Design of Zeolitic Imidazolate Framework-8-Functionalized Capacitive Micromachined Ultrasound Transducer Gravimetric Sensors for Gas and Hydrocarbon Vapor Detection
Abstract
:1. Introduction
2. Materials and Methods
2.1. CMUT-Based ZIF-8-Functionalized Sensor Manufacturing
2.2. ZIF-8 Synthesis
2.3. Sensor Functionalization
2.4. Electronics Setup
2.5. Raman Spectroscopy
2.6. Experimental Procedure
- The gas line was flushed with N2;
- The temperature was stabilized (N2 was flushed until the temperature fluctuations over time decreased to <1 °C);
- The humidity stabilized (N2 was flushed until the humidity fluctuations over time decreased to <1% relative humidity (RH)).
3. Results
3.1. Raman Spectroscopy of Synthesized ZIF-8
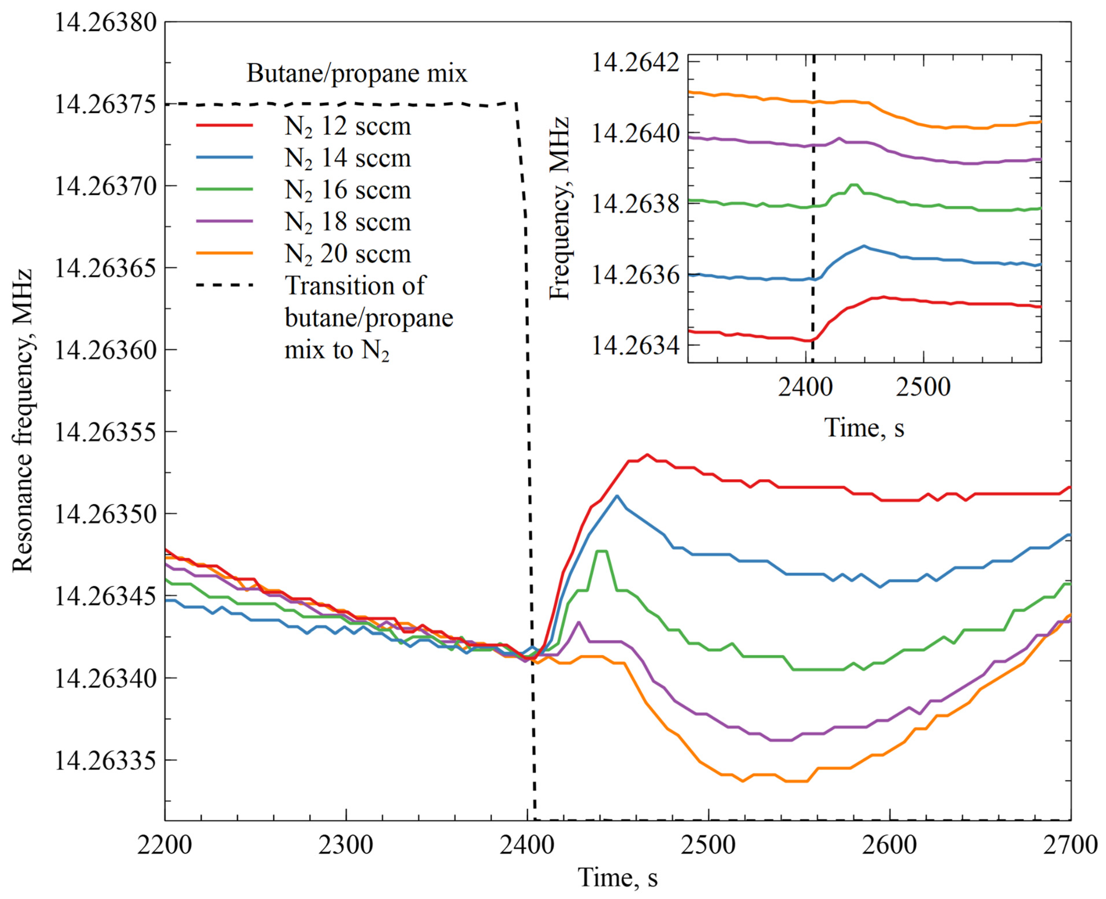
3.2. Gravimetric Response in Repeated Switching between Butane/Propane Gas Mixture and N2 Gas
3.3. Difference between Ar and N2 Gravimetric Responses
3.4. Side-by-Side AZ+ZIF-8 and AZ Sensor Comparison in Response to Various Gases
3.5. AZ+ZIF-8 Resonator Response to Various Alkane Vapors
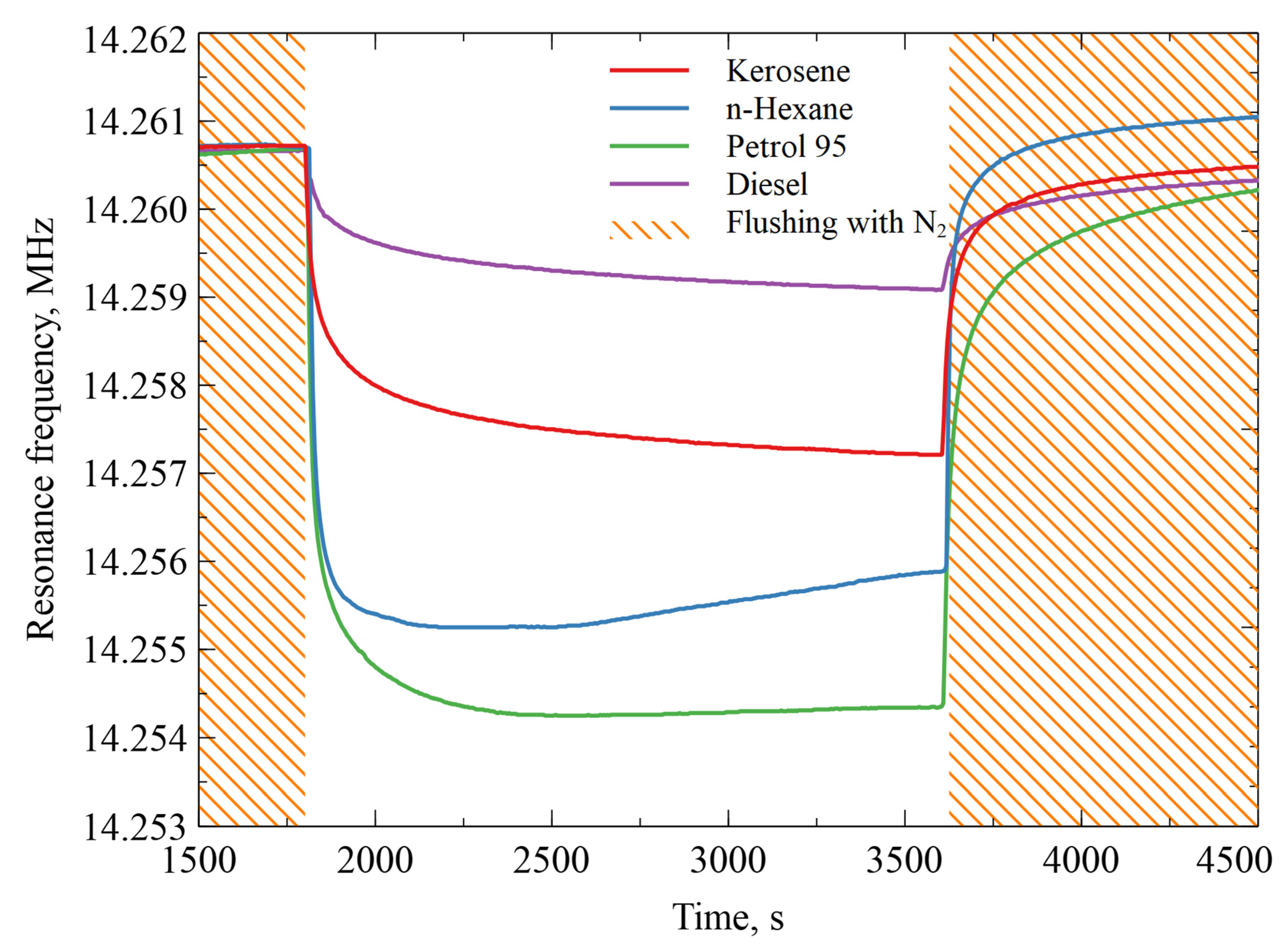
3.6. Full Hydrocarbon Response Comparison
3.7. Gas Sensitivity Dependence on AZ+ZIF-8 Layer Thickness
4. Discussion
5. Conclusions
Supplementary Materials
Author Contributions
Funding
Institutional Review Board Statement
Informed Consent Statement
Data Availability Statement
Acknowledgments
Conflicts of Interest
References
- Lemaoui, T.; Benguerba, Y.; Darwish, A.S.; Hatab, F.A.; Warrag, S.E.; Kroon, M.C.; Alnashef, I.M. Simultaneous Dearomatization, Desulfurization, and Denitrogenation of Diesel Fuels Using Acidic Deep Eutectic Solvents as Extractive Agents: A Parametric Study. Sep. Purif. Technol. 2021, 256, 117861. [Google Scholar] [CrossRef]
- Lin, L.; Zhang, Y.; Kong, Y. Recent Advances in Sulfur Removal from Gasoline by Pervaporation. Fuel 2009, 88, 1799–1809. [Google Scholar] [CrossRef]
- Simpson, I.J.; Blake, N.J.; Barletta, B.; Diskin, G.S.; Fuelberg, H.E.; Gorham, K.; Huey, L.G.; Meinardi, S.; Rowland, F.S.; Vay, S.A.; et al. Characterization of Trace Gases Measured over Alberta Oil Sands Mining Operations: 76 Speciated C2–C10 Volatile Organic Compounds (VOCs), CO2, CH4, CO, NO, NO2, NOy, O3 and SO2. Atmos. Chem. Phys. 2010, 10, 11931–11954. [Google Scholar] [CrossRef]
