A Novel Strategy for Selective Thyroid Hormone Determination Based on an Electrochemical Biosensor with Graphene Nanocomposite
Abstract
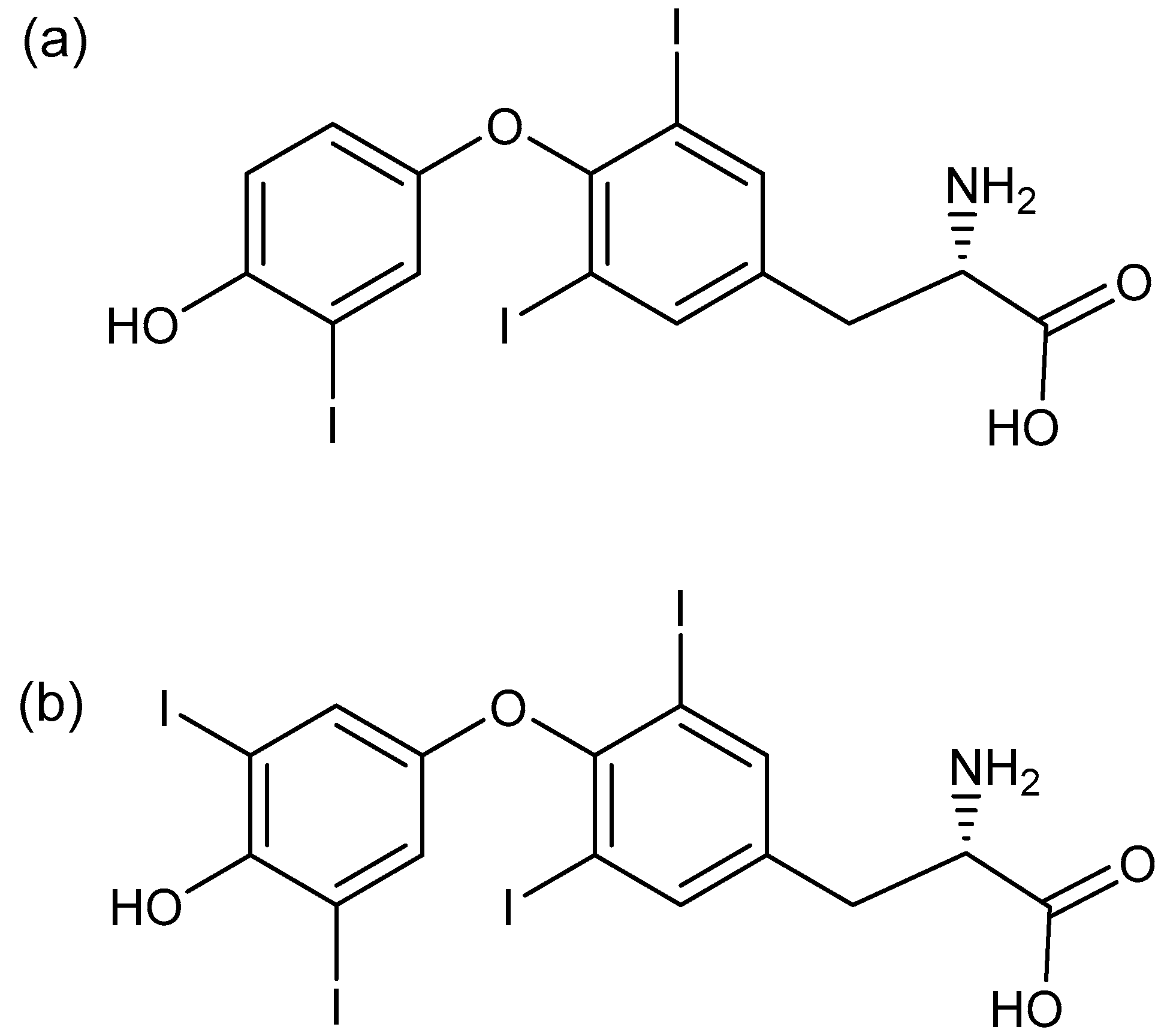
1. Introduction
2. Materials and Methods
2.1. Chemicals
2.2. Apparatus
2.3. Fabrication of the Biosensor
2.4. Electrochemical Procedure of fT3 Analysis
2.5. Selectivity and Stability Tests
2.6. Real Sample Analysis
3. Results and Discussion
3.1. Characterization of Fe3O4@graphene Nanocomposite
3.2. Electrochemical Characterization of the Electrode Modification
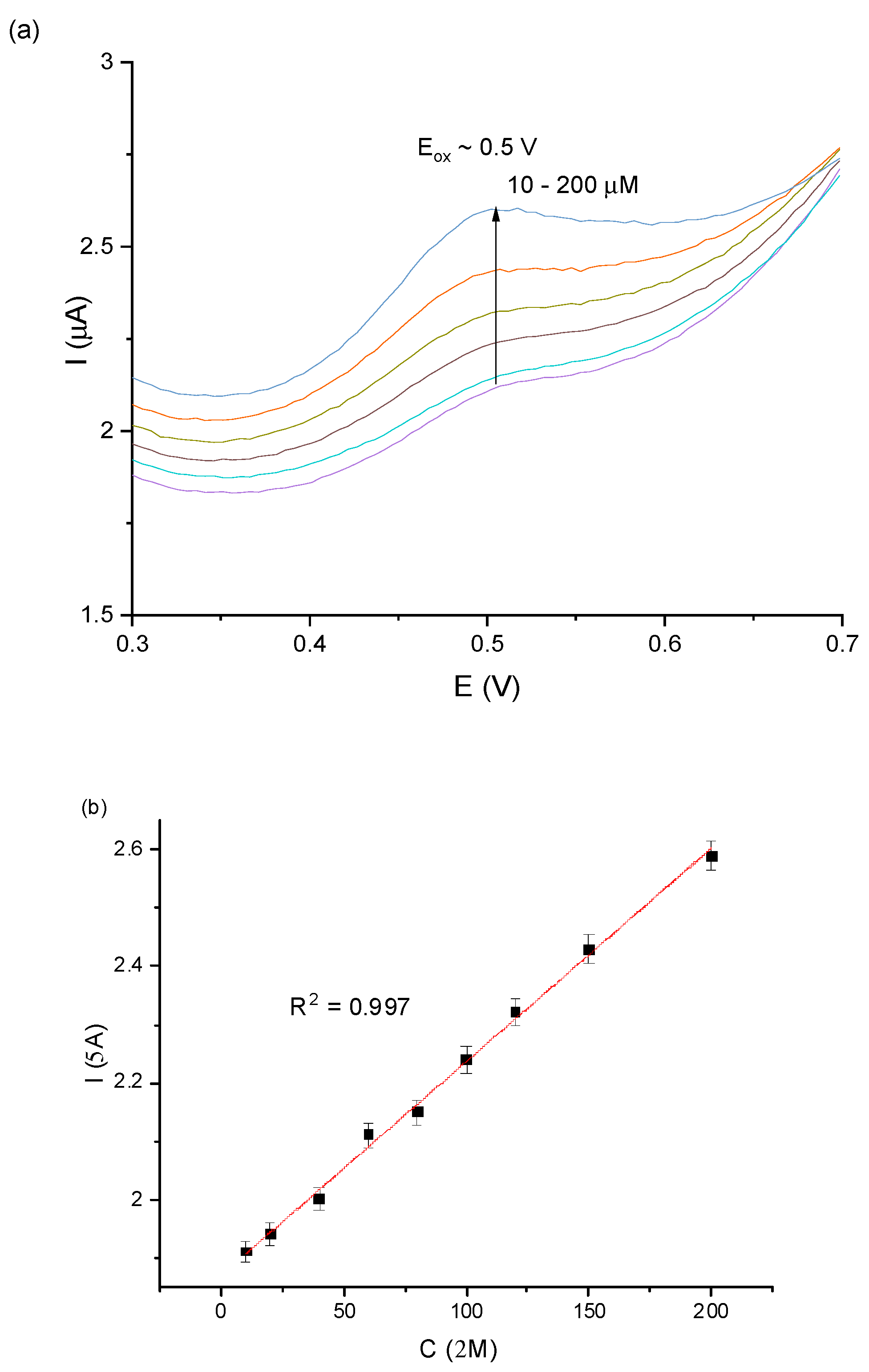
3.3. Analytical Performance of the Voltammetric Biosensor
3.4. Selectivity and Sensitivity
3.5. Real Sample Analysis
4. Conclusions
Supplementary Materials
Author Contributions
Funding
Institutional Review Board Statement
Informed Consent Statement
Conflicts of Interest
References
- Bernal, J.; Guadaño-Ferraz, A.; Morte, B. Thyroid Hormone Transporters—Functions and Clinical Implications. Nat. Rev. Endocrinol. 2015, 11, 406–417. [Google Scholar] [CrossRef]
- Ng, L.; Kelley, M.W.; Forrest, D. Making Sense with Thyroid Hormone—The Role of T3 in Auditory Development. Nat. Rev. Endocrinol. 2013, 9, 296–307. [Google Scholar] [CrossRef]
- Gogakos, A.I.; Duncan Bassett, J.H.; Williams, G.R. Thyroid and Bone. Arch. Biochem. Biophys. 2010, 503, 129–136. [Google Scholar] [CrossRef] [PubMed]
- Pei, L.; Leblanc, M.; Barish, G.; Atkins, A.; Nofsinger, R.; Whyte, J.; Gold, D.; He, M.; Kawamura, K.; Li, H.R.; et al. Thyroid Hormone Receptor Repression Is Linked to Type I Pneumocyte–Associated Respiratory Distress Syndrome. Nat. Med. 2011, 17, 1466–1472. [Google Scholar] [CrossRef] [PubMed]
- Boelaert, K.; Franklyn, J.A. Thyroid Hormone in Health and Disease. J. Endocrinol. 2005, 187, 1–15. [Google Scholar] [CrossRef] [PubMed]
- Nguyen, H.V.; Go, A.; Lee, M.-H. Quantitative Determination of Triiodothyronine by Electrochemical Impedance Spectroscopic Biosensor Using Gold Nanoparticle-Modified Electrode. J. Nanosci. Nanotechnol. 2020, 20, 7163–7168. [Google Scholar] [CrossRef]
- Lim, S.A.; Ahmed, M.U. Electrochemical Immunosensors and Their Recent Nanomaterial-Based Signal Amplification Strategies: A Review. RSC Adv. 2016, 6, 24995–25014. [Google Scholar] [CrossRef]
