Velocity Vector Estimation of Two-Dimensional Flow Field Based on STIV
Abstract
1. Introduction
2. Outline of the Space-Time Image Velocimetry
3. Principle of the Space-Time Image Velocimetry
3.1. Generation of Space-Time Images
3.2. Detection of the MOT
3.2.1. Space-Time Image Filtering and Enhancement
- (i)
- Multi-Scale Retinex (MSR) enhancement
- (ii)
- Fourth-order Gaussian derivative steerable filter
- (iii)
- Noise filtering function
- (iv)
- Orientation-filtering function
3.2.2. Enhancement and Filtering Processing Results
3.2.3. Denoising Algorithm Based on Fan-Type Filter
- (i)
- Detection of the main orientation of the spectra
- (ii)
- Filter selection and related parameter settings
- (iii)
- Create the masked image
- (iv)
- Acquisition of low-noise space-time images
3.3. Calibration
3.4. Calculation of Surface Flow Velocity and Discharge
4. Comparison and Analysis of Results
4.1. Experimental Design
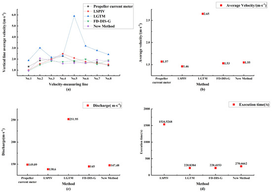
4.2. Analysis of the Measurement Results
5. Conclusions
Author Contributions
Funding
Institutional Review Board Statement
Informed Consent Statement
Data Availability Statement
Conflicts of Interest
References
- Watanabe, K.; Fujita, I.; Iguchi, M.; Hasegawa, M. Improving accuracy and robustness of space-time image velocimetry (STIV) with deep learning. Water 2021, 13, 2079. [Google Scholar] [CrossRef]
- Xie, H.; Liu, Y.; Zhang, M. Design of Acoustic Doppler Current Profiler Calibration System. IOP Conf. Ser. Mater. Sci. Eng. 2019, 688, 033015. [Google Scholar] [CrossRef]
- Maceas, M.; Osorio, A.F.; Bolanos, F. A methodology for improving both performance and measurement errors in PIV. Flow Meas. Instrum. 2021, 77, 101846. [Google Scholar] [CrossRef]
- Liu, W.C.; Huang, W.C. Development of a three-axis accelerometer and large-scale particle image velocimetry (LSPIV) to enhance surface velocity measurements in rivers. Comput. Geosci. 2021, 155, 104866. [Google Scholar] [CrossRef]
- Cao, L.; Detert, M.; Li, D. New system for rapid measurement of indoor surface velocity fields based on feature matching velocimetry. J. Hydroelectr. Eng. 2019, 38, 1–8. [Google Scholar]
- Khalid, M.; Pénard, L.; Mémin, E. Optical flow for image-based river velocity estimation. Flow Meas. Instrum. 2019, 65, 110–121. [Google Scholar] [CrossRef]
- Yu, K.; Kim, S.; Kim, D. Measurement of two-dimensional velocity distribution of spatio-temporal image velocimeter using cross-correlation analysis. J. Korea Water Resour. Assoc. 2014, 47, 537–546. [Google Scholar] [CrossRef]
- Fujita, I.; Notoya, Y.; Shimono, M. Development of aerial STIV applied to videotaped movie from multicopter based on high-accurate image stabilization method. J. Jpn. Soc. Civ. Eng. Ser. B1 2015, 71, I_829–I_834. [Google Scholar]
- Yu, K. Development of a real-time surface image velocimeter using an android smartphone. J. Korea Water Resour. Assoc. 2016, 49, 469–480. [Google Scholar] [CrossRef]
- Yu, K.; Liu, B. Calculation of surface image velocity fields by analyzing spatio-temporal volumes with the fast Fourier transform. J. Korea Water Resour. Assoc. 2021, 54, 933–942. [Google Scholar]
- Kim, Y.-J.; Yoon, J.-S.; Hasegawa, M.; Jeong, J.-H. Evaluation of the Applicability of STIV to Wave Characteristic Measurement in the Swash Zone. Korea Soc. Coast. Disaster Prev. 2021, 8, 141–150. [Google Scholar] [CrossRef]
- Fujita, I.; Muste, M.; Kruger, A. Large-scale particle image velocimetry for flow analysis in hydraulic engineering applications. J. Hydraul. Res. 1998, 36, 397–414. [Google Scholar] [CrossRef]
- Zuniga Zamalloa, C.C.; Landry, B.J. Large scale feature tracking velocimetry for retrieving velocity of surface waters. In Proceedings of the Hydraulic Measurements & Experimental Methods Conference, Durham, NH, USA, 9–12 July 2017. [Google Scholar]