- Molino, A.; Nanna, F.; Ding, Y.; Bikson, B.; Braccio, G. Biomethane Production by Anaerobic Digestion of Organic Waste. Fuel 2013, 103, 1003–1009. [Google Scholar] [CrossRef]
- Kvamme, B.; Kuznetsova, T.; Bauman, J.M.; Sjöblom, S.; Avinash Kulkarni, A. Hydrate Formation during Transport of Natural Gas Containing Water and Impurities. J. Chem. Eng. Data 2016, 61, 936–949. [Google Scholar] [CrossRef]
- Ott, L.S.; Hadler, A.B.; Bruno, T.J. Variability of The Rocket Propellants RP-1, RP-2, and TS-5: Application of a Composition- and Enthalpy-Explicit Distillation Curve Method. Ind. Eng. Chem. Res. 2008, 47, 9225–9233. [Google Scholar] [CrossRef]
- Gersen, S.; van Essen, M.; Visser, P.; Ahmad, M.; Mokhov, A.; Sepman, A.; Alberts, R.; Douma, A.; Levinsky, H. Detection of H2S, SO2 and NO2 in CO2 at Pressures Ranging from 1-40 bar by Using Broadband Absorption Spectroscopy in the UV/VIS Range. Energy Procedia 2014, 63, 2570–2582. [Google Scholar] [CrossRef]
- Ma, G.; He, Y.; Chen, B.; Deng, H.; Liu, Y.; Wang, X.; Zhao, Z.; Kan, R. Quasi-Simultaneous Sensitive Detection of Two Gas Species by Cavity-Ringdown Spectroscopy with Two Lasers. Sensors 2021, 21, 7622. [Google Scholar] [CrossRef]
- Gu, M.; Chen, J.; Mei, J.; Tan, T.; Wang, G.; Liu, K.; Liu, G.; Gao, X. Open-Path Anti-Pollution Multi-Pass Cell-Based TDLAS Sensor for the Online Measurement of Atmospheric H2O and CO2 Fluxes. Opt. Express 2022, 30, 43961–43972. [Google Scholar] [CrossRef]
- Kim, Y.; Goo, S.; Lim, J.S. Multi-Gas Analyzer Based on Tunable Filter Non-Dispersive Infrared Sensor: Application to the Monitoring of Eco-Friendly Gas Insulated Switchgears. Sensors 2022, 22, 8662. [Google Scholar] [CrossRef]
- Chen, Z.; Zeng, J.; He, M.; Zhu, X.; Shi, Y. Portable Ppb-Level Carbon Dioxide Sensor Based on Flexible Hollow Waveguide Cell and Mid-Infrared Spectroscopy. Sens. Actuators B Chem. 2022, 359, 131553. [Google Scholar] [CrossRef]
- Xu, Y.; Zhao, Z.; Liu, L.; Xu, Y.; Qiao, C.; Jia, Y. Simultaneous Detection of Carbon Dioxide and Relative Humidity Using Polymer-Coated Fiber Bragg Gratings. Sens. Actuators B Chem. 2022, 368, 132216. [Google Scholar] [CrossRef]
