Electrochemical Sensing Platform Based on Carbon Dots for the Simultaneous Determination of Theophylline and Caffeine in Tea
Abstract
:1. Introduction
2. Materials and Methods
2.1. Chemicals and Solvents
2.2. Tea and Drug Samples
2.3. Carbon Dots Electrosynthesis and Characterization
2.4. Electrochemical Measurements
2.5. Electrochemical Analysis
2.6. HPLC-ESI-MS in SIR Mode Analysis
2.7. Statistical Analysis
3. Results and Discussion
3.1. CDs Electrosynthesis and Characterization
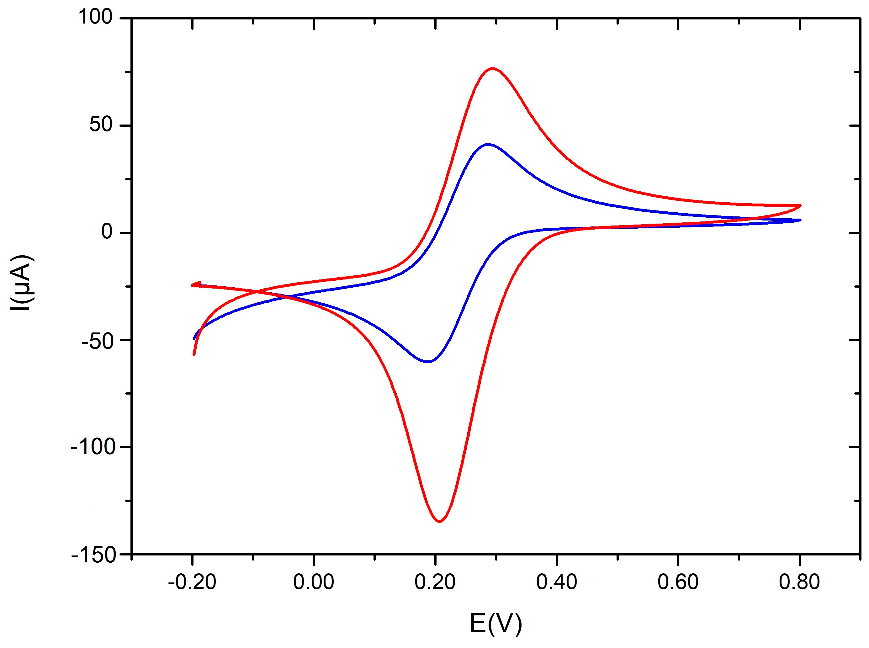
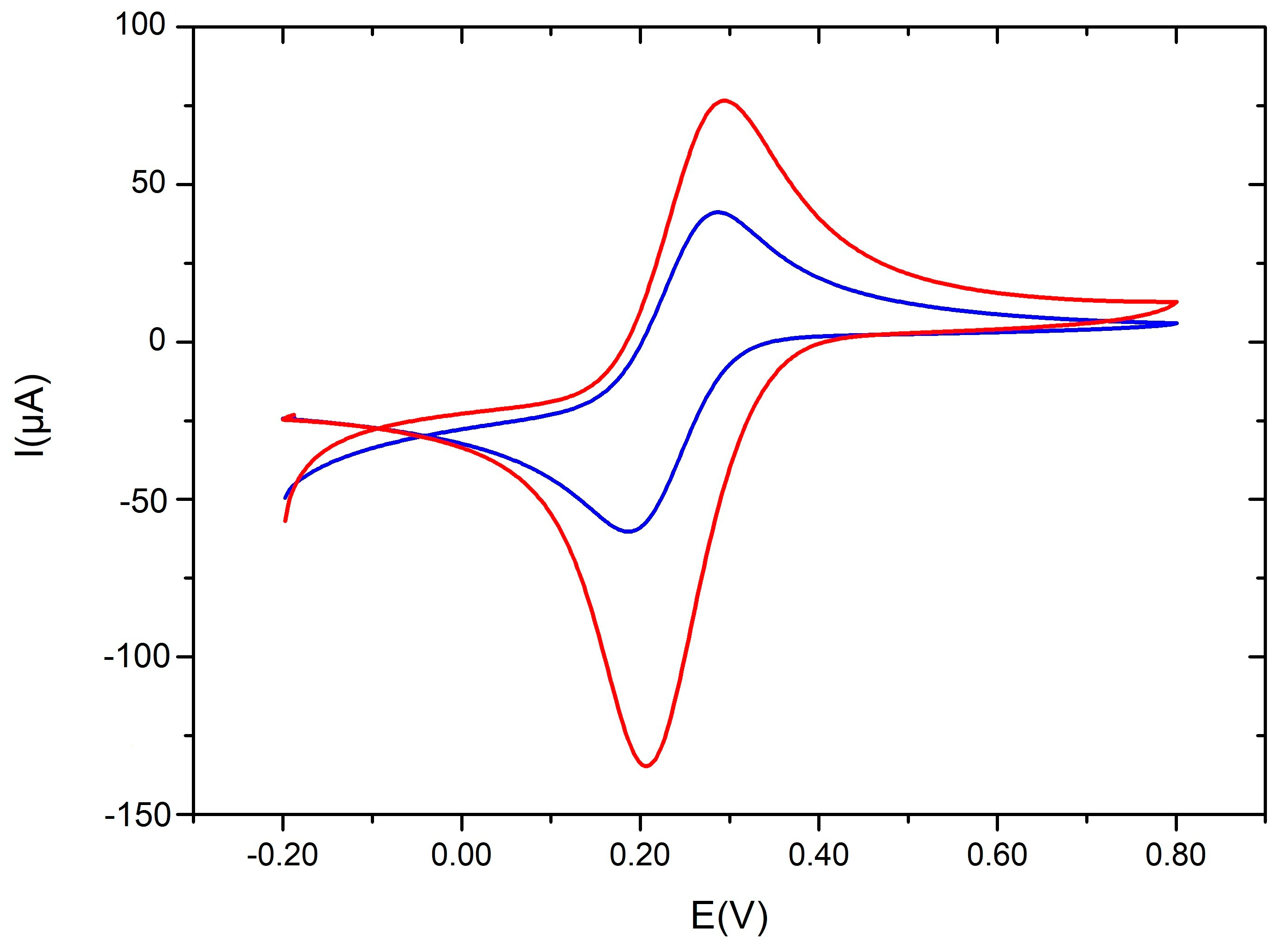
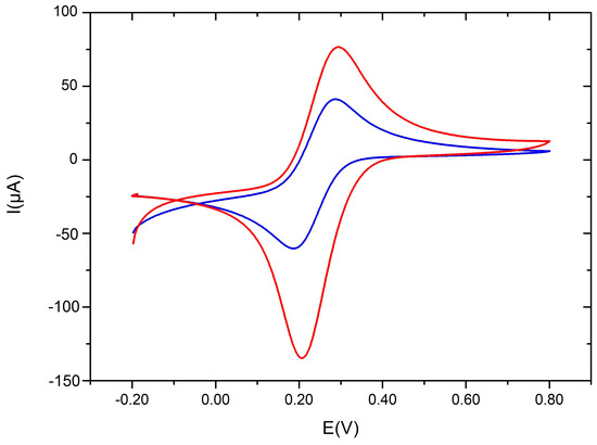
3.2. Electrochemical Characterization of CDs-Modified Electrodes
3.3. Electrochemical Behavior of CAF and THEO at CDs-CS-Modified Electrodes
3.4. Analysis of CAF and THEO by DPV at CDs-CS-GCE
3.5. Simultaneous Determination of CAF and THEO by HPLC-ESI-MS in SIR Mode
3.6. Analysis of Real Samples
4. Conclusions
Author Contributions
Funding
Institutional Review Board Statement
Informed Consent Statement
Data Availability Statement
Acknowledgments
Conflicts of Interest
References
- Shao, J.; Wang, C.; Shen, Y.; Shi, J.; Ding, D. Electrochemical Sensors and Biosensors for the Analysis of Tea Components: A Bibliometric Review. Front. Chem. 2022, 9, 818461. [Google Scholar] [CrossRef] [PubMed]
- Das, C.; Banerjee, A.; Saha, M.; Chatterjee, S. A Review of the Health Benefits of Tea: Implications of the Biochemical Properties of the Bioactive Constituents. Curr. Res. Nutr. Food Sci. J. 2022, 10, 458–475. [Google Scholar] [CrossRef]
- Firuzi, O.; Lacanna, A.; Petrucci, R.; Marrosu, G.; Saso, L. Evaluation of the antioxidant activity of flavonoids by “ferric reducing antioxidant power” assay and cyclic voltammetry. Biochim. Biophys. Acta (BBA)—Gen. Subj. 2005, 1721, 174–184. [Google Scholar] [CrossRef] [PubMed]
- Monteiro, J.; Alves, M.G.; Oliveira, P.F.; Silva, B.M. Pharmacological potential of methylxanthines: Retrospective analysis and future expectations. Crit. Rev. Food Sci. Nutr. 2019, 59, 2597–2625. [Google Scholar] [CrossRef] [PubMed]
- Petrucci, R.; Zollo, G.; Curulli, A.; Marrosu, G. A new insight into the oxidative mechanism of caffeine and related methylxanthines in aprotic medium: May caffeine be really considered as an antioxidant? Biochim. Biophys. Acta (BBA)—Gen. Subj. 2018, 1862, 1781–1789. [Google Scholar] [CrossRef] [PubMed]
- Tasić, Z.; Mihajlović, M.B.P.; Simonović, A.T.; Radovanović, M.B.; Antonijević, M.M. Recent Advances in Electrochemical Sensors for Caffeine Determination. Sensors 2022, 22, 9185. [Google Scholar] [CrossRef] [PubMed]
- Crapnell, R.D.; Banks, C.E. Electroanalytical overview: The electroanalytical detection of theophylline. Talanta Open 2021, 3, 100037. [Google Scholar] [CrossRef]
- Faudone, G.; Arifi, S.; Merk, D. The Medicinal Chemistry of Caffeine. J. Med. Chem. 2021, 64, 7156–7178. [Google Scholar] [CrossRef] [PubMed]
- Barnes, P.J. Theophylline. Pharmaceuticals 2010, 3, 725–747. [Google Scholar] [CrossRef] [PubMed]
- Tooraj, A.; Payman, H. Preconcentration and GC–MS determination of caffeine in tea and coffee using homogeneous liquid–liquid microextraction based on solvents volume ratio alteration. J. Chromatogr. B 2018, 1092, 252–257. [Google Scholar]