- Cao, L.; Weitbrecht, V.; Li, D.; Detert, M. Feature tracking velocimetry applied to airborne measurement data from Murg Creek. In Proceedings of the Ninth International Conference on Fluvial Hydraulics (River Flow 2018), Lyon-Villeurbanne, France, 5–8 September 2018. [Google Scholar]
- Tauro, F.; Tosi, F.; Mattoccia, S.; Toth, E.; Piscopia, R.; Grimaldi, S. Optical tracking velocimetry (OTV): Leveraging optical flow and trajectory-based filtering for surface streamflow observations. Remote Sens. 2018, 10, 2010. [Google Scholar] [CrossRef]
- Lu, J.; Yang, H.; Zhang, Q. A field-segmentation-based variational optical flow method for PIV measurements of nonuniform flows. Exp. Fluids 2019, 60, 1–17. [Google Scholar] [CrossRef]
- Fujiia, I.; Tsubaki, R. A Method of Measuring One-Dimensional River Surface Flow Using Spatiotemporal Images. J. Vis. Soc. Jpn. 2001, 21, 25–28. [Google Scholar]
- Zhao, H.; Chen, H.; Liu, W.; Huang, K.; Liu, B.; Liu, D.; Wang, J. Application of Flow Measurement Method Based on Space-Time Image Recognition of River Surface. J. Water Resour. Res. 2020, 9, 1–11. [Google Scholar] [CrossRef]
- Fujita, I.; Notoya, Y.; Tani, K.; Tateguchi, S. Efficient and accurate estimation of water surface velocity in STIV. Environm. Fluid Mech. 2019, 19, 1363–1378. [Google Scholar] [CrossRef]
- Zhang, Z.; Li, H.; Zhou, Y.; Huang, J. Design and evaluation of an FFT-based space-time image velocimetry (STIV) for time-averaged velocity measurement. In Proceedings of the 2019 14th IEEE International Conference on Electronic Measurement & Instruments (ICEMI), Changsha, China, 1–3 November 2019; pp. 503–514. [Google Scholar]
- Kim, Y.; Fujita, I.; Hasegawa, M.; Yoon, J.-S. Measurement of Debris Flow Velocity in Flume Using Normal Image by Space-Time Image Velocimetry Incorporated with Machine Learning. Measurement 2022, 199, 111218. [Google Scholar] [CrossRef]
- Li, H.; Zhang, Z.; Meng, J.; Sun, Y.; Cui, W. River surface space-time image velocimetry of based on residual network. J. Hohai Univ. (Nat. Sci.) 2022, 1–16. Available online: http://kns.cnki.net/kcms/detail/32.1117.TV.20220602.1457.002.html (accessed on 29 November 2022).
- Chen, W.; Yang, C.; Yang, H. Multiscale Retinex infrared image enhancement based on the fusion of guided filtering and logarithmic transformation algorithm. Infrared Technol. 2022, 44, 397–403. [Google Scholar]
- Jacob, M.; Unser, M. Design of steerable filters for feature detection using canny-like criteria. IEEE Trans. Pattern Anal. Mach. Intell. 2004, 26, 1007–1019. [Google Scholar] [CrossRef] [PubMed]
- Chen, Y.; Zhao, Z.; Liu, L.; Li, H. Automatic tracking and measurement of the motion of blood cells in microvessels based on analysis of multiple spatiotemporal images. Meas. Sci. Technol. 2011, 22, 045803. [Google Scholar] [CrossRef]
- Fujita, I.; Shibano, T.; Tani, K. Application of masked two-dimensional Fourier spectra for improving the accuracy of STIV-based river surface flow velocity measurements. Meas. Sci. Technol. 2020, 31, 094015. [Google Scholar] [CrossRef]
- Zhao, H.; Chen, H.; Liu, B.; Lui, W.; Xu, C.Y.; Guo, S.; Wang, J. An improvement of the Space-Time Image Velocimetry combined with a new denoising method for estimating river discharge. Flow Meas. Instrum. 2021, 77, 101864. [Google Scholar] [CrossRef]
- Zhang, Z.; Li, H.; Yuan, Z.; Dong, R.; Wang, J. Sensitivity analysis of image filter for space-time image velocimetry in frequency domain. Chin. J. Sci. Instrum. 2022, 43, 43–53. [Google Scholar]
- GB 50179-2015; Code for Liquid Flow Measurement in Open Channels. China Planning Press: Beijing, China, 2015.