- Karapitta, C.D.; Sotiroudis, T.G.; Papadimitriou, A.; Xenakis, A. Homogeneous Enzyme Immunoassay for Triiodothyronine in Serum. Clin. Chem. 2001, 47, 569–574. [Google Scholar] [CrossRef]
- Chou, H.T.; Fu, C.Y.; Lee, C.Y.; Tai, N.H.; Chang, H.Y. An Ultrasensitive Sandwich Type Electrochemiluminescence Immunosensor for Triiodothyronine Detection Using Silver Nanoparticle-Decorated Graphene Oxide as a Nanocarrier. Biosens. Bioelectron. 2015, 71, 476–482. [Google Scholar] [CrossRef]
- Baloch, Z. Laboratory Support for the Diagnosis and Monitoring of Thyroid Disease. Thyroid 2003, 13, 3–126. [Google Scholar] [CrossRef]
- Gharib, H.; Ryan, R.J.; Mayberry, W.E.; Hockert, T. Radioimmunoassay for Triiodothyronine (T3): I. Affinity and Specificity of the Antibody for T3. J. Clin. Endocrinol. Metab. 1971, 33, 509–516. [Google Scholar] [CrossRef]
- Mitsuma, T.; Colucci, J.; Shenkman, L.; Hollander, C.S. Rapid Simultaneous Radioimmunoassay for Triiodothyronine and Thyroxine in Unextracted Serum. Biochem. Biophys. Res. Commun. 1972, 46, 2107–2113. [Google Scholar] [CrossRef]
- Nesakumar, N.; Kesavan, S.; Li, C.Z.; Alwarappan, S. Microfluidic Electrochemical Devices for Biosensing. J. Anal. Test. 2019, 3, 3–18. [Google Scholar] [CrossRef]
- Sakthivel, A.; Chandrasekaran, A.; Jayakumar, S.; Manickam, P.; Alwarappan, S. Sulphur Doped Graphitic Carbon Nitride as an Efficient Electrochemical Platform for the Detection of Acetaminophen. J. Electrochem. Soc. 2019, 166, B1461–B1469. [Google Scholar] [CrossRef]
- Kesavan, S.; Gowthaman, N.S.K.; Alwarappan, S.; John, S.A. Real Time Detection of Adenosine and Theophylline in Urine and Blood Samples Using Graphene Modified Electrode. Sens. Actuators B Chem. 2019, 278, 46–54. [Google Scholar] [CrossRef]
- Kim, J.; Park, M. Recent Progress in Electrochemical Immunosensors. Biosensors 2021, 11, 360. [Google Scholar] [CrossRef] [PubMed]
- Lin, M.; Liu, Y.; Liu, C.; Yang, Z.; Huang, Y. Sensitive Immunosensor for Benzo[a]Pyrene Detection Based on Dual Amplification Strategy of PAMAM Dendrimer and Amino-Modified Methylene Blue/SiO2 Core–Shell Nanoparticles. Biosens. Bioelectron. 2011, 26, 3761–3767. [Google Scholar] [CrossRef] [PubMed]
- Sadik, O.A.; van Emon, J.M. Applications of Electrochemical Immunosensors to Environmental Monitoring. Biosens. Bioelectron. 1996, 11, i–x. [Google Scholar] [CrossRef]