- Chiarotto, I.; Mattiello, L.; Pandolfi, F.; Rocco, D.; Feroci, M.; Petrucci, R. Electrochemical Oxidation of Theophylline in Organic Solvents: HPLC-PDA-ESI-MS/MS Analysis of the Oxidation Products. ChemElectroChem 2019, 6, 4511–4521. [Google Scholar] [CrossRef]
- Lopez-Sanchez, R.d.C.; Lara-Diaz, V.J.; Aranda-Gutierrez, A.; Martinez-Cardona, J.A.; Hernandez, J.A. HPLC Method for Quantification of Caffeine and Its Three Major Metabolites in Human Plasma Using Fetal Bovine Serum Matrix to Evaluate Prenatal Drug Exposure. J. Anal. Methods Chem. 2018, 2018, 2085059. [Google Scholar] [CrossRef]
- Gañán, J.; Martínez-García, G.; Morante-Zarcero, S.; Pérez-Quintanilla, D.; Sierra, I. Nanomaterials-modified electrochemical sensors for sensitive determination of alkaloids: Recent trends in the application to biological, pharmaceutical and agri-food samples. Microchem. J. 2023, 184, 108136. [Google Scholar] [CrossRef]
- Hassanvand, Z.; Jalali, F.; Nazari, M.; Parnianchi, F.; Santoro, C. Carbon Nanodots in Electrochemical Sensors and Biosensors: A Review. ChemElectroChem 2021, 8, 15–35. [Google Scholar] [CrossRef]
- Rocco, D.; Moldoveanu, V.G.; Feroci, M.; Bortolami, M.; Vetica, F. Electrochemical Synthesis of Carbon Quantum Dots. ChemElectroChem 2023, 10, e202201104. [Google Scholar] [CrossRef] [PubMed]
- Pandey, R.R.; Chusuei, C.C. Carbon Nanotubes, Graphene, and Carbon Dots as Electrochemical Biosensing Composites. Molecules 2021, 26, 6674. [Google Scholar] [CrossRef]
- Bortolami, M.; Bogles, I.I.; Bombelli, C.; Pandolfi, F.; Feroci, M.; Vetica, F. Electrochemical Bottom-Up Synthesis of Chiral Carbon Dots from L-Proline and Their Application as Nano-Organocatalysts in a Stereoselective Aldol Reaction. Molecules 2022, 27, 5150. [Google Scholar] [CrossRef]
- Petrucci, R.; Chiarotto, I.; Mattiello, L.; Passeri, D.; Rossi, M.; Zollo, G.; Feroci, M. Graphene oxide: A smart (starting) material for natural methylxanthines adsorption and detection. Molecules 2019, 24, 4247. [Google Scholar] [CrossRef] [PubMed]
- Baek, G.-H.; Yang, S.-W.; Yun, C.-I.; Lee, J.-G.; Kim, Y.-J. Determination of methylxanthine contents and risk characterisation for various types of tea in Korea. Food Control 2022, 132, 108543. [Google Scholar] [CrossRef]
- Deng, J.; Lu, Q.; Mi, N.; Li, H.; Liu, M.; Xu, M.; Tan, L.; Xie, Q.; Zhang, Y.; Yao, S. Electrochemical Synthesis of Carbon Nanodots Directly from Alcohols. Chem. Eur. J. 2014, 20, 4993–4999. [Google Scholar] [CrossRef]
- Xiao, Q.; Lu, S.; Huang, C.; Su, W.; Huang, S. Novel N-Doped Carbon Dots/ß-Cyclodextrin Nanocomposites for Enantioselective Recognition of Tryptophan Enantiomers. Sensors 2016, 16, 1874. [Google Scholar] [CrossRef] [PubMed]
- Trani, A.; Petrucci, R.; Marrosu, G.; Zane, D.; Curulli, A. Selective Electrochemical Determination of Caffeine at a Gold-Chitosan Nanocomposite Sensor: May Little Change on Nanocomposites Synthesis Affect Selectivity? J. Electroanal. Chem. 2017, 788, 99–106. [Google Scholar] [CrossRef]
