Optimized Leaky-Wave Antenna for Hyperthermia in Biological Tissue Theoretical Model
Abstract
:1. Introduction
Theoretical Background
2. Materials and Methods
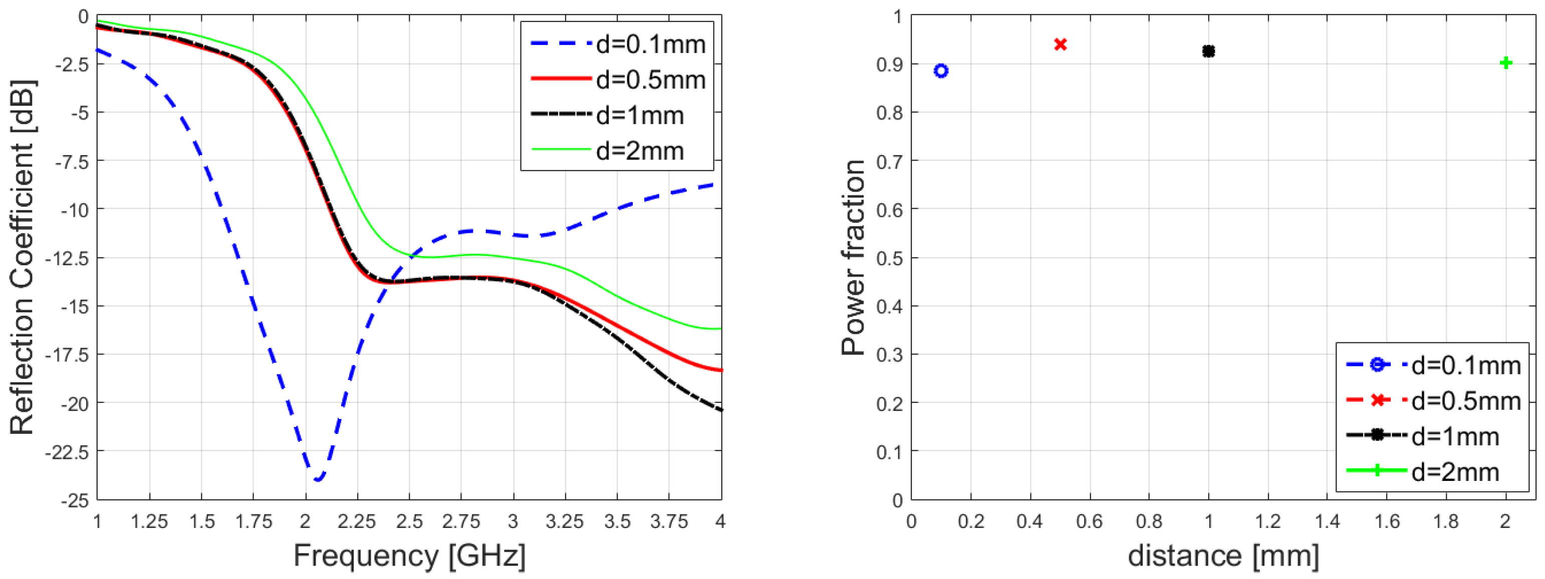
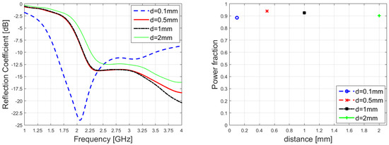
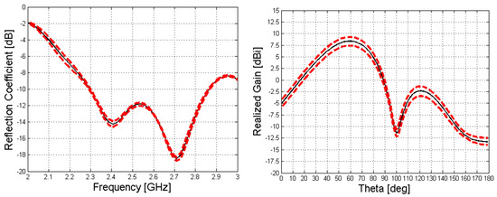
2.1. Leaky-Wave Antenna Design
2.2. The Biological Tissues
- 1.6 mm of skin;
- 7 mm of fat;
- 35 mm of muscles.