- DeCoste, J.B.; Peterson, G.W. Metal–Organic Frameworks for Air Purification of Toxic Chemicals. Chem. Rev. 2014, 114, 5695–5727. [Google Scholar] [CrossRef] [PubMed]
- Gangu, K.K.; Maddila, S.; Mukkamala, S.B.; Jonnalagadda, S.B. A Review on Contemporary Metal–Organic Framework Materials. Inorganica Chim. Acta 2016, 446, 61–74. [Google Scholar] [CrossRef]
- Lai, Z. Development of ZIF-8 Membranes: Opportunities and Challenges for Commercial Applications. Curr. Opin. Chem. Eng. 2018, 20, 78–85. [Google Scholar] [CrossRef]
- Bergaoui, M.; Khalfaoui, M.; Awadallah-F, A.; Al-Muhtaseb, S. A Review of the Features and Applications of ZIF-8 and Its Derivatives for Separating CO2 and Isomers of C3- and C4- Hydrocarbons. J. Nat. Gas Sci. Eng. 2021, 96, 104289. [Google Scholar] [CrossRef]
- Gu, Z.; Yang, Z.; Guo, X.; Qiao, Z.; Zhong, C. Vacuum Resistance Treated ZIF-8 Mixed Matrix Membrane for Effective CH4/N2 Separation. Sep. Purif. Technol. 2021, 272, 118845. [Google Scholar] [CrossRef]
- Gu, Z.; Yang, Z.; Sun, Y.; Qiao, Z.; Zhong, C. Large-Area Vacuum-Treated ZIF-8 Mixed-Matrix Membrane for Highly Efficient Methane/Nitrogen Separation. AIChE J. 2022, 68, e17749. [Google Scholar] [CrossRef]
- Liu, D.; Ma, X.; Xi, H.; Lin, Y.S. Gas Transport Properties and Propylene/Propane Separation Characteristics of ZIF-8 Membranes. J. Membr. Sci. 2014, 451, 85–93. [Google Scholar] [CrossRef]
- Hara, N.; Yoshimune, M.; Negishi, H.; Haraya, K.; Hara, S.; Yamaguchi, T. Diffusive Separation of Propylene/Propane with ZIF-8 Membranes. J. Membr. Sci. 2014, 450, 215–223. [Google Scholar] [CrossRef]
- Bux, H.; Chmelik, C.; Krishna, R.; Caro, J. Ethene/Ethane Separation by the MOF Membrane ZIF-8: Molecular Correlation of Permeation, Adsorption, Diffusion. J. Membr. Sci. 2011, 369, 284–289. [Google Scholar] [CrossRef]
- Zhang, Z.; Xian, S.; Xi, H.; Wang, H.; Li, Z. Improvement of CO2 Adsorption on ZIF-8 Crystals Modified by Enhancing Basicity of Surface. Chem. Eng. Sci. 2011, 66, 4878–4888. [Google Scholar] [CrossRef]
- Cao, R.; Ding, H.; Kim, K.-J.; Peng, Z.; Wu, J.; Culp, J.T.; Ohodnicki, P.R.; Beckman, E.; Chen, K.P. Metal-Organic Framework Functionalized Polymer Coating for Fiber Optical Methane Sensors. Sens. Actuators B Chem. 2020, 324, 128627. [Google Scholar] [CrossRef]