- Petrucci, R.; Di Matteo, P.; De Francesco, G.; Mattiello, L.; Perretti, G.; Russo, P. Novel fast identification and determination of free polyphenols in untreated craft beers by HPLC-PDA-ESI-MS/MS in SIR mode. J. Agric. Food Chem. 2020, 68, 7984–7994. [Google Scholar] [CrossRef] [PubMed]
- Bortolami, M.; Di Matteo, P.; Rocco, D.; Feroci, M.; Petrucci, R. Metabolic Profile of Agropyron repens (L.) P. Beauv. Rhizome Herbal Tea by HPLC-PDA-ESI-MS/MS Analysis. Molecules 2022, 27, 4962. [Google Scholar] [CrossRef] [PubMed]
- Di Matteo, P.; Bortolami, M.; Curulli, A.; Feroci, M.; Gullifa, G.; Materazzi, S.; Risoluti, R.; Petrucci, R. Phytochemical Characterization of Malt Spent Grain by Tandem Mass Spectrometry also Coupled with Liquid Chromatography: Bioactive Compounds from Brewery By-Products. Front. Biosci. 2023, 28, 3. [Google Scholar] [CrossRef] [PubMed]
- Di Matteo, P.; Bortolami, M.; Di Virgilio, L.; Petrucci, R. Targeted phenolic profile of radler beers by HPLC-ESI-MS/MS: The added value of hesperidin to beer antioxidants. J. Food Sci. Technol. 2022, 59, 4553–4562. [Google Scholar] [CrossRef] [PubMed]
- Dager, A.; Uchida, T.; Maekawa, T.; Tachibana, M. Synthesis and characterization of Mono-disperse Carbon Quantum Dots from Fennel Seeds: Photoluminescence analysis using Machine Learning. Sci. Rep. 2019, 9, 14004. [Google Scholar] [CrossRef] [PubMed]
- Lou, Y.; Hao, X.; Liao, L.; Zhang, K.; Chen, S.; Li, Z.; Ou, J.; Qin, A.; Li, Z. Recent advances of biomass carbon dots on syntheses, characterization, luminescence mechanism, and sensing applications. Nano Sel. 2021, 2, 1117–1145. [Google Scholar] [CrossRef]
- Wang, B.; Song, H.; Tang, Z.; Yang, B.; Lu, S. Ethanol-derived white emissive carbon dots: The formation process investigation and multi-color/white LEDs preparation. Nano Res. 2022, 15, 942–949. [Google Scholar] [CrossRef]
- Santana, E.R.; Spinelli, A. Electrode modified with graphene quantum dots supported in chitosan for electrochemical methods and non-linear deconvolution of spectra for spectrometric methods: Approaches for simultaneous determination of triclosan and methylparaben. Microchim. Acta 2020, 187, 250. [Google Scholar] [CrossRef] [PubMed]
- Santana, E.R.; Martins, E.C.; Spinelli, A. Electrode modified with nitrogen-doped graphene quantum dots supported in chitosan for triclocarban monitoring. Microchem. J. 2021, 167, 106297. [Google Scholar] [CrossRef]
- Petrucci, R.; Pasquali, M.; Scaramuzzo, F.A.; Curulli, A. Recent Advances in Electrochemical Chitosan-Based Chemosensors and Biosensors: Applications in Food Safety. Chemosensors 2021, 9, 254. [Google Scholar] [CrossRef]
- Uskoković, V. A historical review of glassy carbon: Synthesis, structure, properties and applications. Carbon Trends 2021, 5, 100116. [Google Scholar] [CrossRef]
- Tian, R.; Zhi, J. Fabrication and electrochemical properties of boron-doped diamond film–gold nanoparticle array hybrid electrode. Electrochem. Commun. 2007, 9, 1120–1126. [Google Scholar] [CrossRef]
- Bard, A.J.; Faulkner, L.R. Electrochemical Methods Fundamentals and Application; John Wiley & Sons: New York, NY, USA, 2001. [Google Scholar]