2.3. Assessment of the Heated Region
3. Results
4. Discussion
5. Conclusions
Author Contributions
Funding
Institutional Review Board Statement
Informed Consent Statement
Data Availability Statement
Conflicts of Interest
Abbreviations
| LWA | Leaky-Wave Antennas |
| FIT | Finite Integration Technique |
References
- Rodrigues, D.B.; Dobsicek-Trefna, H.; Curto, S.; Winter, L.; Molitoris, J.K.; Vrba, J.; Vrba, D.; Sumser, K.; Paulides, M.M. Radiofrequency and microwave hyperthermia in cancer treatment. In Principles and Technologies for Electromagnetic Energy Based Therapies; Academic Press: Cambridge, MA, USA, 2022; pp. 281–311. [Google Scholar]
- Baccarelli, P.; Calcaterra, A.; Frezza, F.; Mangini, F.; Ricciardella, N.; Simeoni, P.; Tedeschi, N. Verification of the electromagnetic deep-penetration effect in the real world. Sci. Rep. 2021, 11, 15928. [Google Scholar] [PubMed]
- Taylor, L.S. Penetrating Electromagnetic Wave Applicator. IEEE Trans. Antennas Propag. 1984, 32, 1138–1141. [Google Scholar] [CrossRef]
- Roy, J. New results for the effective propagation constants of nonuniform plane waves at the planar interface of two lossy media. Trans. Antennas Propag. 2003, 51, 1206–1215. [Google Scholar] [CrossRef]
- Baccarelli, P.; Frezza, F.; Simeoni, P.; Tedeschi, N. An analytical study of electromagnetic deep penetration conditions and implications in lossy media through inhomogeneous waves. Materials 2018, 11, 1595. [Google Scholar] [CrossRef] [PubMed]
- Kim, Y.; Hyuniun, Y.; Jungsuek, O.H. Critical Angle Formulation of Nonuniform Plane Waves for Determining Correct Refraction Angles at Planar Interface. IEEE Trans. Antennas Propag. 2023, 71, 2861–2866. [Google Scholar] [CrossRef]
- D’Ambrosio, G.; Migliore, M.D. The grounded dielectric layer fed by a current line as a planar microwave applicator. IEEE Trans. Antennas Propag. 1994, 42, 1467–1475. [Google Scholar] [CrossRef]
- Oliner, A.A.; Lee, K. Microstrip leaky wave strip antennas. In Proceedings of the IEEE Antennas and Propagation Society International Symposium, Philadelphia, PA, USA, 8–13 June 1986; Volume 24, pp. 443–446. [Google Scholar]
- Menzel, W. A New Travelling Wave Antenna in Microstrip. In Proceedings of the 8th European Microwave Conference, Paris, France, 4–8 September 1978. [Google Scholar]
- Oliner, A.A. Leakage from higher modes on microstrip line with application to antennas. Radio Sci. 1987, 22, 907–912. [Google Scholar] [CrossRef]
- ITU Radio Regulations Volume 1. CHAPTER II—Frequency allocations, Section IV—Table of Frequency Allocations; International Telecommunication Union (ITU): Geneva, Switzerland, 2016. [Google Scholar]
- Jackson, D.R.; Caloz, C.; Itoh, T. Leaky-wave antennas. In Frontiers in Antennas: Next Generation Design & Engineering; McGraw-Hill Professional: New York, NY, USA, 2011. [Google Scholar]
- Volakis, J. Antenna Engineering Handbook; McGraw Hill Professional: New York, NY, USA, 2015. [Google Scholar]
- Monticone, F.; Alu, A. Leaky-wave theory, techniques, and applications: From microwaves to visible frequencies. Proc. IEEE 2015, 5, 793–821. [Google Scholar] [CrossRef]
- Zelinski, G.; Hastriter, M.; Havrilla, M.; Radcliffe, J.; Terzuoli, A.; Theile, G. FDTD analysis of a new leaky travelling wave antenna. In Proceedings of the IEEE/ACES International Conference on Wireless Communications and Applied Computational Electromagnetics, Honolulu, HI, USA, 3–7 April 2005; pp. 152–155. [Google Scholar]
- Balanis, C.A. Antenna Theory: Analysis and Design, 3rd ed.; John Wiley & Sons: Hoboken, NJ, USA, 2005. [Google Scholar]
- Pozar, D.M. Microwave Engineering; Wiley: Hoboken, NJ, USA, 2012. [Google Scholar]
- Wilkinson, E. An N-Way Hybrid Power Divider. IRE Trans. Microw. Theory Tech. 1960, 1, 116–118. [Google Scholar] [CrossRef]
- Mailloux, R.J. Phased Array Antenna Handbook; Artech House: Boston, MA, USA; London, UK, 1994. [Google Scholar]
