Accurate and Low-Power Ultrasound–Radiofrequency (RF) Indoor Ranging Using MEMS Loudspeaker Arrays
Abstract
:1. Introduction
1.1. Related Work
1.2. Outlining Previous Work and the Research Gap
1.3. Contributions
- Which UPA design leads to the best ranging accuracy over an entire room? Since a broadband chirp signal is emitted for TOF ranging, we first investigate at which operating frequency the loudspeaker array should be designed. In this regard, the beam patterns of multiple loudspeaker arrays with different interelement spacing are investigated. Hereafter, multiple array designs that are different in number of speakers and configuration are evaluated in terms of ranging accuracy over several shoe-box rooms. These medium-sized rooms differ in terms of dimensions to avoid optimization toward one specific room.
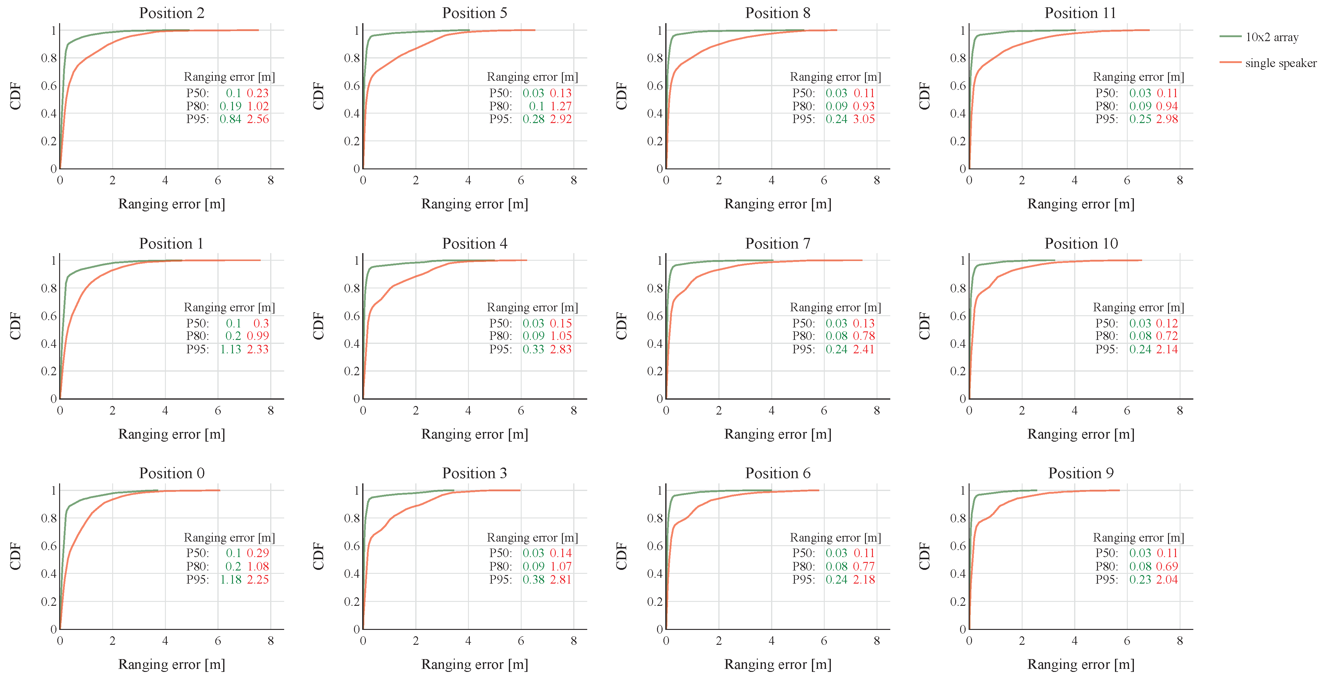
- How does the best-performing loudspeaker UPA, following the results of research question 1, perform with respect to a conventional single-speaker system? In this case, the cumulative distribution functions of the ranging errors of both systems are compared.
1.4. Assumptions
2. Ultra-Low-Power Acoustic–RF Ranging
- A large chirp bandwidth positively impacts the ranging resolution. However, it is limited by the frequency response of the ultrasonic speaker and microphone. This work considers ultrasonic chirps in the range 18 to 32 , based on the frequency response of a commercial MEMS speaker.
- A small chirp length would result in a high compression ratio. However, it also determines the maximum ranging distance .