- Di Matteo, P.; Bortolami, M.; Feroci, M.; Scarano, V.; Petrucci, R. Electrochemical Transformations of Methylxanthines in Non-Aqueous Medium. ChemElectroChem 2021, 8, 2754–2763. [Google Scholar] [CrossRef]
- Feroci, M.; Bortolami, M.; Chiarotto, I.; Di Matteo, P.; Mattiello, L.; Pandolfi, F.; Rocco, D.; Petrucci, R. An Insight into the Reactivity of the Electrogenerated Radical Cation of Caffeine. Electrochem 2020, 1, 44–55. [Google Scholar] [CrossRef]
- van der Merwe, J.; Steenekamp, J.; Steyn, D.; Hamman, J. The Role of Functional Excipients in Solid Oral Dosage Forms to Overcome Poor Drug Dissolutionand Bioavailability. Pharmaceutics 2020, 12, 393. [Google Scholar] [CrossRef]
- Zhang, R.; Tan, Z.-C.; Huang, K.-C.; Wen, Y.; Li, X.-Y.; Zhao, J.-L.; Liu, C.-L. A vortex-assisted dispersive liquid-liquid microextraction followed by uplc-ms/ms for simultaneous determination of pesticides and aflatoxins in Herbal Tea. Molecules 2019, 24, 1029. [Google Scholar] [CrossRef] [PubMed]
- Tyszczuk-Rotkoz, K.; Szwagierek, A. Green Electrochemical Sensor for Caffeine Determination in EnvironmentalWater Samples: The Bismuth Film Screen-Printed Carbon Electrode. J. Electrochem. Soc. 2017, 164, B342–B348. [Google Scholar] [CrossRef]
- Lezi, N.; Economopoulos, S.; Prodromidis, M.; Economou, A.; Tagmatarchis, N. Fabrication of a “Green” and Low–Cost Screen–Printed Graphene Sensor and Its Application to the Determination of Caffeine by Adsorptive Stripping Voltammetry. Int. J. Electrochem. Sci. 2017, 12, 6054–6067. [Google Scholar] [CrossRef]
- Zhang, G.; Fu, H.; Zou, D.; Xiao, R.; Liu, J.; Li, S. Electrochemical Determination of Caffeine in Tea Using a Polydopamine-Gold Nanocomposite. Int. J. Electrochem. Sci. 2017, 12, 11465–11472. [Google Scholar] [CrossRef]
- Mukdasai, K.; Mukdasai, S. The Fabrication of in Situ Triton X-100 on Multi-Walled Carbon Nanotubes Modified Gold Electrode for Sensitive Determination of Caffeine. Int. J. Electrochem. Sci. 2018, 13, 58–70. [Google Scholar] [CrossRef]
- Azab, S.M.; Shehata, M.; Fekry, A.M. A novel electrochemical analysis of the legal psychoactive drug caffeine using a zeolite/MWCNT modified carbon paste sensor. New J. Chem. 2019, 43, 15359–15367. [Google Scholar] [CrossRef]
- Das, D.; Chatterjee, T.N.; Roy, R.B.; Tudu, B.; Hazarika, A.K.; Sabhapondit, S.; Bandyopadhyay, R. Titanium Oxide Nanocubes Embedded Molecularly Imprinted Polymer-Based Electrode for Selective Detection of Caffeine in Green Tea. IEEE Sensors J. 2020, 20, 6240–6247. [Google Scholar] [CrossRef]
- Qiao, J.; Zhang, L.; Gao, S.; Li, N. Facile Fabrication of Graphene-Supported Pt Electrochemical Sensor for Determination of Caffeine. Appl. Biochem. Biotechnol. 2020, 190, 529–539. [Google Scholar] [CrossRef]
- Fekry, A.; Shehata, M.; Azab, S.; Walcarius, A. Voltammetric detection of caffeine in pharmacological and beverages samples based on simple nano-Co (II, III) oxide modified carbon paste electrode in aqueous and micellar media. Sensors Actuators B Chem. 2020, 302, 127172. [Google Scholar] [CrossRef]
- Monteiro, M.K.S.; Da Silva, D.R.; Quiroz, M.A.; Vilar, V.J.P.; Martínez-Huitle, C.A.; Dos Santos, E.V. Applicability of Cork as Novel Modifiers to Develop Electrochemical Sensor for Caffeine Determination. Materials 2021, 14, 37. [Google Scholar] [CrossRef] [PubMed]
