Dual Residual Denoising Autoencoder with Channel Attention Mechanism for Modulation of Signals
Abstract
1. Introduction
- (1)
- We choose the convolutional denoising autoencoder as the noise reduction model for modulation signals. Residual connections are added not only inside the encoding (decoding) block but also between the encoding (decoding) blocks of different depths to form a double residual connection.
- (2)
- The SE module is improved and introduced into the denoising autoencoder to optimize the feature extraction of modulation signals. The improved SE module retains the advantages of selective enhancement for channel features, and the number of parameters is fewer, which makes the network model easier to train and achieve a better noise reduction effect.
- (3)
- In the decoding module of the denoising autoencoder, transpose convolution (TConv) is selected to complete upsampling. The parameters inside TConv can be initialized randomly and updated iteratively. At the same time, the SmoothL1Loss(SLL) function is used as the loss function of the denoising autoencoder, which can better measure the error between the estimated value and the real value, reconstruct a more accurate modulation signal, and improve the accuracy of the model training.
2. Communication System Model
3. DRdA-CA Architecture Details
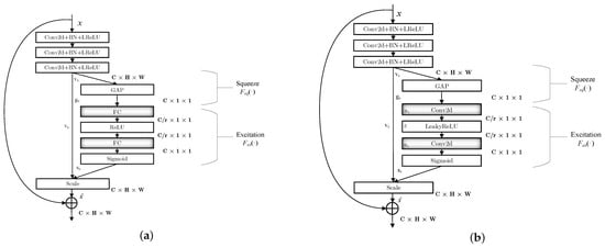
3.1. The Proposed Denoising Autoencoder Structure
3.2. The Encoding and Decoding Blocks
3.3. Loss Function
4. Dataset
4.1. Experimental Data and Environment
4.2. Dataset Preprocessing
5. Experiment and Analysis
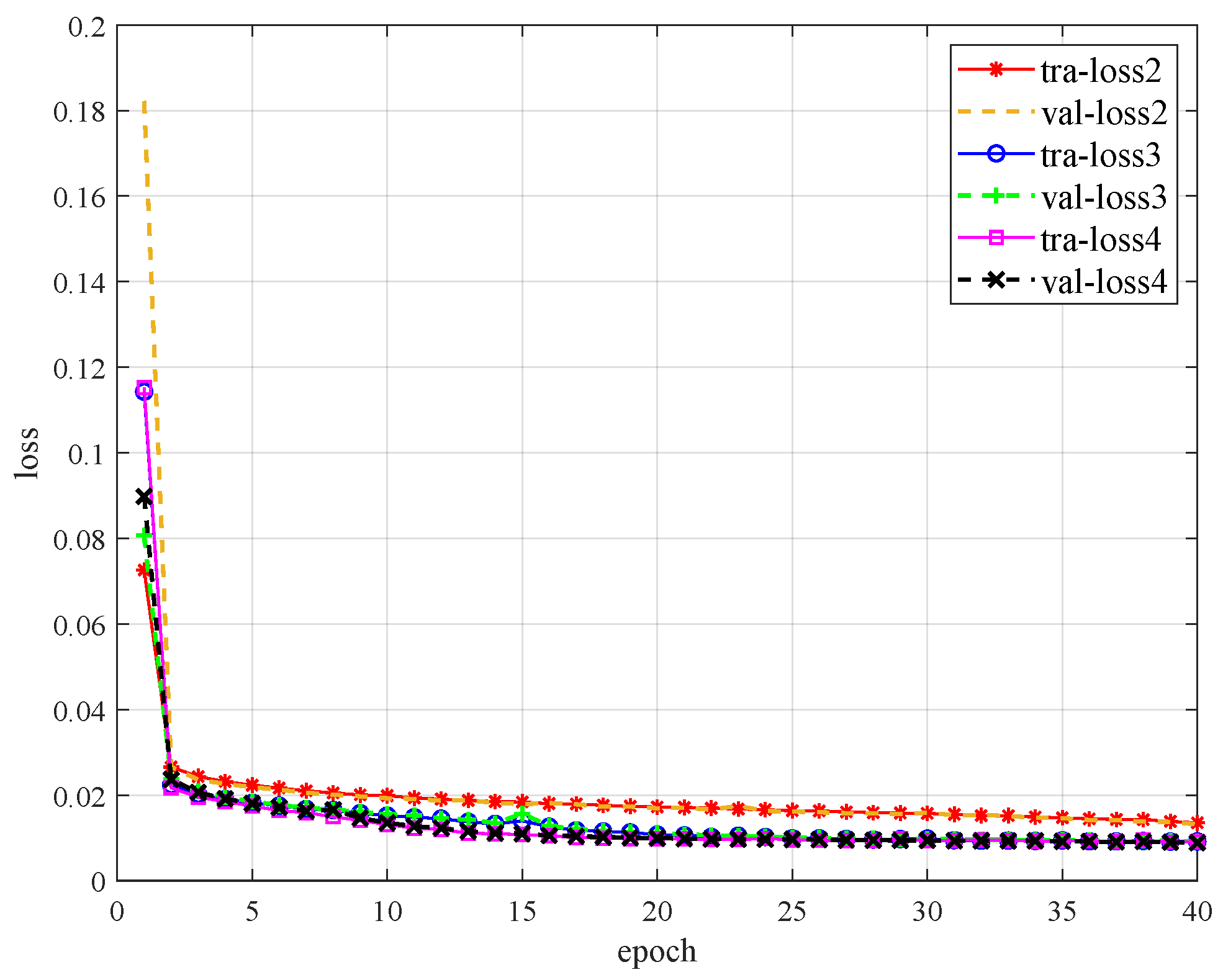
5.1. Layer Number Optimization
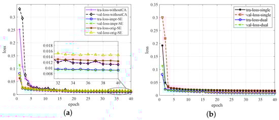
5.2. Ablation Experiments
5.3. Comparison of SNR Improvement
5.4. Comparison of AMC Performance
5.5. Comparison of Demodulation Performance
6. Conclusions
Author Contributions
Funding
Institutional Review Board Statement
Informed Consent Statement
Data Availability Statement
Conflicts of Interest
Abbreviations
| BER | Bit Error Rate |
| SNR | Signal-to-Noise Ratio |
| DRdA-CA | Double-Residual Denoising Autoencoder Method with Channel Attention Mechanism |
| WT | Wavelet Transform |
| LMS | Least Mean Square |
| RLS | Recursive Least Squares |
| PCA | Principal Component Analysis |
| SVD | Singular Value Decomposition |
| CNN | Convolutional Neural Network |
| FC | Fully Connected Layers |
| ML | Machine Learning |
| VKF | Vector Kalman Filter |
| SCM | Spatial Channel Model |
| DnCNN | Residual Learning of Deep CNN for Image Denoising |
| SE | Squeeze-and-Excitation |
| TConv | Transpose Convolution |
| SLL | SmoothL1Loss |
