Silicon-Cantilever-Enhanced Single-Fiber Photoacoustic Acetylene Gas Sensor
Abstract
:1. Introduction
2. Design of the Sensing System
2.1. Design of the Single-Fiber Photoacoustic Sensor
2.2. Experimental Setup
3. Experimental Results
3.1. Frequency Response
3.2. Concentration Measurement
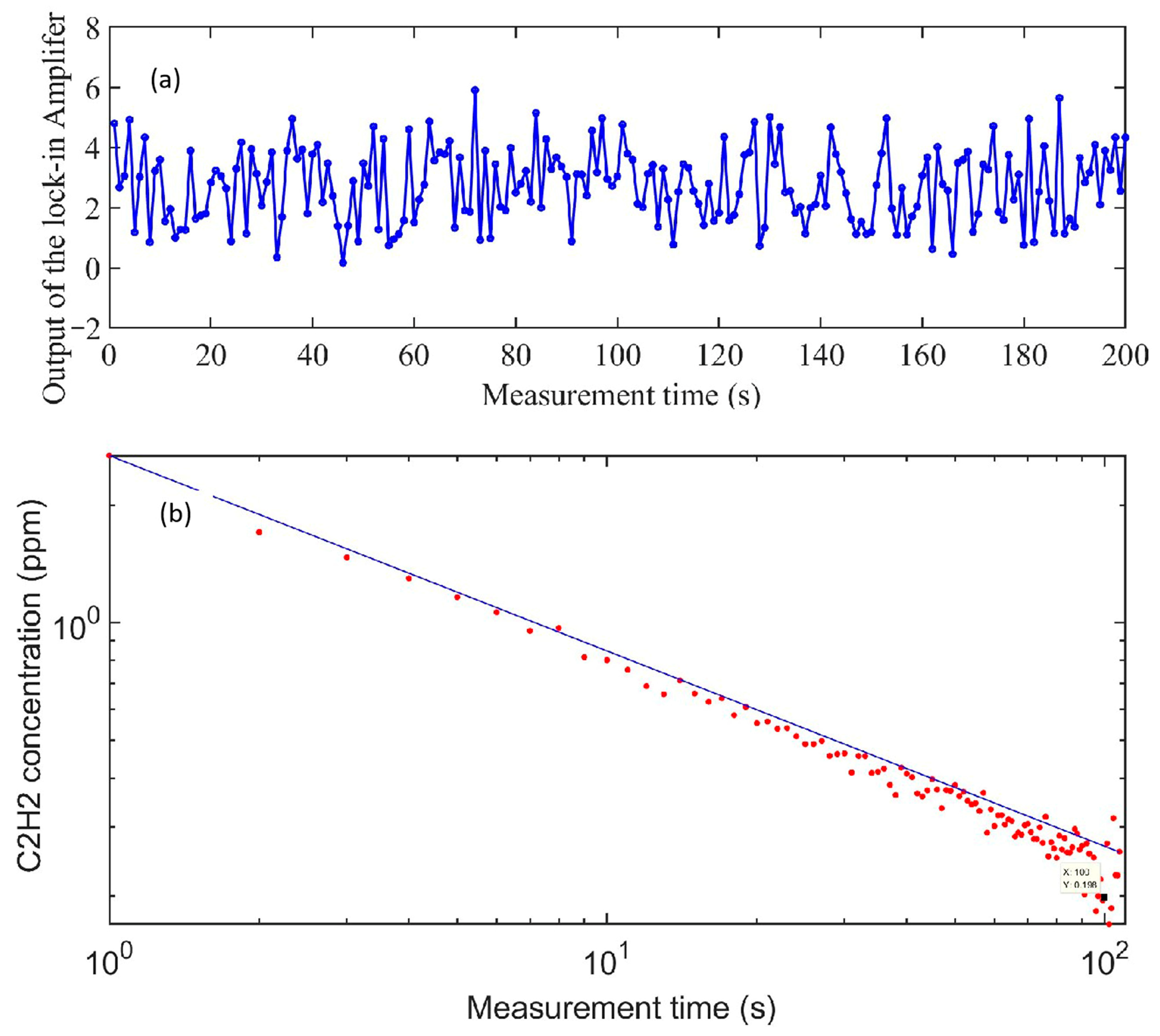
3.3. Detection Limit
4. Conclusions
Author Contributions
Funding
Institutional Review Board Statement
Informed Consent Statement
Data Availability Statement
Acknowledgments
Conflicts of Interest
References
- Qin, W.-Q.; Ma, G.-M.; Zhang, M.; Wang, Y.; Jiang, J.; Zhou, H.; Wang, X.; Yan, C. Quasi-Distributed Vibration Sensing System for Transformers Using a Phase-Sensitive OFDR. IEEE Trans. Ind. Electron. 2022, 69, 10625–10633. [Google Scholar] [CrossRef]
- Yun, Y.; Chen, W.; Wang, Y.; Pan, C. Photoacoustic detection of dissolved gases in transformer oil. Eur. Trans. Electr. Power 2018, 18, 562–576. [Google Scholar] [CrossRef]
- Su, Q.; Mi, C.; Lai, L.L.; Austin, P. A fuzzy dissolved gas analysis method for the diagnosis of multiple incipient faults in a transformer. IEEE Trans. Power Syst. 2000, 15, 593–598. [Google Scholar] [CrossRef]
- Duval, M. A review of faults detectable by gas-in-oil analysis in transformers. IEEE Electr. Insul. Mag. 2002, 18, 8–17. [Google Scholar] [CrossRef]
- Saha, T.K. Review of modern diagnostic techniques for assessing insulation condition in aged transformers. IEEE Trans. Dielectr. Electr. Insul. 2003, 10, 903–917. [Google Scholar] [CrossRef]
- Li, C.; Qi, H.; Zhao, X.; Guo, M.; An, R.; Chen, K. Multi-pass absorption enhanced photoacoustic spectrometer based on combined light sources for dissolved gas analysis in oil. Opt. Lasers Eng. 2022, 159, 107221. [Google Scholar] [CrossRef]
- Zhou, Q.; Tang, C.; Zhu, S.; Chen, W.; Peng, X. Detection of Dissolved Carbon Monoxide in Transformer Oil Using 1.567 μm Diode Laser-Based Photoacoustic Spectroscopy. J. Spectrosc. 2015, 3, 1–7. [Google Scholar] [CrossRef]