- Wang, J.; Zhu, R.; Zhang, G.; He, X.; Cai, R. Image Flow Measurement Based on the Combination of Frame Difference and Fast and Dense Optical Flow. Adv. Eng. Sci. 2022, 54, 195–207. [Google Scholar] [CrossRef]










| Distance/(m) | Depth/(m) |
|---|---|
| 1.8 | 1.37 |
| 7 | 1.90 |
| 12 | 1.75 |
| 17 | 1.72 |
| 22 | 1.84 |
| 27 | 1.88 |
| 32 | 2.12 |
| 37 | 2.33 |
| 42 | 2.47 |
| 48.4 | 1.35 |
| Area/(m2) | 94.9 |
| Distance/(m) | Vertical Line Average Velocity/(m · s−1) | Partial Average Velocity/(m · s−1) | Partial Section Area/(m2) | Partial Discharge/ (m3 · s−1) |
|---|---|---|---|---|
| 0 (left) | 0 | |||
| 0–7 | 0.93 | 10.1 | 9.39 | |
| 7 | 1.33 | |||
| 7–12 | 1.60 | 8.97 | 14.4 | |
| 12 | 1.88 | |||
| 12–17 | 1.94 | 8.59 | 16.7 | |
| 17 | 2.01 | |||
| 17–22 | 2.14 | 8.86 | 19.0 | |
| 22 | 2.27 | |||
| 22–27 | 2.03 | 9.18 | 18.6 | |
| 27 | 1.79 | |||
| 27–32 | 1.72 | 10.0 | 17.2 | |
| 32 | 1.64 | |||
| 32–37 | 1.68 | 11.1 | 18.6 | |
| 37 | 1.73 | |||
| 37–42 | 1.58 | 12.3 | 19.4 | |
| 42 | 1.43 | |||
| 42–51.4 | 1.00 | 15.8 | 15.8 | |
| 51.4 | 0 |
| a | b | c | d | e | f | g | h | i | j | |
|---|---|---|---|---|---|---|---|---|---|---|
| G | ||||||||||
| M |
| Velocity-Measuring Line | Surface Velocity/(m · s−1) | Vertical Line Average Velocity/(m · s−1) | Partial Average Velocity/(m · s−1) | Partial Section Area/(m2) | Partial Discharge/ (m3 · s−1) |
|---|---|---|---|---|---|
| 0.67 | 10.10 | 6.77 | |||
| No.1 | 1.09 | 0.96 | |||
| 1.52 | 8.97 | 13.63 | |||
| No.2 | 2.35 | 2.07 | |||
| 1.99 | 8.59 | 17.09 | |||
| No.3 | 2.17 | 1.91 | |||
| 1.76 | 8.86 | 15.59 | |||
| No.4 | 1.82 | 1.60 | |||
| 1.63 | 9.18 | 14.96 | |||
| No.5 | 1.88 | 1.65 | |||
| 1.65 | 10.00 | 16.50 | |||
| No.6 | 1.88 | 1.65 | |||
| 1.79 | 11.10 | 19.87 | |||
| No.7 | 2.19 | 1.93 | |||
| 1.87 | 12.30 | 23.00 | |||
| No.8 | 2.06 | 1.81 | |||
| 1.27 | 15.80 | 20.07 | |||
| Total discharge/(m3 · s−1): 147.48 | |||||
| Total cross-section area/(m2): 94.90 | |||||
| Average velocity/(m · s−1): 1.55 | |||||
| Method | Vertical Line Average Velocity/(m · s−1) | Average Velocity/(m · s−1) | Discharge/(m3 · s−1) | |||||||
|---|---|---|---|---|---|---|---|---|---|---|
| No.1 | No.2 | No.3 | No.4 | No.5 | No.6 | No.7 | No.8 | |||
| Current meter | 1.33 | 1.88 | 2.01 | 2.27 | 1.79 | 1.64 | 1.73 | 1.43 | 1.57 | 149.09 |
| LSPIV | 1.00 | 1.57 | 1.99 | 2.48 | 2.10 | 1.76 | 1.60 | 1.52 | 1.46 | 138.60 |
| LGTM | 1.88 | 3.01 | 2.16 | 2.31 | 5.89 | 3.19 | 2.78 | 2.42 | 2.65 | 251.95 |