- Increasing the sample time window at the tracked device improves the SNR and accuracy quadratically but, on the other hand, increases the energy consumption to perform a single ranging measurement.
3. Beamforming a Chirp Signal with Arrays
4. Optimizing the UPA Design: A Room Evaluation
- Number of speakers. Adding more speakers to the array will increase the total array gain and reduce both the main lobe width and side lobe levels. This positively affects the SNR and thus the ranging accuracy, yet it comes at the expense of increased system complexity and cost.
- Array configuration. Changing the horizontal and vertical distribution of the speakers in the UPA makes it possible to adapt the beam pattern in both dimensions. A reduced main lobe width in one dimension can, for example, be traded for an increased width in the other dimension if it favors the situation.
4.1. Simulation Setup
| Algorithm 1 Simulation flow |
|
| Algorithm 2 RF–acoustic ranging measurement |
|
4.2. Results
5. Results Discussion
5.1. UPA Positions 0–2
5.2. UPA Positions 3–11
5.3. Phased Arrays versus Single Speakers
5.4. Discussion Conclusions
- The loudspeaker array design. Increasing the number of speaker elements would further decrease the beam width of the main lobe. Consequently, fewer multipath components would be able to interfere with the LoS signal, further improving the acoustic ranging measurement in more room locations. On the other hand, mobile devices bring another level of complexity to the system since a smaller main lobe beam width will require faster redirection.
- The beamforming feedback system. As mentioned before, we idealized the acoustic beamforming such that the ranging signals were perfectly directed toward the tracked device. In practice, the measured azimuth and elevation angles of the tracked device with respect to the phased loudspeaker beacon will be subjected to errors, affecting the ranging measurements.
- The environment. We only considered shoe-box rooms in these simulations. Adding objects or introducing non-shoe-box environments would significantly increase the simulation complexity. Consequently, practical measurements in real environments should provide further insights in this regard.
6. Conclusions and Future Work
Author Contributions
Funding
Institutional Review Board Statement
Informed Consent Statement
Data Availability Statement
Conflicts of Interest
Abbreviations
| AoA | angle of arrival. 10 |
| BLE | Bluetooth Low Energy. 2 |
| CC | cross-correlation. 4 |
| CDF | cumulative distribution function. 17 |
| COTS | commercial off-the-shelf. 17 |
| DoA | direction of arrival. 3 |
| LoS | line-of-sight. 6, 7, 11, 13, 15, 18 |
| RF | radio frequency. 1, 2, 4, 10 |
| SINR | signal-to-interference-plus-noise ratio. 3 |
| SNR | signal-to-noise ratio. 2, 4, 5, 7 |
| TDoA | time difference of arrival. 2 |
| TOF | time-of-flight. 1–3, 9, 19 |
| ULA | uniform linear array. 6, 7 |
| UPA | uniform planar array. 1, 3, 5–19 |
References
- Harter, A.; Hopper, A.; Steggles, P.; Ward, A.; Webster, P. The anatomy of a context-aware application. In Proceedings of the 5th Annual ACM/IEEE International Conference on Mobile Computing and Networking, Seattle, WA, USA, 15–19 August 1999; pp. 59–68. [Google Scholar]
- Priyantha, N.B. The Cricket Indoor Location System. Ph.D. Thesis, Massachusetts Institute of Technology, Cambridge, MA, USA, 2005. [Google Scholar]
- Zhao, Y.; Smith, J.R. A battery-free RFID-based indoor acoustic localization platform. In Proceedings of the 2013 IEEE International Conference on RFID, Penang, Malaysia, 30 April–2 May 2013; pp. 110–117. [Google Scholar]
- Cox, B.; De Strycker, L.; Van der Perre, L. Acoustic backscatter: Enabling ultra-low power, precise indoor positioning. In Proceedings of the 2018 Ubiquitous Positioning, Indoor Navigation and Location-Based Services (UPINLBS), Wuhan, China, 22–23 March 2018; pp. 1–6. [Google Scholar]