- Kumar, R.; Qadir, G.; Rajar, K.; Balouch, A.; Ibupoto, Z.H.; Parkash, A. Voltammetric detection of caffeine content in different tea stuffs by using Co3O4/GCE-Nafion electrode. J. Iranian Chem. Soc. 2021, 18, 701–708. [Google Scholar] [CrossRef]
- Fitoz, A.; Yazan, Z. Electrochemical sensing of caffeine in real-life samples and its interaction with calf thymus DNA. Chem. Pap. 2022, 77, 1619–1630. [Google Scholar] [CrossRef]
- Madhuvilakku, R.; Yen, Y.-K. Self-affinity of AuNPs on polyethyleneimine (PEI) functionalized polypyrrole-derived carbon nanotubes hybrid nanocomposite: A novel interference-free electrochemical sensing platform for caffeine detection. J. Electroanal. Chem. 2022, 924, 116882. [Google Scholar] [CrossRef]
- Sebokolodi, T.I.; Sipuka, D.S.; Tsekeli, T.R.; Nkosi, D.; Arotiba, O.A. An electrochemical sensor for caffeine at a carbon nanofiber modified glassy carbon electrode. J. Food Meas. Charact. 2022, 16, 2536–2544. [Google Scholar] [CrossRef]
- Rezvani, S.A.; Soleymanpour, A. Application of a sensitive electrochemical sensor modified with WO3 nanoparticles for the trace determination of theophylline. Microchem. J. 2019, 149, 104005. [Google Scholar] [CrossRef]
- Chena, T.-W.; Chinnapaiyana, S.; Chen, S.-C.; Mahmoud, A.H.; Elshikhd, M.S.; Ebaid, H.; Yassin, M.T. Facile sonochemical synthesis of rutile-type titanium dioxide microspheres decorated graphene oxide composite for efficient electrochemical sensor. Ultrason. Sonochemistry 2020, 62, 104872. [Google Scholar] [CrossRef] [PubMed]
- Killedar, L.S.; Shanbhag, M.M.; Shetti, N.P.; Malode, S.J.; Veerapur, R.S.; Reddy, K.R. Novel graphene-nanoclay hybrid electrodes for electrochemical determination of theophylline. Microchem. J. 2021, 165, 106115. [Google Scholar] [CrossRef]
- Wang, Z.; An, R.; Dai, Y.; Luo, H. A Simple Strategy for the Simultaneous Determination of Dopamine, Uric Acid, L-Tryptophan and Theophylline Based on a Carbon Dots Modified Electrode. Int. J. Electrochem. Sci. 2021, 16, 210450. [Google Scholar] [CrossRef]
- Nassar, A.M.; Salah, H.; Hashem, N.; Khodari, M.; Assaf, H.F. Electrochemical Sensor Based on CuO Nanoparticles Fabricated From Copper Wire Recycling-loaded Carbon Paste Electrode for Excellent Detection of Theophylline in Pharmaceutical Formulations. Electrocatalysis 2022, 13, 154–164. [Google Scholar] [CrossRef]
- Patil, V.B.; Malode, S.J.; Mangasuli, S.N.; Tuwar, S.M.; Mondal, K.; Shetti, N.P. An Electrochemical Electrode to Detect Theophylline Based on Copper Oxide Nanoparticles Composited with Graphene Oxide. Micromachines 2022, 13, 1166. [Google Scholar] [CrossRef]
- Pang, L.; Jia, X.; Wang, P.; Wang, Y.; Yang, Y.; Liu, H. Bimetallic synergy boost TCPP(Ni)-Co MOF as the high-performance electrochemical sensor for enhanced detection of trace theophylline. Microchem. J. 2022, 183, 107981. [Google Scholar] [CrossRef]
- Guan, Q.; Guo, H.; Xue, R.; Wang, M.; Wu, N.; Cao, Y.; Zhao, X.; Yang, W. Electrochemical sensing platform based on covalent organic framework materials and gold nanoparticles for high sensitivity determination of theophylline and caffeine. Microchim. Acta 2021, 188, 85. [Google Scholar] [CrossRef] [PubMed]