- Matatagui, D.; Sainz-Vidal, A.; Gràcia, I.; Figueras, E.; Cané, C.; Saniger, J.M. Chemoresistive Gas Sensor Based on ZIF-8/ZIF-67 Nanocrystals. Sens. Actuators B Chem. 2018, 274, 601–608. [Google Scholar] [CrossRef]
- Barauskas, D.; Pelenis, D.; Dzikaras, M.; Mikolajunas, M.; Vanagas, G.; Virzonis, D. Inkjet-Printed Functionalization of CMUT-Based CO2 Sensors. Sensors 2022, 22, 2288. [Google Scholar] [CrossRef] [PubMed]
- Barauskas, D.; Park, S.J.; Pelenis, D.; Vanagas, G.; Lee, J.J.; Viržonis, D.; Jones, C.W.; Baltrusaitis, J. CO2 and SO2 Interactions with Methylated Poly(Ethylenimine)-Functionalized Capacitive Micromachined Ultrasonic Transducers (CMUTs): Gas Sensing and Degradation Mechanism. ACS Appl. Electron. Mater. 2019, 1, 1150–1161. [Google Scholar] [CrossRef]
- Nazemi, H.; Antony Balasingam, J.; Swaminathan, S.; Ambrose, K.; Nathani, M.U.; Ahmadi, T.; Babu Lopez, Y.; Emadi, A. Mass Sensors Based on Capacitive and Piezoelectric Micromachined Ultrasonic Transducers—CMUT and PMUT. Sensors 2020, 20, 2010. [Google Scholar] [CrossRef]
- Park, S.; Yoon, I.; Lee, S.; Kim, H.; Seo, J.-W.; Chung, Y.; Unger, A.; Kupnik, M.; Lee, H.J. CMUT-Based Resonant Gas Sensor Array for VOC Detection with Low Operating Voltage. Sens. Actuators B Chem. 2018, 273, 1556–1563. [Google Scholar] [CrossRef]
- Fanget, S.; Hentz, S.; Puget, P.; Arcamone, J.; Matheron, M.; Colinet, E.; Andreucci, P.; Duraffourg, L.; Myers, E.; Roukes, M.L. Gas Sensors Based on Gravimetric Detection—A Review. Sens. Actuators B Chem. 2011, 160, 804–821. [Google Scholar] [CrossRef]
- Lee, H.J.; Park, K.K.; Oralkan, O.; Kupnik, M.; Khuri-Yakub, B.T. CMUT as a Chemical Sensor for DMMP Detection. In Proceedings of the 2008 IEEE International Frequency Control Symposium, Honolulu, HI, USA, 19–21 May 2008; pp. 434–439. [Google Scholar]
- Barauskas, D.; Pelenis, D.; Vanagas, G.; Viržonis, D.; Baltrušaitis, J. Methylated Poly(Ethylene)Imine Modified Capacitive Micromachined Ultrasonic Transducer for Measurements of CO2 and SO2 in Their Mixtures. Sensors 2019, 19, 3236. [Google Scholar] [CrossRef]