- Liu, L.; Chao, Y.; Cao, W.; Wang, Y.; Luo, C.; Pang, X.; Fan, D.; Wei, Q. A Label-Free Amperometric Immunosensor for Detection of Zearalenone Based on Trimetallic Au-Core/AgPt-Shell Nanorattles and Mesoporous Carbon. Anal. Chim Acta 2014, 847, 29–36. [Google Scholar] [CrossRef] [PubMed]
- Wang, H.; Li, X.; Mao, K.; Li, Y.; Du, B.; Zhang, Y.; Wei, Q. Electrochemical Immunosensor for α-Fetoprotein Detection Using Ferroferric Oxide and Horseradish Peroxidase as Signal Amplification Labels. Anal. Biochem. 2014, 465, 121–126. [Google Scholar] [CrossRef]
- Tang, J.; Tang, D.; Li, Q.; Su, B.; Qiu, B.; Chen, G. Sensitive Electrochemical Immunoassay of Carcinoembryonic Antigen with Signal Dual-Amplification Using Glucose Oxidase and an Artificial Catalase. Anal. Chim. Acta 2011, 697, 16–22. [Google Scholar] [CrossRef]
- Yin, Z.; Liu, Y.; Jiang, L.P.; Zhu, J.J. Electrochemical Immunosensor of Tumor Necrosis Factor α Based on Alkaline Phosphatase Functionalized Nanospheres. Biosens. Bioelectron. 2011, 26, 1890–1894. [Google Scholar] [CrossRef]
- Solomon, E.I.; Szilagyi, R.K.; DeBeer George, S.; Basumallick, L. Electronic Structures of Metal Sites in Proteins and Models: Contributions to Function in Blue Copper Proteins. Chem. Rev. 2004, 104, 419–458. [Google Scholar] [CrossRef]
- Johnson, D.L.; Thompson, J.L.; Brinkmann, S.M.; Schuller, K.A.; Martin, L.L. Electrochemical Characterization of Purified Rhus Vernicifera Laccase: Voltammetric Evidence for a Sequential Four-Electron Transfer. Biochemistry 2003, 42, 10229–10237. [Google Scholar] [CrossRef]
- Ivnitski, D.; Atanassov, P. Electrochemical Studies of Intramolecular Electron Transfer in Laccase from Trametes Versicolor. Electroanalysis 2007, 19, 2307–2313. [Google Scholar] [CrossRef]
- Teja, A.S.; Koh, P.Y. Synthesis, Properties, and Applications of Magnetic Iron Oxide Nanoparticles. Prog. Cryst. Growth Charact. Mater. 2009, 55, 22–45. [Google Scholar] [CrossRef]
- Kulpa-Koterwa, A.; Ossowski, T.; Niedziałkowski, P. Functionalized Fe3O4 Nanoparticles as Glassy Carbon Electrode Modifiers for Heavy Metal Ions Detection—A Mini Review. Materials 2021, 14, 7725. [Google Scholar] [CrossRef] [PubMed]