- Van Schaik, W.; Grooten, M.; Wernaart, T.; Van Der Geld, C. High accuracy acoustic relative humidity measurement in duct flow with air. Sensors 2010, 10, 7421–7433. [Google Scholar] [CrossRef] [PubMed]
- Panda, K.G.; Agrawal, D.; Nshimiyimana, A.; Hossain, A. Effects of environment on accuracy of ultrasonic sensor operates in millimetre range. Perspect. Sci. 2016, 8, 574–576. [Google Scholar] [CrossRef]
- Hazas, M.; Hopper, A. Broadband ultrasonic location systems for improved indoor positioning. IEEE Trans. Mob. Comput. 2006, 5, 536–547. [Google Scholar] [CrossRef]
- Gonzalez, J.R.; Bleakley, C.J. High-precision robust broadband ultrasonic location and orientation estimation. IEEE J. Sel. Top. Signal Process. 2009, 3, 832–844. [Google Scholar] [CrossRef]
- Chung, M.A.; Chou, H.C.; Lin, C.W. Sound Localization Based on Acoustic Source Using Multiple Microphone Array in an Indoor Environment. Electronics 2022, 11, 890. [Google Scholar] [CrossRef]
- Tavakoli, V.M.; Jensen, J.R.; Christensen, M.G.; Benesty, J. A framework for speech enhancement with ad hoc microphone arrays. IEEE/ACM Trans. Audio Speech Lang. Process. 2016, 24, 1038–1051. [Google Scholar] [CrossRef]
- Garcia, E.; Paredes, J.A.; Álvarez, F.J.; Pérez, M.C.; García, J.J. Spreading sequences in active sensing: A review. Signal Process. 2015, 106, 88–105. [Google Scholar] [CrossRef]
- Hazas, M.; Ward, A. A novel broadband ultrasonic location system. In Proceedings of the UbiComp 2002: Ubiquitous Computing: 4th International Conference, Göteborg, Sweden, 29 September–1 October 2002; Proceedings 4. Springer: Berlin/Heidelberg, Germany, 2002; pp. 264–280. [Google Scholar]
- Hazas, M.; Ward, A. A high performance privacy-oriented location system. In Proceedings of the First IEEE International Conference on Pervasive Computing and Communications, 2003, (PerCom 2003), Fort Worth, TX, USA, 26 March 2003; pp. 216–223. [Google Scholar]
- Villadangos, J.M.; Urena, J.; Mazo, M.; Hernandez, A.; Alvarez, F.; Garcia, J.; De Marziani, C.; Alonso, D. Improvement of ultrasonic beacon-based local position system using multi-access techniques. In Proceedings of the IEEE International Workshop on Intelligent Signal Processing, 2005, Faro, Portugal, 1–3 September 2005; pp. 352–357. [Google Scholar]
- Girod, L.; Estrin, D. Robust range estimation using acoustic and multimodal sensing. In Proceedings of the Proceedings 2001 IEEE/RSJ International Conference on Intelligent Robots and Systems. Expanding the Societal Role of Robotics in the the Next Millennium (Cat. No. 01CH37180), Maui, HI, USA, 29 October–3 November 2001; Volume 3, pp. 1312–1320. [Google Scholar]
- Ureña, J.; Hernández, A.; Jiménez, A.; Villadangos, J.M.; Mazo, M.; García, J.; García, J.J.; Álvarez, F.J.; De Marziani, C.; Pérez, M.; et al. Advanced sensorial system for an acoustic LPS. Microprocess. Microsyst. 2007, 31, 393–401. [Google Scholar] [CrossRef]
- Pérez, M.; Ureña, J.; Hernández, A.; De Marziani, C.; Jiménez, A.; Villadangos, J.; Álvarez, F. Ultrasonic beacon-based local positioning system using loosely synchronous codes. In Proceedings of the 2007 IEEE International Symposium on Intelligent Signal Processing, Alcala de Henares, Spain, 3–5 October 2007; pp. 1–6. [Google Scholar]
- Rubio, M.C.P.P.; Serrano, R.S.; Urena, J.U.U.; Alonso, Á.H.; De Marziani, C.; Franco, F.J.Á.Á. Correlator implementation for orthogonal CSS used in an ultrasonic LPS. IEEE Sens. J. 2012, 12, 2807–2816. [Google Scholar] [CrossRef]
- AlSharif, M.H.; Saad, M.; Siala, M.; Ballal, T.; Boujemaa, H.; Al-Naffouri, T.Y. Zadoff-Chu coded ultrasonic signal for accurate range estimation. In Proceedings of the 2017 25th European Signal Processing Conference (EUSIPCO), Kos, Greece, 28 August–2 September 2017; pp. 1250–1254. [Google Scholar]