- Laermer, F.; Urban, A. Through-Silicon Vias Using Bosch DRIE Process Technology. In Ultra-thin Chip Technology and Applications; Springer: New York, NY, USA, 2011; pp. 81–91. [Google Scholar]
- Barauskas, D.; Pelenis, D.; Dzikaras, M.; Vanagas, G.; Mikolajūnas, M.; Baltrusaitis, J.; Viržonis, D. Highly Selective Capacitive Micromachined Ultrasonic Transducer–Based Miniature Gravimetric CO2 Sensor with in-Situ Calibration for Relative Humidity. Sens. Actuators B Chem. 2023, 393, 134178. [Google Scholar] [CrossRef]
- Carter, D.A.; Pemberton, J.E. Raman Spectroscopy and Vibrational Assignments of 1- and 2-Methylimidazole. J. Raman Spectrosc. 1997, 28, 939–946. [Google Scholar] [CrossRef]
- Kumari, G.; Jayaramulu, K.; Maji, T.K.; Narayana, C. Temperature Induced Structural Transformations and Gas Adsorption in the Zeolitic Imidazolate Framework ZIF-8: A Raman Study. J. Phys. Chem. A 2013, 117, 11006–11012. [Google Scholar] [CrossRef] [PubMed]
- Wang, Z.; Zhang, Y.; Chen, S.; Fu, Y.; Li, X.; Pei, J. Molecular Simulation of Adsorption and Diffusion of CH4 and H2O in Flexible Metal-Organic Framework ZIF-8. Fuel 2021, 286, 119342. [Google Scholar] [CrossRef]
- Verploegh, R.J.; Nair, S.; Sholl, D.S. Temperature and Loading-Dependent Diffusion of Light Hydrocarbons in ZIF-8 as Predicted Through Fully Flexible Molecular Simulations. J. Am. Chem. Soc. 2015, 137, 15760–15771. [Google Scholar] [CrossRef] [PubMed]
- Lee, H.J.; Park, K.K.; Kupnik, M.; Khuri-Yakub, B.T. Functionalization Layers for CO2 Sensing Using Capacitive Micromachined Ultrasonic Transducers. Sens. Actuators B Chem. 2012, 174, 87–93. [Google Scholar] [CrossRef]
- Bux, H.; Liang, F.; Li, Y.; Cravillon, J.; Wiebcke, M.; Caro, J. Zeolitic Imidazolate Framework Membrane with Molecular Sieving Properties by Microwave-Assisted Solvothermal Synthesis. J. Am. Chem. Soc. 2009, 131, 16000–16001. [Google Scholar] [CrossRef] [PubMed]
- Bux, H.; Chmelik, C.; van Baten, J.M.; Krishna, R.; Caro, J. Novel MOF-Membrane for Molecular Sieving Predicted by IR-Diffusion Studies and Molecular Modeling. Adv. Mater. 2010, 22, 4741–4743. [Google Scholar] [CrossRef]