- Chimezie, A.B.; Hajian, R.; Yusof, N.A.; Woi, P.M.; Shams, N. Fabrication of Reduced Graphene Oxide-Magnetic Nanocomposite (RGO-Fe3O4) as an Electrochemical Sensor for Trace Determination of As(III) in Water Resources. J. Electroanal. Chem. 2017, 796, 33–42. [Google Scholar] [CrossRef]
- Mollarasouli, F.; Zor, E.; Ozcelikay, G.; Ozkan, S.A. Magnetic Nanoparticles in Developing Electrochemical Sensors for Pharmaceutical and Biomedical Applications. Talanta 2021, 226, 122108. [Google Scholar] [CrossRef]
- Alwarappan, S.; Liu, C.; Kumar, A.; Li, C.Z. Enzyme-Doped Graphene Nanosheets for Enhanced Glucose Biosensing. J. Phys. Chem. C 2010, 114, 12920–12924. [Google Scholar] [CrossRef]
- Alwarappan, S.; Singh, S.R.; Pillai, S.; Kumar, A.; Mohapatra, S. Direct Electrochemistry of Glucose Oxidase at a Gold Electrode Modified with Graphene Nanosheets. Anal. Lett. 2012, 45, 746–753. [Google Scholar] [CrossRef]
- El-Shafai, N.M.; Abdelfatah, M.M.; El-Khouly, M.E.; El-Mehasseb, I.M.; El-Shaer, A.; Ramadan, M.S.; Masoud, M.S.; El-Kemary, M.A. Magnetite Nano-Spherical Quantum Dots Decorated Graphene Oxide Nano Sheet (GO@Fe3O4): Electrochemical Properties and Applications for Removal Heavy Metals, Pesticide and Solar Cell. Appl Surf. Sci 2020, 506, 144896. [Google Scholar] [CrossRef]
- Rebodos, R.L.; Vikesland, P.J. Effects of Oxidation on the Magnetization of Nanoparticulate Magnetite. Langmuir 2010, 26, 16745–16753. [Google Scholar] [CrossRef]
- Mollarasouli, F.; Kurbanoglu, S.; Ozkan, S.A. The Role of Electrochemical Immunosensors in Clinical Analysis. Biosensors 2019, 9, 86. [Google Scholar] [CrossRef] [PubMed]
- Ma, H.; Zhao, Y.; Li, L.; Wang, H.; Wei, Q. Label-Free Electrochemiluminescent Immunosensor for Detection of Prostate Specific Antigen Based on Mesoporous Graphite-like Carbon Nitride. Talanta 2018, 188, 729–735. [Google Scholar] [CrossRef]
- Luppa, P.B.; Sokoll, L.J.; Chan, D.W. Immunosensors—Principles and Applications to Clinical Chemistry. Clin. Chim. Acta 2001, 314, 1–26. [Google Scholar] [CrossRef]
- Wei, W.; Zong, X.; Wang, X.; Yin, L.; Pu, Y.; Liu, S. A Disposable Amperometric Immunosensor for Chlorpyrifos-Methyl Based on Immunogen/Platinum Doped Silica Sol–Gel Film Modified Screen-Printed Carbon Electrode. Food Chem. 2012, 135, 888–892. [Google Scholar] [CrossRef]