| AWGN | Additive White Gaussin Noise |
| AMC | Automatic Modulation Classification |
| SE-ResNet | Squeeze-and-Excitation Deep Residual Networks |
| ResNet | Deep Residual Network |
| GAP | Global Average Pooling |
| MAE | Mean Absolute Error |
| MSE | Mean Square Error |
| Adam | Adaptive Moment Estimation |
| EVM | Error Vector Magnitude |
References
- Parolai, S. Denoising of Seismograms Using the S Transform. Bull. Seismol. Soc. Am. 2009, 99, 226–234. [Google Scholar] [CrossRef]
- Milani, A.A.; Panahi, I.M.S.; Briggs, R.W. LMS-Based Active Noise Cancellation Methods for fMRI Using Sub-band Filtering. In Proceedings of the 2006 International Conference of the IEEE Engineering in Medicine and Biology Society, New York, NY, USA, 30 August–3 September 2006; pp. 513–516. [Google Scholar]
- Albu, F.; Paleologu, C. A recursive least square algorithm for active noise control based on the Gauss-Seidel method. In Proceedings of the 2008 15th IEEE International Conference on Electronics, Circuits and Systems, St. Julian’s, Malta, 31 August–3 September 2008; pp. 830–833. [Google Scholar]
- Haykin, S. Adaptive Filter Theory; Pearson Education: Upper Saddle River, NJ, USA, 1986. [Google Scholar]
- Li, X.L.; Anderson, M.; Adalı, T. Principal component analysis for noncircular signals in the presence of circular white gaussian noise. In Proceedings of the 2010 Conference Record of the Forty Fourth Asilomar Conference on Signals, Systems and Computers, Pacific Grove, CA, USA, 7–10 November 2010; pp. 1796–1801. [Google Scholar]
- Pyatykh, S.; Hesser, J.W.; Zheng, L. Image Noise Level Estimation by Principal Component Analysis. IEEE Trans. Image Process. 2013, 22, 687–699. [Google Scholar] [CrossRef] [PubMed]
- Zhao, Q.; Meng, D.; Xu, Z.; Zuo, W.; Zhang, L. Robust Principal Component Analysis with Complex Noise. In Proceedings of the ICML, Beijing, China, 21–26 June 2014. [Google Scholar]
- Peng, F.; Gao, Y. Noise reduction of BPSK signals based on convolutional self-coding networks. Inf. Commun. 2020, 8, 41–44. [Google Scholar]
- Bekara, M.; van der Baan, M. Local singular value decomposition for signal enhancement of seismic data. Geophysics 2007, 72, V59–V65. [Google Scholar] [CrossRef]
- Rajwade, A.; Rangarajan, A.; Banerjee, A. Image Denoising Using the Higher Order Singular Value Decomposition. IEEE Trans. Pattern Anal. Mach. Intell. 2013, 35, 849–862. [Google Scholar] [CrossRef] [PubMed]
- Zhang, G.; He, H.; Zhang, P. NR-MC-CDSK Chaotic Communication System Based on Schmidt Orthogonalization. J. Electron. Inf. Technol. 2021, 43, 1930–1938. [Google Scholar]