- Zhang, L.; Wang, T.; Fan, X.; Deng, D.; Li, Y.; Yan, X.; Luo, L. Simultaneous Determination of Theophylline and Caffeine Using Poly(L-phenylalanine)-Reduced Graphene Oxide Modified Glassy Carbon Electrode. Int. J. Electrochem. Sci. 2021, 16, 21041. [Google Scholar] [CrossRef]
- Murugan, E.; Dhamodharan, A. Separate and simultaneous determination of vanillin, theophylline and caffeine using molybdenum disulfide embedded polyaniline/graphitic carbon nitrite nanocomposite modified glassy carbon electrode. Diam. Relat. Mater. 2021, 120, 108684. [Google Scholar] [CrossRef]
- Nia, N.A.; Foroughi, M.M.; Jahani, S. Simultaneous determination of theobromine, theophylline, and caffeine using a modified electrode with petal-like MnO2 nanostructure. Talanta 2021, 222, 121563. [Google Scholar] [CrossRef] [PubMed]
- Murugan, E.; Dhamodharan, A. MoS2/PANI/f-MWCNTs ternary nanocomposite modified electrode for selective and concomitant sensing of vanillin, theophylline and caffeine. Diam. Relat. Mater. 2022, 128, 109268. [Google Scholar] [CrossRef]
- Veerapandi, G.; Lavanya, N.; Sekar, C. Ca2CuO3 perovskite nanomaterial for electrochemical sensing of four different analytes in the xanthine derivatives family. Mater. Chem. Phys. 2023, 295, 127076. [Google Scholar] [CrossRef]






| Electrode | Eap (V) | Ecp (V) | Iap (μA) | Icp (μA) | Iap/Icp | ΔEp (V) | ΔIap (%) a | Area (cm2) |
|---|---|---|---|---|---|---|---|---|
| Bare GCE | 0.28 | 0.19 | 56.82 | 53.86 | 1.05 | 0.09 | - | 2.20 × 10−2 |
| CDs-CS/GCE b | 0.29 | 0.21 | 86.73 | 107.60 | 0.81 | 0.08 | 52.63 | 3.40 × 10−2 |
| Bare SPCE 110 | 0.23 | 0.01 | 69.92 | 49.97 | 1.33 | 0.22 | - | 2.71 × 10−2 |
| CDs-CS/SPCE 110 c | 0.17 | 0.06 | 89.98 | 69.46 | 1.30 | 0.11 | 28.70 | 3.51 × 10−2 |
| Bare SPCE 150 | 0.23 | 0.03 | 68.58 | 57.30 | 1.20 | 0.20 | - | 2.70 × 10−2 |
| CDs-CS/SPCE 150 c | 0.18 | 0.06 | 86.92 | 67.81 | 1.30 | 0.12 | 26.90 | 3.41 × 10−2 |
| Electrode | Eap (V) | ΔEap (V) | Iap (μA) | ΔIap (%) a |
|---|---|---|---|---|
| Bare GCE | 1.47 | - | 48.85 | - |
| CDs-CS/GCE b | 1.49 | 0.02 | 73.22 | 50.00 |
| Bare SPCE 110 | 1.23 | - | 71.24 | - |
| CDs-CS/SPCE 110 c | 1.15 | −0.13 | 98.01 | 37.60 |
| Bare SPCE 150 | 1.22 | - | 72.69 | - |
| CDs-CS/SPCE 150 c | 1.20 | −0.02 | 99.12 | 36.40 |
| Electrode | Eap (V) | ΔEap (V) | Iap (μA) | ΔΙap (%) a |
|---|---|---|---|---|
| Bare GCE | 1.26 | - | 94.74 | - |
| CDs-CS/GCE b | 1.25 | −0.01 | 119.63 | 26.30 |
| Bare SPCE 110 | 1.02 | - | 96.18 | - |
| CDs-CS/SPCE 110 c | 0.99 | −0.10 | 106.22 | 10.43 |
| Bare SPCE 150 | 1.09 | - | 105.67 | - |
| CDs-CS/SPCE 150 c | 1.06 | −0.03 | 112.81 | 6.80 |
| Analyte | Linear Equation | R2 | LOD |
|---|---|---|---|
| CAF | Iap = 2.45 + 13,312.61 c | 0.997 | 1 × 10−6 mol L−1 |
| THEO | Iap = 5.45 + 24,051.37 c | 0.990 | 1 × 10−6 mol L−1 |
| Analyte | DPV Response (μA) | ||||
|---|---|---|---|---|---|
| No Interferent | FA | CQA | C | EC | |
| CAF | 65.47 | 64.22 | 64.45 | 64.34 | 65.31 |
| THEO | 69.73 | 68.14 | 69.22 | 69.10 | 69.34 |