| FD-DIS-G | 0.93 | 1.48 | 1.82 | 1.76 | 1.85 | 1.99 | 1.54 | 1.90 | 1.53 | 145.00 |
| New Method | 0.96 | 2.07 | 1.91 | 1.60 | 1.65 | 1.65 | 1.93 | 1.81 | 1.55 | 147.48 |
| Method | Absolute Errors/(m · s−1) | Average Velocity/(m · s−1) | Discharge/(m3 · s−1) | |||||||
|---|---|---|---|---|---|---|---|---|---|---|
| No.1 | No.2 | No.3 | No.4 | No.5 | No.6 | No.7 | No.8 | |||
| LSPIV | 0.33 | 0.31 | 0.02 | 0.21 | 0.31 | 0.12 | 0.13 | 0.09 | 0.11 | 10.49 |
| LGTM | 0.55 | 1.13 | 0.15 | 0.04 | 4.10 | 1.55 | 1.05 | 0.99 | 1.08 | 102.86 |
| FD-DIS-G | 0.40 | 0.40 | 0.19 | 0.51 | 0.06 | 0.35 | 0.19 | 0.47 | 0.04 | 4.09 |
| New Method | 0.37 | 0.19 | 0.10 | 0.67 | 0.14 | 0.01 | 0.20 | 0.38 | 0.02 | 1.61 |
| Method | Relative Errors/(%) | Average Velocity/(%) | Discharge/(%) | |||||||
|---|---|---|---|---|---|---|---|---|---|---|
| No.1 | No.2 | No.3 | No.4 | No.5 | No.6 | No.7 | No.8 | |||
| LSPIV | 24.81 | 16.49 | 1.00 | 9.25 | 17.32 | 7.32 | 7.51 | 6.29 | 7.01 | 7.04 |
| LGTM | 41.35 | 60.11 | 7.46 | 1.76 | 229.05 | 94.51 | 60.69 | 69.23 | 68.79 | 68.99 |
| FD-DIS-G | 30.08 | 21.28 | 9.45 | 22.47 | 3.35 | 21.34 | 10.98 | 32.87 | 2.55 | 2.74 |
| New Method | 27.82 | 10.11 | 4.98 | 29.52 | 7.82 | 0.61 | 11.56 | 26.57 | 1.27 | 1.08 |
Disclaimer/Publisher’s Note: The statements, opinions and data contained in all publications are solely those of the individual author(s) and contributor(s) and not of MDPI and/or the editor(s). MDPI and/or the editor(s) disclaim responsibility for any injury to people or property resulting from any ideas, methods, instructions or products referred to in the content. |
© 2023 by the authors. Licensee MDPI, Basel, Switzerland. This article is an open access article distributed under the terms and conditions of the Creative Commons Attribution (CC BY) license (https://creativecommons.org/licenses/by/4.0/).
Share and Cite
Lu, J.; Yang, X.; Wang, J. Velocity Vector Estimation of Two-Dimensional Flow Field Based on STIV. Sensors 2023, 23, 955. https://doi.org/10.3390/s23020955
Lu J, Yang X, Wang J. Velocity Vector Estimation of Two-Dimensional Flow Field Based on STIV. Sensors. 2023; 23(2):955. https://doi.org/10.3390/s23020955
Chicago/Turabian StyleLu, Jianghuai, Xiaohong Yang, and Jianping Wang. 2023. "Velocity Vector Estimation of Two-Dimensional Flow Field Based on STIV" Sensors 23, no. 2: 955. https://doi.org/10.3390/s23020955
APA StyleLu, J., Yang, X., & Wang, J. (2023). Velocity Vector Estimation of Two-Dimensional Flow Field Based on STIV. Sensors, 23(2), 955. https://doi.org/10.3390/s23020955