- Chang, Z.; Wang, Y.; Li, H.; Wang, Z. Complex CNN-Based Equalization for Communication Signal. In Proceedings of the 2019 IEEE 4th International Conference on Signal and Image Processing (ICSIP), Wuxi, China, 19–21 July 2019; pp. 513–517. [Google Scholar]
- Wada, T.; Toma, T.; Dawodi, M.; Baktash, J.A. A Denoising Autoencoder based wireless channel transfer function estimator for OFDM communication system. In Proceedings of the 2019 International Conference on Artificial Intelligence in Information and Communication (ICAIIC), Okinawa, Japan, 11–13 February 2019; pp. 530–533. [Google Scholar]
- Zhao, T.; Zhong, Y.; Wang, Y. Parallel multi-scale CNN for image denoising. In Proceedings of the 5th International Conference on Communication and Information Processing (ICCIP ’19), Chongqing, China, 15–17 November 2019. [Google Scholar]
- Rock, J.; Tóth, M.; Meissner, P.; Pernkopf, F. Deep Interference Mitigation and Denoising of Real-World FMCW Radar Signals. In Proceedings of the 2020 IEEE International Radar Conference (RADAR), Washington, DC, USA, 28–30 April 2020; pp. 624–629. [Google Scholar]
- Kim, H.; Kim, S.; Lee, H.; Choi, J. Massive MIMO Channel Prediction: Machine Learning Versus Kalman Filtering. In Proceedings of the 2020 IEEE Globecom Workshops (GC Wkshps), Taipei, Taiwan, 7–11 December 2020; pp. 1–6. [Google Scholar]
- Zhang, K.; Zuo, W.; Chen, Y.; Meng, D.; Zhang, L. Beyond a Gaussian Denoiser: Residual Learning of Deep CNN for Image Denoising. IEEE Trans. Image Process. 2017, 26, 3142–3155. [Google Scholar] [CrossRef] [PubMed]
- Khan, S.; Khan, K.S.; Shin, S.Y.K. Symbol Denoising in High Order M-QAM using Residual learning of Deep CNN. In Proceedings of the 2019 16th IEEE Annual Consumer Communications & Networking Conference (CCNC), Las Vegas, NV, USA, 11–14 January 2019; pp. 1–6. [Google Scholar]
- Yin, J.; Luo, W.; Li, L.; Han, X.; Guo, L.; Wang, J. Enhancement of underwater acoustic signal based on denoising automatic-encoder. J. Commun. 2019, 40, 119–126. [Google Scholar]
- Zhou, X.; Sun, Z.; Wu, H. Wireless signal enhancement based on generative adversarial networks. Ad. Hoc. Netw. 2020, 103, 102151. [Google Scholar] [CrossRef]
- Jiang, Y.; Li, H.; Rangaswamy, M. Deep Learning Denoising Based Line Spectral Estimation. IEEE Signal Process. Lett. 2019, 26, 1573–1577. [Google Scholar] [CrossRef]
- Jin, K.H.; McCann, M.T.; Froustey, E.; Unser, M.A. Deep Convolutional Neural Network for Inverse Problems in Imaging. IEEE Trans. Image Process. 2017, 26, 4509–4522. [Google Scholar] [CrossRef] [PubMed]