| Analyte | Linear Equation | R2 | LOD | LOQ |
|---|---|---|---|---|
| CAF | y = 2287.65x + 15,910.55 | 0.9991 | 43.24 μg L−1 2.23 × 10−7 mol L−1 | 144.12 μg L−1 7.43 × 10−7 mol L−1 |
| THEO | y = 2007.84x + 4644.84 | 0.9995 | 58.83 μg L−1 3.27 × 10−7 mol L−1 | 169.09 μg L−1 9.39 × 10−7 mol L−1 |
| Matrix | Analyte | CDs-CS/GCE (mol L−1 ± SD) | HPLC-ESI-MS (mol L−1 ± SD) |
|---|---|---|---|
| S1 | CAF | 1.40 × 10−4 ± 2.15 × 10−5 a,A | 1.58 × 10−4 ± 7.58 × 10−6 a,A |
| S2 | CAF | 1.60 × 10−4 ± 7.63 × 10−6 a,A | 1.24 × 10−4 ± 2.42 × 10−6 b,B |
| S3 | CAF | nd | 6.06 × 10−6 ± 1.84 × 10−7 |
| S1 | THEO | nd | <LOQ |
| S2 | THEO | nd | <LOQ |
| S3 | THEO | nd | <LOQ |
| S4 | THEO | 1.10 × 10−3 ± 1.56 × 10−4 a | 4.13 × 10−3 ± 1.00 × 10−4 b |
| Electrode | Analyte | Technique | Linearity (mol L−1) | LOD (mol L−1) | Application | Ref. |
|---|---|---|---|---|---|---|
| AuNPs-CS/AuE | CAF | DPV | 2.00 × 10−6–5.00 × 10−2 | 1.00 × 10−6 | Cola beverages, energy drink, teas | [22] |
| BiF/SPCE | CAF | DPV | 1.00 × 10−7–2.00 × 10−5 | 2.7 × 10−8 | River water samples | [40] |
| G/SPCE | CAF | DPAdSV | 1.00 × 10−7–9.00 × 10−7 1.00 × 10−6–1.00 × 10−5 | 2.0 × 10−9 | Beverages, coffee | [41] |
| PDA/AuNPs/GCE | CAF | DPV | up to 7.50 × 10−3 | 7.90 × 10−6 | Tea samples | [42] |
| MWCNTs/AuE | CAF | DPV | 5.8 × 10−7–1.15 × 10−5 | 8.00 × 10−8 | Tea samples | [43] |
| ZMWCNTsMCPE/SDS | CAF | SWV | 1.0 × 10−5–1.0 × 10−4 1.0 × 10−4–5.0 × 10−4 | 7.5 × 10−8 | Black tea, coffee, Nescafe’, Pepsi Cola, energy drink, pharmaceutical tablets | [44] |
| MIP-TiO2 NPs | CAF | DPV | 5.00 × 10−6–1.20 × 10−4 | 6.00 × 10−6 | Green tea | [45] |
| Pt-G/GCE | CAF | DPV | 9.00 × 10−5–3.80 × 10−4 | 1.13 × 10−7 | Teas | [46] |
| NCoMCPE | CAF | DPV | 5.00 × 10−6–6.00 × 10−4 | 1.60 × 10−8 | Energy drink, pharmaceutical tablets | [47] |
| GrRACPE | CAF | DPV | 5.00 × 10−6–1.00 × 10−3 | 2.90 × 10−6 | Pepsi Cola, Coca Cola, energy drink, pharmaceutical tablets | [48] |
| GrRGCPE | CAF | DPV | 5.00 × 10−6–1.00 × 10−3 | 6.10 × 10−6 | Pepsi Cola, Coca Cola, energy drink, pharmaceutical tablets | [48] |
| Co3O4/GCE-Nafion | CAF | SWV | 5.00 × 10−6–2.00 × 10−4 | 2.30 × 10−7 | Teas | [49] |
| Co3O4/GCE-Nafion | CAF | Amperometry | 4.00 × 10−6–5.00 × 10−4 | 9.70 × 10−8 | Teas | [49] |
| bPGE | CAF | DPV | 3.00 × 10−5–1.00 × 10−3 | 8.84 × 10−6 | Cola, energy drink | [50] |
| bPGE | CAF | SWV | 1.00 × 10−5–1.00 × 10−3 | 9.36 × 10−6 | Cola, energy drink | [50] |
| AuNPs@PPy NTs/GCE | CAF | DPV | 5.00 × 10−8–5.00 × 10−4 | 1.42 × 10−8 | Coffee, energy drinks | [51] |
| AuNPs@PPy CNTs/GCE | CAF | DPV | 1.00 × 10−8–1.00 × 10−5 | 2.80 × 10−9 | Coffee, energy drinks | [51] |
| CNFs/GCE | CAF | SWV | 2.50 × 10−5–4.50 × 10−4 | 1.74 × 10−5 | Pharmaceutical tablets | [52] |
| WO3/MWCNT/GCE | THEO | DPAdSV | 2.50 × 10−8–2.60 × 10−6 | 8.00 × 10−9 | Clinical samples, pharmaceutical tablets | [53] |
| TiO2 MPs@GOs/GCE | THEO | Amperometry | 2.00 × 10−8–2.10 × 10−4 | 1.32 × 10−8 | Clinical samples, pharmaceutical tablets | [54] |
| GO-NC/GCE | THEO | SWV | 3.00 × 10−8–5.00 × 10−4 | 3.12 × 10−9 | Clinical samples, pharmaceutical tablets | [55] |