- Wu, Z.; Gong, Y.; Yu, Q. Photoacoustic spectroscopy detection and extraction of discharge feature gases in transformer oil based on 1.5μ tunable fiber laser. Infrared Phys. Technol. 2013, 58, 86–90. [Google Scholar] [CrossRef]
- Mao, X.; Zhou, X.; Zhai, L.; Yu, Q. Dissolved Gas-in-Oil Analysis in Transformers Based on Near-Infrared Photoacoustic Spectroscopy. Int. J. Thermophys. 2014, 36, 940–946. [Google Scholar] [CrossRef]
- Chen, W.; Liu, B.; Zhou, H.; Wang, Y.; Wang, C. Diode laser-based photoacoustic spectroscopy detection of acetylene gas and its quantitative analysis. Eur. Trans. Electr. Power 2012, 22, 226–234. [Google Scholar] [CrossRef]
- Wu, H.; Dong, L.; Zheng, H.; Liu, X.; Yin, X.; Ma, W.; Zhang, L.; Yin, W.; Jia, S.; Tittel, F.K. Enhanced near-infrared QEPAS sensor for sub-ppm level H2S detection by means of a fiber amplified 1582nm DFB laser. Sens. Actuators B Chem. 2015, 221, 666–672. [Google Scholar] [CrossRef]
- Zhang, C.; Qiao, S.; Ma, Y. Highly sensitive photoacoustic acetylene detection based on differential photoacoustic cell with retro-reflection-cavity. Photoacoustics 2023, 30, 100467. [Google Scholar] [CrossRef]
- Zha, S.L.; Liu, K.; Tan, T.; Wang, G.S.; Gao, X.M. Application of photoacoustic spectroscopy in multi-component gas concentration detection. Acta Photonica Sin. 2017, 46, 0612002. [Google Scholar] [CrossRef]
- Jiang, J.; Wang, Z.; Ma, G.; Song, H.; Zhang, C. Direct detection of acetylene dissolved in transformer oil using spectral absorption. Optik 2019, 176, 214–220. [Google Scholar] [CrossRef]
- Chen, K.; Wang, N.; Guo, M.; Zhao, X.Y.; Qi, H.C.; Li, C.X.; Zhang, G.Y.; Xu, L. Detection of SF6 gas decomposition component H2S based on fiber-optic photoacoustic sensing. Sens. Actuators B Chem. 2023, 378, 133174. [Google Scholar] [CrossRef]