- Zang, S.; Liu, Y.; Lin, M.; Kang, J.; Sun, Y.; Lei, H. A Dual Amplified Electrochemical Immunosensor for Ofloxacin: Polypyrrole Film-Au Nanocluster as the Matrix and Multi-Enzyme-Antibody Functionalized Gold Nanorod as the Label. Electrochim. Acta 2013, 90, 246–253. [Google Scholar] [CrossRef]
- Singh, A.C.; Bacher, G.; Bhand, S. A Label Free Immunosensor for Ultrasensitive Detection of 17β-Estradiol in Water. Electrochim. Acta 2017, 232, 30–37. [Google Scholar] [CrossRef]
- Sramkova, E.; Bystron, T.; Bouzek, K. Quantification of Electrocatalytic Activity of Glassy Carbon Electrode. Electrochim. Acta 2021, 379, 138177. [Google Scholar] [CrossRef]
- Kuznetsov, B.A.; Shumakovich, G.P.; Koroleva, O.V.; Yaropolov, A.I. On Applicability of Laccase as Label in the Mediated and Mediatorless Electroimmunoassay: Effect of Distance on the Direct Electron Transfer between Laccase and Electrode. Biosens. Bioelectron. 2001, 16, 73–84. [Google Scholar] [CrossRef] [PubMed]
- Saleemuddin, M. Bioaffinity Based Immobilization of Enzymes. In Thermal Biosensors, Bioactivity, Bioaffinitty. Advances in Biochemical Engineering/Biotechnology; Springer: Berlin/Heidelberg, Germany, 1999; Volume 64, pp. 203–226. [Google Scholar]
- Kim, H.U.; Kim, H.Y.; Seok, H.; Kanade, V.; Yoo, H.; Park, K.Y.; Lee, J.H.; Lee, M.H.; Kim, T. Flexible MoS2-Polyimide Electrode for Electrochemical Biosensors and Their Applications for the Highly Sensitive Quantification of Endocrine Hormones: PTH, T3, and T4. Anal. Chem. 2020, 92, 6327–6333. [Google Scholar] [CrossRef] [PubMed]
- Piontek, K.; Antorini, M.; Choinowski, T. Crystal Structure of a Laccase from the FungusTrametes Versicolor at 1.90-Å Resolution Containing a Full Complement of Coppers. J. Biol. Chem. 2002, 277, 37663–37669. [Google Scholar] [CrossRef] [PubMed]
- Kaczmarek, M.B.; Kwiatos, N.; Szczęsna-Antczak, M.; Bielecki, S. Laccases–Enzymes with an Unlimited Potential. Biotechnol. Food Sci. 2017, 81, 41–70. [Google Scholar]
- Venton, B.J.; DiScenza, D.J. Voltammetry. In Electrochemistry for Bioanalysis; Elsevier: Amsterdam, The Netherlands, 2020; pp. 27–50. ISBN 978-0-12-821203-5. [Google Scholar]
- Sterling, K.; Bellabarba, D.; Newman, E.S.; Brenner, M.A. Determination of Triiodothyronine Concentration in Human Serum. J. Clin. Investig. 1969, 48, 1158. [Google Scholar] [CrossRef]