- Fishman, G.S. Monte Carlo: Concepts, Algorithms, and Applications; Springer: New York, NY, USA, 1995. [Google Scholar]
- Gabriel, C.; Gabriel, S.; Corthout, E. The dielectric properties of biological tissues: I. Literature survey. Phys. Med. Biol. 1996, 41, 2231. [Google Scholar] [CrossRef] [PubMed]
- Gabriel, S.; Lau, R.W.; Gabriel, C. The dielectric properties of biological tissues: II. Measurements in the frequency range 10 Hz to 20 GHz. Phys. Med. Biol. 1996, 41, 2251. [Google Scholar] [CrossRef] [PubMed]
- Hwang, H.; Yim, J.; Cho, J.W.; Cheon, C.; Kwon, Y. 110 GHz broadband measurement of permittivity on human epidermis using 1 mm coaxial probe. In Proceedings of the IEEE MTT-S International Microwave Symposium Digest, Philadelphia, PA, USA, 8–13 June 2003. [Google Scholar]
- Gabriel, S.; Lau, R.W.; Gabriel, C. The dielectric properties of biological tissues: III. Parametric models for the dielectric spectrum of tissues. Phys. Med. Biol. 1996, 41, 2271. [Google Scholar] [CrossRef] [PubMed]
- CST Studio Suite. CST Microwave Studio; Simulia: Providence, RI, USA, 2008. [Google Scholar]
- Weiland, T. A discretization method for the solution of Maxwell’s equations for six-component fields. Electron. Commun. AEUE 1977, 31, 116–120. [Google Scholar]
- Weiland, T. Discrete electromagnetism with the finite integration technique. Prog. Electromagn. Res. 2001, 32, 65–87. [Google Scholar]
- Sarabi, M.; Perger, W. A Novel Leaky Wave Antenna for Hyperthermia. In Proceedings of the 2019 IEEE Texas Symposium on Wireless and Microwave Circuits and Systems (WMCS), Waco, TX, USA, 28–29 March 2019; pp. 1–4. [Google Scholar]
- Sarabi, M.; Perger, W.F. Possible Leaky Wave Antennas for Propagation Therapy using SAR Analysis. Appl. Comput. Electromagn. Soc. J. ACES 2021, 36, 1335–1346. [Google Scholar] [CrossRef]
- D’Ambrosio, G.; Migliore, M.D. Leaky-wave applicators: Experimental verification of the effectiveness of the single pole-wave approximation for the estimation of the power deposition pattern. IEEE Trans. Antennas Propag. 2010, 58, 2146–2149. [Google Scholar] [CrossRef]

















| Tissue | ||
|---|---|---|
| Skin | 38.1 | 1.44 |
| Fat | 5.29 | 0.10 |
| Muscle | 52.8 | 1.171 |
| Tissue | Thermal Diffusivity | Heat Capacity | Thermal Conductivity | |
|---|---|---|---|---|
| Skin | 1109 | 3.391 | 0.37 | |
| Fat | 911 | 2.348 | 0.21 | |
| Muscle | 1090 | 3.421 | 0.49 |
Disclaimer/Publisher’s Note: The statements, opinions and data contained in all publications are solely those of the individual author(s) and contributor(s) and not of MDPI and/or the editor(s). MDPI and/or the editor(s) disclaim responsibility for any injury to people or property resulting from any ideas, methods, instructions or products referred to in the content. |
© 2023 by the authors. Licensee MDPI, Basel, Switzerland. This article is an open access article distributed under the terms and conditions of the Creative Commons Attribution (CC BY) license (https://creativecommons.org/licenses/by/4.0/).
Share and Cite
Calcaterra, A.; Simeoni, P.; Migliore, M.D.; Mangini, F.; Frezza, F. Optimized Leaky-Wave Antenna for Hyperthermia in Biological Tissue Theoretical Model. Sensors 2023, 23, 8923. https://doi.org/10.3390/s23218923
Calcaterra A, Simeoni P, Migliore MD, Mangini F, Frezza F. Optimized Leaky-Wave Antenna for Hyperthermia in Biological Tissue Theoretical Model. Sensors. 2023; 23(21):8923. https://doi.org/10.3390/s23218923
Chicago/Turabian StyleCalcaterra, Alessandro, Patrizio Simeoni, Marco Donald Migliore, Fabio Mangini, and Fabrizio Frezza. 2023. "Optimized Leaky-Wave Antenna for Hyperthermia in Biological Tissue Theoretical Model" Sensors 23, no. 21: 8923. https://doi.org/10.3390/s23218923
APA StyleCalcaterra, A., Simeoni, P., Migliore, M. D., Mangini, F., & Frezza, F. (2023). Optimized Leaky-Wave Antenna for Hyperthermia in Biological Tissue Theoretical Model. Sensors, 23(21), 8923. https://doi.org/10.3390/s23218923