- Wang, Y.; Tu, L.; Guo, J.; Wang, Z. Residual learning based RF signal denoising. In Proceedings of the 2018 IEEE International Conference on Applied System Invention (ICASI), Tokyo, Japan, 13–17 April 2018; pp. 15–18. [Google Scholar]
- Wang, Y.; Huang, H.; Xu, Q.; Liu, J.; Liu, Y.; Wang, J. Practical Deep Raw Image Denoising on Mobile Devices. arXiv 2020, arXiv:2010.06935. [Google Scholar]
- Kang, E.; Chang, W.; Yoo, J.; Ye, J.C. Deep Convolutional Framelet Denoising for Low-Dose CT via Wavelet Residual Network. IEEE Trans. Med. Imaging 2018, 37, 1358–1369. [Google Scholar] [CrossRef] [PubMed]
- Casas, L.; Navab, N.; Belagiannis, V. Adversarial Signal Denoising with Encoder-Decoder Networks. In Proceedings of the 2020 28th European Signal Processing Conference (EUSIPCO), Amsterdam, The Netherlands, 18–21 January 2021; pp. 1467–1471. [Google Scholar]
- He, K.; Zhang, X.; Ren, S.; Sun, J. Deep Residual Learning for Image Recognition. In Proceedings of the 2016 IEEE Conference on Computer Vision and Pattern Recognition (CVPR), Las Vegas, NV, USA, 27–30 June 2016; pp. 770–778. [Google Scholar]
- Yancheng, L.; Zeng, X.; Dong, Q.; Wang, X. RED-MAM: A residual encoder-decoder network based on multi-attention fusion for ultrasound image denoising. Biomed. Signal Process. Control 2023, 79, 104062. [Google Scholar]
- Li, H.; Qiu, K.; Chen, L.; Mei, X.; Hong, L.; Tao, C. SCAttNet: Semantic Segmentation Network With Spatial and Channel Attention Mechanism for High-Resolution Remote Sensing Images. IEEE Geosci. Remote Sens. Lett. 2019, 18, 905–909. [Google Scholar] [CrossRef]
- Zhou, T.; Canu, S.; Ruan, S. Automatic COVID-19 CT segmentation using U-Net integrated spatial and channel attention mechanism. Int. J. Imaging Syst. Technol. 2020, 31, 16–27. [Google Scholar] [CrossRef]
- Hu, J.; Shen, L.; Albanie, S.; Sun, G.; Wu, E. Squeeze-and-Excitation Networks. IEEE Trans. Pattern Anal. Mach. Intell. 2020, 42, 2011–2023. [Google Scholar] [CrossRef] [PubMed]
- Zhang, Y.; Li, G.; Lei, J.; He, J. FF-CAM: Crowd counting based on frontend-backend fusion through channel-attention mechanism. Comput. Sci. 2020, 44, 304–317. [Google Scholar]
- Chirag, B.; Lohith, A.; Prasantha, H.S. Comparative performance analysis of various digital modulation schemes in AWGN channel. In Proceedings of the 2017 Innovations in Power and Advanced Computing Technologies (i-PACT), Vellore, India, 21–22 April 2017; pp. 1–5. [Google Scholar]
- O’Shea, T.; Corgan, J.; Clancy, T.C. Convolutional Radio Modulation Recognition Networks. arXiv 2016, arXiv:1602.04105. [Google Scholar]











| Layer Name | Output Feature Map Size |
|---|---|
| convolutional layer 1 | 32 × 2 × 1024 |
| encoding block 1 | 32 × 2 × 1024 |
| encoding block 2 | 64 × 2 × 512 |