- Qi, H.; Xu, Y.; Yang, L.; Zhao, X.; Li, C.; Guo, M.; Chen, K. Detection of gaseous halocarbon refrigerants and extinguishing agent based on photoacoustic spectroscopy. Sens. Actuators B Chem. 2023, 394, 134337. [Google Scholar] [CrossRef]
- Zhang, B.; Jia, Y.J.; Zhao, B.L.; Zhu, X.S.; Shi, Y.W. Highly sensitive photoacoustic gas sensor with micro-embedded acoustic resonator for gas leakage detection. Opt. Lett. 2023, 48, 4201–4204. [Google Scholar] [CrossRef] [PubMed]
- Chen, K.; Yu, Q.; Gong, Z.; Guo, M.; Qu, C. Ultrahigh sensitive fiber-optic Fabry-Perot cantilever enhanced resonant photoacoustic spectroscopy. Sens. Actuators B Chem. 2018, 268, 205–209. [Google Scholar] [CrossRef]
- Zhang, L.; Jiang, Y.; Gao, H.; Jia, J.; Cui, Y.; Wang, S.; Hu, J. Simultaneous Measurements of Temperature and Pressure with a Dual-Cavity Fabry–Perot Sensor. IEEE Photonics Technol. Lett. 2019, 31, 106–109. [Google Scholar] [CrossRef]
- Zhao, X.; Qi, H.; Xu, Y.; Li, C.; Guo, M.; Zhao, J.; Cui, D.; Chen, K. Dynamic detection of ppb-level SO2 based on differential photoacoustic cell coupled with UV-LED. Opt. Lett. 2023, 48, 4558–4561. [Google Scholar] [CrossRef]
- Zhao, X.; Guo, M.; Cui, D.; Li, C.; Qi, H.; Chen, K.; Ma, F.; Huang, J.; Zhang, G.; Zhao, J. Multi-pass Differential Photoacoustic Sensor for Real-Time Measurement of SF6 Decomposition Component H2S at the ppb Level. Anal. Chem. 2023, 95, 8214–8222. [Google Scholar] [CrossRef]
- Sharma, R.C.; Kumar, S.; Gautam, S.; Gupta, S.; Srivastava, H.B. Photoacoustic sensor for trace detection of post-blast explosive and hazardous molecules. Sens. Actuators B Chem. 2017, 243, 59–63. [Google Scholar] [CrossRef]
- Zhang, W.; Wu, Z.; Yu, Q. Photoacoustic spectroscopy for fast and sensitive ammonia detection. Chin. Opt. Lett. 2007, 5, 677–679. Available online: https://opg.optica.org/col/abstract.cfm?URI=col-5-11-677 (accessed on 14 May 2007).