| CDs/GCE | THEO | DPV | 1.00 × 10−5–2.00 × 10−4 | 3.30 × 10−6 | Clinical samples | [56] |
| CuO-NPs/CPE | THEO | ALSV | 4.00 × 10−9–7.00 × 10−8 | 1.20 × 10−9 | Pharmaceutical tablets | [56] |
| CuO-GO/CPE | THEO | DPV | 1.00 × 10−7–3.5 × 10−6 | 8.33 × 10−9 | Clinical samples | [58] |
| Ni-Co MOF/GCE | THEO | DPV | 1.00 × 10−8–1.00 × 10−6 | 3.3 × 10−9 | Black tea | [59] |
| DP-Py COF/AuNPs/GCE | CAF + THEO | DPV | CAF 3.0 × 10−5–6.00 × 10−4 THEO 9.00 × 10−5–2.00 × 10−5 2.00 × 10−7–4.00 × 10−4 | CAF 1.90 × 10−7 THEO 7.60 × 10−8 | Black tea, pharmaceutical tablets | [60] |
| MoS2/PANI@g-C3N4/ GCE | CAF + THEO | DPV | CAF 9.8 × 10−6–1.04 × 10−4 THEO 6.6 × 10−6–9.8 × 10−5 | CAF 6.10 × 10−8 THEO 5.20 × 10−8 | Ice cream, THEO tablets, energy drinks | [62] |
| βH-MnO2-NF/GCE | CAF + THEO | DPV | CAF 1.00 × 10−8–3.20 × 10−4 THEO 1.00 × 10−8–3.20 × 10−4 | CAF 1.01 × 10−8 THEO 5.9 × 10−9 | Chocolate, black tea, coffee powder, THEO tablet | [63] |
| MoS2/PANI/f-MWCNTs/GCE | CAF + THEO | DPV | CAF 5.3 × 10−6–1.25×10−4 THEO 5.3 × 10−6–1.25×10−4 | CAF 5.10 × 10−8 THEO 4.20 × 10−8 | Biscuits, THEO tablets, energy drinks | [64] |
| Ca2CuO3/GCE | CAF + THEO | DPV | CAF 1.75 × 10−6–2.11×10−3 THEO 2.50 × 10−7–2.07×10−3 | CAF 1.72 × 10−6 THEO 1.05 × 10−7 | Clinical samples | [65] |
| CDs/GCE | CAF + THEO | DPV | CAF 1 × 10−5–5 × 10−3 THEO 1 × 10−5–5 × 10−3 mol L−1 | CAF 1.00 × 10−6 THEO 1.00 × 10−6 | Teas, drugs | This work |
Disclaimer/Publisher’s Note: The statements, opinions and data contained in all publications are solely those of the individual author(s) and contributor(s) and not of MDPI and/or the editor(s). MDPI and/or the editor(s) disclaim responsibility for any injury to people or property resulting from any ideas, methods, instructions or products referred to in the content. |
© 2023 by the authors. Licensee MDPI, Basel, Switzerland. This article is an open access article distributed under the terms and conditions of the Creative Commons Attribution (CC BY) license (https://creativecommons.org/licenses/by/4.0/).
Share and Cite
Di Matteo, P.; Trani, A.; Bortolami, M.; Feroci, M.; Petrucci, R.; Curulli, A. Electrochemical Sensing Platform Based on Carbon Dots for the Simultaneous Determination of Theophylline and Caffeine in Tea. Sensors 2023, 23, 7731. https://doi.org/10.3390/s23187731
Di Matteo P, Trani A, Bortolami M, Feroci M, Petrucci R, Curulli A. Electrochemical Sensing Platform Based on Carbon Dots for the Simultaneous Determination of Theophylline and Caffeine in Tea. Sensors. 2023; 23(18):7731. https://doi.org/10.3390/s23187731
Chicago/Turabian StyleDi Matteo, Paola, Alessandro Trani, Martina Bortolami, Marta Feroci, Rita Petrucci, and Antonella Curulli. 2023. "Electrochemical Sensing Platform Based on Carbon Dots for the Simultaneous Determination of Theophylline and Caffeine in Tea" Sensors 23, no. 18: 7731. https://doi.org/10.3390/s23187731
APA StyleDi Matteo, P., Trani, A., Bortolami, M., Feroci, M., Petrucci, R., & Curulli, A. (2023). Electrochemical Sensing Platform Based on Carbon Dots for the Simultaneous Determination of Theophylline and Caffeine in Tea. Sensors, 23(18), 7731. https://doi.org/10.3390/s23187731