- Murano, S.; Pérez-Rubio, C.; Gualda, D.; Álvarez, F.J.; Aguilera, T.; De Marziani, C. Evaluation of Zadoff–Chu, Kasami, and chirp-based encoding schemes for acoustic local positioning systems. IEEE Trans. Instrum. Meas. 2019, 69, 5356–5368. [Google Scholar] [CrossRef]
- Zhang, Z.; Yu, Y.; Chen, L.; Chen, R. Hybrid Indoor Positioning System Based on Acoustic Ranging and Wi-Fi Fingerprinting under NLOS Environments. Remote Sens. 2023, 15, 3520. [Google Scholar] [CrossRef]
- Fischer, G.; Bordoy, J.; Schott, D.J.; Xiong, W.; Gabbrielli, A.; Höflinger, F.; Fischer, K.; Schindelhauer, C.; Rupitsch, S.J. Multimodal indoor localization: Fusion possibilities of ultrasonic and bluetooth low-energy data. IEEE Sens. J. 2022, 22, 5857–5868. [Google Scholar] [CrossRef]
- Zhang, T.; Zhang, H.; Li, X.; Chen, J.; Lam, T.L.; Vijayakumar, S. AcousticFusion: Fusing sound source localization to visual SLAM in dynamic environments. In Proceedings of the 2021 IEEE/RSJ International Conference on Intelligent Robots and Systems (IROS), Prague, Czech Republic, 27 September–1 October 2021; pp. 6868–6875. [Google Scholar]
- Liaquat, M.U.; Munawar, H.S.; Rahman, A.; Qadir, Z.; Kouzani, A.Z.; Mahmud, M.P. Localization of sound sources: A systematic review. Energies 2021, 14, 3910. [Google Scholar] [CrossRef]
- Rixon Fuchs, L.; Maki, A.; Gällström, A. Optimization Method for Wide Beam Sonar Transmit Beamforming. Sensors 2022, 22, 7526. [Google Scholar] [CrossRef]
- Allevato, G.; Hinrichs, J.; Rutsch, M.; Adler, J.P.; Jäger, A.; Pesavento, M.; Kupnik, M. Real-time 3-D imaging using an air-coupled ultrasonic phased-array. IEEE Trans. Ultrason. Ferroelectr. Freq. Control. 2020, 68, 796–806. [Google Scholar] [CrossRef]
- Maier, T.; Allevato, G.; Rutsch, M.; Kupnik, M. Single Microcontroller Air-coupled Waveguided Ultrasonic Sonar System. In Proceedings of the 2021 IEEE Sensors, Sydney, Australia, 31 October–3 November 2021; pp. 1–4. [Google Scholar]
- Zhang, W.; Samarasinghe, P.N.; Chen, H.; Abhayapala, T.D. Surround by sound: A review of spatial audio recording and reproduction. Appl. Sci. 2017, 7, 532. [Google Scholar] [CrossRef]
- Simón Gálvez, M.F.; Takeuchi, T.; Fazi, F.M. Low-complexity, listener’s position-adaptive binaural reproduction over a loudspeaker array. Acta Acust. United Acust. 2017, 103, 847–857. [Google Scholar] [CrossRef]
- Cox, B.; Van der Perre, L.; Wielandt, S.; Ottoy, G.; De Strycker, L. High precision hybrid RF and ultrasonic chirp-based ranging for low-power IoT nodes. EURASIP J. Wirel. Commun. Netw. 2020, 2020, 187. [Google Scholar] [CrossRef]
- Cox, B.; Buyle, C.; Van der Perre, L.; De Strycker, L. Towards Centimetre Accurate and Low-Power, Hybrid Radio-Acoustic 3D Indoor Positioning: An Experimental Journey. In Proceedings of the IPIN-WiP, Lloret de Mar, Spain, 29 November–2 December 2021. [Google Scholar]
- Gunjal, M.M.; Raj, A.B. Improved direction of arrival estimation using modified MUSIC algorithm. In Proceedings of the 2020 5th International Conference on Communication and Electronics Systems (ICCES), Coimbatore, India, 10–12 June 2020; pp. 249–254. [Google Scholar]
- Lazik, P.; Rowe, A. Indoor pseudo-ranging of mobile devices using ultrasonic chirps. In Proceedings of the 10th ACM Conference on Embedded Network Sensor Systems, New York, NY, USA, 6–9 November 2012; pp. 99–112. [Google Scholar]
- Buyle, C.; De Strycker, L.; Van der Perre, L. An Accurately Steerable, Compact Phased Array System for Narrowbeam Ultrasound Transmission. IEEE Sens. J. 2022, 22, 15385–15392. [Google Scholar] [CrossRef]
- Scheibler, R.; Bezzam, E.; Dokmanić, I. Pyroomacoustics: A python package for audio room simulation and array processing algorithms. In Proceedings of the 2018 IEEE International Conference on Acoustics, Speech and Signal Processing (ICASSP), Calgary, AB, Canada, 15–20 April 2018; pp. 351–355. [Google Scholar]
- Akustik. Absorption Coefficients. Available online: http://www.acoustic.ua/st/web_absorption_data_eng.pdf (accessed on 30 August 2023).