- Pazzona, F.G.; Demontis, P.; Suffritti, G.B. A Grand-Canonical Monte Carlo Study of the Adsorption Properties of Argon Confined in ZIF-8: Local Thermodynamic Modeling. J. Phys. Chem. C 2013, 117, 349–357. [Google Scholar] [CrossRef]












Disclaimer/Publisher’s Note: The statements, opinions and data contained in all publications are solely those of the individual author(s) and contributor(s) and not of MDPI and/or the editor(s). MDPI and/or the editor(s) disclaim responsibility for any injury to people or property resulting from any ideas, methods, instructions or products referred to in the content. |
© 2023 by the authors. Licensee MDPI, Basel, Switzerland. This article is an open access article distributed under the terms and conditions of the Creative Commons Attribution (CC BY) license (https://creativecommons.org/licenses/by/4.0/).
Share and Cite
Dzikaras, M.; Barauskas, D.; Pelenis, D.; Vanagas, G.; Mikolajūnas, M.; Shi, J.; Baltrusaitis, J.; Viržonis, D. Design of Zeolitic Imidazolate Framework-8-Functionalized Capacitive Micromachined Ultrasound Transducer Gravimetric Sensors for Gas and Hydrocarbon Vapor Detection. Sensors 2023, 23, 8827. https://doi.org/10.3390/s23218827
Dzikaras M, Barauskas D, Pelenis D, Vanagas G, Mikolajūnas M, Shi J, Baltrusaitis J, Viržonis D. Design of Zeolitic Imidazolate Framework-8-Functionalized Capacitive Micromachined Ultrasound Transducer Gravimetric Sensors for Gas and Hydrocarbon Vapor Detection. Sensors. 2023; 23(21):8827. https://doi.org/10.3390/s23218827
Chicago/Turabian StyleDzikaras, Mindaugas, Dovydas Barauskas, Donatas Pelenis, Gailius Vanagas, Marius Mikolajūnas, Jingming Shi, Jonas Baltrusaitis, and Darius Viržonis. 2023. "Design of Zeolitic Imidazolate Framework-8-Functionalized Capacitive Micromachined Ultrasound Transducer Gravimetric Sensors for Gas and Hydrocarbon Vapor Detection" Sensors 23, no. 21: 8827. https://doi.org/10.3390/s23218827
APA StyleDzikaras, M., Barauskas, D., Pelenis, D., Vanagas, G., Mikolajūnas, M., Shi, J., Baltrusaitis, J., & Viržonis, D. (2023). Design of Zeolitic Imidazolate Framework-8-Functionalized Capacitive Micromachined Ultrasound Transducer Gravimetric Sensors for Gas and Hydrocarbon Vapor Detection. Sensors, 23(21), 8827. https://doi.org/10.3390/s23218827