| encoding block 3 | 128 × 1 × 256 |
| decoding block 1 | 128 × 2 × 521 |
| decoding block 2 | 64 × 2 × 1024 |
| decoding block 3 | 32 × 2 × 1024 |
| convolutional layer 2 | 1 × 2 × 1024 |
| Parameter | Value/Description |
|---|---|
| SNR | −12:2:8 (dB) |
| Symbol rate | 256k Baud |
| Sample rate | 1024 kHz |
| Oversampling rate | 4 |
| Forming filters | Root raised cosine filter |
| Roll-off factor | 0.3 |
| Channel | AWGN channel |
| Model | Parameter |
|---|---|
| DRdA-CA2 | 181,408 |
| DRdA-CA3 | 263,416 |
| DRdA-CA4 | 345,424 |
| RLS | LMS | PCA | DnCNN | DRdA-CA | |
|---|---|---|---|---|---|
| GMSK | 6.76 dB | 6.50 dB | 7.18 dB | 11.59 dB | 16.84 dB |
| CPFSK | 6.14 dB | 5.75 dB | 8.45 dB | 10.11 dB | 15.39 dB |
| BPSK | 6.15 dB | 5.74 dB | 8.46 dB | 11.12 dB | 11.86 dB |
| QPSK | 6.14 dB | 5.74 dB | 6.21 dB | 9.17 dB | 13.44 dB |
| OQPSK | 6.14 dB | 5.76 dB | 6.17 dB | 8.99 dB | 13.43 dB |
| 8PSK | 6.13 dB | 5.74 dB | 5.44 dB | 8.29 dB | 9.47 dB |
| 16QAM | 6.13 dB | 5.75 dB | 5.43 dB | 7.9 dB | 8.38 dB |
| 64QAM | 6.14 dB | 5.78 dB | 6.19 dB | 7.79 dB | 8.27 dB |
Disclaimer/Publisher’s Note: The statements, opinions and data contained in all publications are solely those of the individual author(s) and contributor(s) and not of MDPI and/or the editor(s). MDPI and/or the editor(s) disclaim responsibility for any injury to people or property resulting from any ideas, methods, instructions or products referred to in the content. |
© 2023 by the authors. Licensee MDPI, Basel, Switzerland. This article is an open access article distributed under the terms and conditions of the Creative Commons Attribution (CC BY) license (https://creativecommons.org/licenses/by/4.0/).
Share and Cite
Duan, R.; Chen, Z.; Zhang, H.; Wang, X.; Meng, W.; Sun, G. Dual Residual Denoising Autoencoder with Channel Attention Mechanism for Modulation of Signals. Sensors 2023, 23, 1023. https://doi.org/10.3390/s23021023
Duan R, Chen Z, Zhang H, Wang X, Meng W, Sun G. Dual Residual Denoising Autoencoder with Channel Attention Mechanism for Modulation of Signals. Sensors. 2023; 23(2):1023. https://doi.org/10.3390/s23021023
Chicago/Turabian StyleDuan, Ruifeng, Ziyu Chen, Haiyan Zhang, Xu Wang, Wei Meng, and Guodong Sun. 2023. "Dual Residual Denoising Autoencoder with Channel Attention Mechanism for Modulation of Signals" Sensors 23, no. 2: 1023. https://doi.org/10.3390/s23021023
APA StyleDuan, R., Chen, Z., Zhang, H., Wang, X., Meng, W., & Sun, G. (2023). Dual Residual Denoising Autoencoder with Channel Attention Mechanism for Modulation of Signals. Sensors, 23(2), 1023. https://doi.org/10.3390/s23021023