- Bass, H.E.; Sutherland, L.C.; Zuckerwar, A.J.; Blackstock, D.T.; Hester, D. Atmospheric absorption of sound: Further developments. J. Acoust. Soc. Am. 1995, 97, 680–683. [Google Scholar] [CrossRef]
- Hayward, S.; van Lopik, K.; Hinde, C.; West, A. A survey of indoor location technologies, techniques and applications in industry. Internet Things 2022, 20, 100608. [Google Scholar] [CrossRef]
- Wang, J.; Zhang, M.; Wang, Z.; Sun, S.; Ning, Y.; Yang, X.; Pang, W. An Ultra-Low Power, Small Size and High Precision Indoor Localization System Based on MEMS Ultrasonic Transducer Chips. IEEE Trans. Ultrason. Ferroelectr. Freq. Control 2022, 69, 1469–1477. [Google Scholar] [CrossRef] [PubMed]
- Buyle, C.; Cox, B.; Van der Perre, L.; De Strycker, L. A Multi-band Solution for Interacting with Energy-Neutral Devices. In Proceedings of the 2021 55th Asilomar Conference on Signals, Systems, and Computers, Pacific Grove, CA, USA, 31 October–3 November 2021; pp. 329–333. [Google Scholar]










| Room 1 | Room 2 | Room 3 | |
|---|---|---|---|
| Length (L) () | 6.8 | 8.0 | 9.0 |
| Width (W) () | 6.69 | 5.19 | 3.16 |
| Height (H) () | 3.0 | 3.0 | 3.0 |
| Configuation | 10 × 2 | 8 × 2 | 6 × 2 | 6 × 3 | 4 × 3 | 4 × 4 | 3 × 4 | 3 × 6 | 2 × 6 | 2 × 8 | 2 × 10 |
| Array configuration factor | −10 | −8 | −6 | −6 | −4 | 0 | 4 | 6 | 6 | 8 | 10 |
| Variable | Signal/Value |
|---|---|
| Source signal | Linear chirp from 32 to 18 over 30 |
| Wall energy absorption | 0.3 |
| Room reflection order | 5 |
| Air-absorption coefficient | / |
| Microphone reception window | 1 |
| Simulation sample rate | 1 |
| Microphone sample rate | 400 |
Disclaimer/Publisher’s Note: The statements, opinions and data contained in all publications are solely those of the individual author(s) and contributor(s) and not of MDPI and/or the editor(s). MDPI and/or the editor(s) disclaim responsibility for any injury to people or property resulting from any ideas, methods, instructions or products referred to in the content. |
© 2023 by the authors. Licensee MDPI, Basel, Switzerland. This article is an open access article distributed under the terms and conditions of the Creative Commons Attribution (CC BY) license (https://creativecommons.org/licenses/by/4.0/).
Share and Cite
Buyle, C.; De Strycker, L.; Van der Perre, L. Accurate and Low-Power Ultrasound–Radiofrequency (RF) Indoor Ranging Using MEMS Loudspeaker Arrays. Sensors 2023, 23, 7997. https://doi.org/10.3390/s23187997
Buyle C, De Strycker L, Van der Perre L. Accurate and Low-Power Ultrasound–Radiofrequency (RF) Indoor Ranging Using MEMS Loudspeaker Arrays. Sensors. 2023; 23(18):7997. https://doi.org/10.3390/s23187997
Chicago/Turabian StyleBuyle, Chesney, Lieven De Strycker, and Liesbet Van der Perre. 2023. "Accurate and Low-Power Ultrasound–Radiofrequency (RF) Indoor Ranging Using MEMS Loudspeaker Arrays" Sensors 23, no. 18: 7997. https://doi.org/10.3390/s23187997
APA StyleBuyle, C., De Strycker, L., & Van der Perre, L. (2023). Accurate and Low-Power Ultrasound–Radiofrequency (RF) Indoor Ranging Using MEMS Loudspeaker Arrays. Sensors, 23(18), 7997. https://doi.org/10.3390/s23187997

