.15 ± 4.17 | 9.37 ± 4.44 | 8.43 ± 3.66 | 5.87 ± 1.81 | 8.75 ± 3.86 |
| Recovery | 15.12 ± 6.72 | 14.60 ± 6.71 | 14.75 ± 6.32 | 13.88 ± 6.69 | 10.12 ± 2.96 | 13.97 ± 6.13 | 13.80 ± 6.76 | 13.54 ± 6.89 | 13.72 ± 6.42 | 12.80 ± 6.86 | 8.44 ± 2.72 | 12.93 ± 6.31 |
| MDPE (%) | MDAPE (%) | |||||||||||
| Anesthesia Period | Baseline [12] | FEDformer [45] | Crossformer [46] | Ours | Ours (Transformer) | Ours (without data preprocessing) | Baseline [12] | FEDformer [45] | Crossformer [46] | Ours | Ours (Transformer) | Ours (without data preprocessing) |
| All | −6.02 ± 22.62 | 2.71 ± 17.13 | 6.08 ± 16.85 | 1.34 ± 15.65 | 0.64 ± 8.02 | 4.67 ± 16.13 | 23.23 ± 12.21 | 19.66 ± 9.17 | 19.39 ± 9.09 | 18.29 ± 7.75 | 13.08 ± 3.71 | 18.05 ± 8.48 |
| Induction | 15.16 ± 11.41 | −14.31 ± 11.23 | −6.13 ± 9.11 | −1.78 ± 7.99 | −27.21 ± 13.28 | −2.11 ± 8.34 | 17.78 ± 8.18 | 17.18 ± 7.79 | 11.33 ± 4.98 | 7.74 ± 3.87 | 28.00 ± 12.30 | 8.04 ± 4.47 |
| Maintenance | −8.77 ± 24.83 | 5.43 ± 18.50 | 8.87 ± 18.16 | 1.53 ± 18.01 | 3.64 ± 9.08 | 5.63 ± 18.11 | 25.00 ± 13.98 | 19.86 ± 10.22 | 19.78 ± 10.80 | 19.36 ± 9.46 | 12.10 ± 4.93 | 19.17 ± 10.10 |
| Recovery | −6.04 ± 32.20 | −9.73 ± 29.35 | −11.95 ± 28.23 | −4.07 ± 29.83 | −3.98 ± 9.76 | −2.59 ± 27.44 | 25.49 ± 14.08 | 27.27 ± 17.19 | 28.33 ± 15.28 | 25.16 ± 17.46 | 14.29 ± 5.97 | 23.46 ± 15.48 |
| VitalDB | In-House | |||
|---|---|---|---|---|
| Statics Test | Pairt-t | F | Pair-t | F |
| Ours&Baseline | 0.014 | 0.027 | 0.013 | 0.004 |
| Ours&Fedformer | 0.007 | 0.036 | 0.003 | 0.044 |
| Ours&Crossformer | 0.023 | 0.163 | 0.003 | 0.003 |
| Paramters (M) | FLOPS (G) | |
|---|---|---|
| Baseline [12] | 0.1 | 0.0004 |
| FEDformer [45] | 16.5 | 139 |
| Crossformer [46] | 11.4 | 80 |
| Ours | 9.4 | 0.1 |
| Ours (Transformer) | 6.2 | 51 |
| MDPE (%) | MDAPE (%) | RMSE | MAE | |||||
|---|---|---|---|---|---|---|---|---|
| Anesthesia Period | Boosting-based TDM | Ours | Boosting-based TDM | Ours | Boosting-based TDM | Ours | Boosting-based TDM | Ours |
| All | 5.22 ± 13.25 | 1.93 ± 13.36 | 14.91 ± 6.12 | 14.53 ± 6.18 | 9.93 ± 2.49 | 9.71 ± 2.29 | 7.95 ± 2.38 | 7.51 ± 2.29 |
| Induction | 10.75 ± 17.54 | 5.45 ± 17.83 | 19.01 ± 10.56 | 18.64 ± 8.73 | 14.24 ± 5.93 | 13.09 ± 4.60 | 12.17 ± 5.65 | 11.31 ± 4.41 |
| Maintenance | 5.06 ± 13.65 | 1.87 ± 13.70 | 14.63 ± 6.62 | 14.06 ± 6.73 | 8.69 ± 2.44 | 8.27 ± 2.42 | 7.19 ± 2.50 | 6.75 ± 2.44 |
| Recovery | 0.84 ± 20.88 | −2.40 ± 21.02 | 18.64 ± 11.74 | 19.44 ± 10.86 | 12.75 ± 6.28 | 12.80 ± 5.28 | 11.07 ± 5.93 | 11.14 ± 5.15 |
Disclaimer/Publisher’s Note: The statements, opinions and data contained in all publications are solely those of the individual author(s) and contributor(s) and not of MDPI and/or the editor(s). MDPI and/or the editor(s) disclaim responsibility for any injury to people or property resulting from any ideas, methods, instructions or products referred to in the content. |
© 2023 by the authors. Licensee MDPI, Basel, Switzerland. This article is an open access article distributed under the terms and conditions of the Creative Commons Attribution (CC BY) license (https://creativecommons.org/licenses/by/4.0/).
Share and Cite
Chen, M.; He, Y.; Yang, Z. A Deep Learning Framework for Anesthesia Depth Prediction from Drug Infusion History. Sensors 2023, 23, 8994. https://doi.org/10.3390/s23218994
Chen M, He Y, Yang Z. A Deep Learning Framework for Anesthesia Depth Prediction from Drug Infusion History. Sensors. 2023; 23(21):8994. https://doi.org/10.3390/s23218994
Chicago/Turabian StyleChen, Mingjin, Yongkang He, and Zhijing Yang. 2023. "A Deep Learning Framework for Anesthesia Depth Prediction from Drug Infusion History" Sensors 23, no. 21: 8994. https://doi.org/10.3390/s23218994
APA StyleChen, M., He, Y., & Yang, Z. (2023). A Deep Learning Framework for Anesthesia Depth Prediction from Drug Infusion History. Sensors, 23(21), 8994. https://doi.org/10.3390/s23218994