- Normal Thyroid Hormone Levels. Available online: https://www.uclahealth.org/endocrine-center/normal-thyroid-hormone-levels (accessed on 2 June 2022).
- Desimoni, E.; Brunetti, B. Data Treatment of Electrochemical Sensors and Biosensors. In Environmental Analysis by Electrochemical Sensors and Biosensors; Springer: New York, NY, USA, 2015; pp. 1137–1151. [Google Scholar]









| Concentration of fT3 in a Real Sample (µM) | Cdetected (µM) | Recovery (%) | RSD |
|---|---|---|---|
| 200.00 | 193.00 | 96.5 | ±0.67 |
Disclaimer/Publisher’s Note: The statements, opinions and data contained in all publications are solely those of the individual author(s) and contributor(s) and not of MDPI and/or the editor(s). MDPI and/or the editor(s) disclaim responsibility for any injury to people or property resulting from any ideas, methods, instructions or products referred to in the content. |
© 2023 by the authors. Licensee MDPI, Basel, Switzerland. This article is an open access article distributed under the terms and conditions of the Creative Commons Attribution (CC BY) license (https://creativecommons.org/licenses/by/4.0/).
Share and Cite
Baluta, S.; Romaniec, M.; Halicka-Stępień, K.; Alicka, M.; Pieła, A.; Pala, K.; Cabaj, J. A Novel Strategy for Selective Thyroid Hormone Determination Based on an Electrochemical Biosensor with Graphene Nanocomposite. Sensors 2023, 23, 602. https://doi.org/10.3390/s23020602
Baluta S, Romaniec M, Halicka-Stępień K, Alicka M, Pieła A, Pala K, Cabaj J. A Novel Strategy for Selective Thyroid Hormone Determination Based on an Electrochemical Biosensor with Graphene Nanocomposite. Sensors. 2023; 23(2):602. https://doi.org/10.3390/s23020602
Chicago/Turabian StyleBaluta, Sylwia, Marta Romaniec, Kinga Halicka-Stępień, Michalina Alicka, Aleksandra Pieła, Katarzyna Pala, and Joanna Cabaj. 2023. "A Novel Strategy for Selective Thyroid Hormone Determination Based on an Electrochemical Biosensor with Graphene Nanocomposite" Sensors 23, no. 2: 602. https://doi.org/10.3390/s23020602
APA StyleBaluta, S., Romaniec, M., Halicka-Stępień, K., Alicka, M., Pieła, A., Pala, K., & Cabaj, J. (2023). A Novel Strategy for Selective Thyroid Hormone Determination Based on an Electrochemical Biosensor with Graphene Nanocomposite. Sensors, 23(2), 602. https://doi.org/10.3390/s23020602