- Alster, M. Improved calculation of resonant frequencies of Helmholtz resonators. J. Sound Vib. 1972, 24, 63–85. [Google Scholar] [CrossRef]
- Li, Z.; Liu, J.; Si, G.; Ning, Z.; Fang, Y. Design of a high-sensitivity differential Helmholtz photoacoustic cell and its application in methane detection. Opt. Express 2022, 30, 28984–28996. [Google Scholar] [CrossRef] [PubMed]
- Zhao, X.; Chen, K.; Cui, D.; Guo, M.; Li, C.; Qi, H.; Zhang, G.; Gong, Z.; Zhou, Z.; Peng, W. Ultrahigh sensitive photoacoustic gas detector based on differential multi-pass cell. Sens. Actuators B Chem. 2022, 368, 132124. [Google Scholar] [CrossRef]
- Zhang, C.; Qiao, S.; He, Y.; Zhou, S.; Qi, L.; Ma, Y. Differential quartz-enhanced photoacoustic spectroscopy. Appl. Phys. Lett. 2023, 122, 241103. [Google Scholar] [CrossRef]
- Bonilla-Manrique, O.E.; Moser, H.; Martín-Mateos, P.; Lendl, B.; Ruiz-Llata, M. Hydrogen sulfide detection in the midinfrared using a 3D-printed resonant gas cell. J. Sens. 2019, 2019, 6437431. [Google Scholar] [CrossRef]
- Dewey, C.F., Jr.; Kamm, R.D.; Hackett, C.E. Acoustic amplifier for detection of atmospheric pollutants. Appl. Phys. Lett. 1973, 23, 633–635. [Google Scholar] [CrossRef]
- Sampaolo, A.; Patimisco, P.; Giglio, M.; Zifarelli, A.; Wu, H.; Dong, L.; Spagnolo, V. Quartz-enhanced photoacoustic spectroscopy for multi-gas detection: A review. Anal. Chim. Acta 2022, 1202, 338894. [Google Scholar] [CrossRef]
- Wu, H.; Dong, L.; Zheng, H.; Yu, Y.; Ma, W.; Zhang, L.; Yin, W.; Xiao, L.; Jia, S.; Tittel, F.K. Beat frequency quartz-enhanced photoacoustic spectroscopy for fast and calibration-free continuous trace-gas monitoring. Nat. Commun. 2017, 8, 15331. [Google Scholar] [CrossRef]
- Guo, M.; Chen, K.; Yang, B.; Zhang, G.; Zhao, X.; Li, C. Miniaturized anti-interference cantilever-enhanced fiber-optic photoacoustic methane sensor. Sens. Actuators B Chem. 2022, 370, 132446. [Google Scholar] [CrossRef]
- Chen, K.; Guo, M.; Yang, B.; Jin, F.; Wang, G.; Ma, F.; Li, C.; Zhang, B.; Deng, H.; Gong, Z. Highly Sensitive Optical Fiber Photoacoustic Sensor for In Situ Detection of Dissolved Gas in Oil. IEEE Trans. Instrum. Meas. 2021, 70, 1–8. [Google Scholar] [CrossRef]
- Chen, K.; Yu, Z.; Yu, Q.; Guo, M.; Zhao, Z.; Qu, C.; Gong, Z.; Yang, Y. Fast demodulated white-light interferometry-based fiber-optic Fabry-Perot cantilever microphone. Opt. Lett. 2018, 43, 3417–3420. [Google Scholar] [CrossRef] [PubMed]
- Lang, Z.; Qiao, S.; Ma, Y. Fabry–Perot-based phase demodulation of heterodyne light-induced thermoelastic spectroscopy. Light Adv. Manuf. 2023, 4, 23. [Google Scholar] [CrossRef]
- Zhou, S.; Slaman, M.; Iannuzzi, D. Demonstration of a highly sensitive photoacoustic spectrometer based on a miniaturized all-optical detecting sensor. Opt. Express 2017, 25, 17541–17548. [Google Scholar] [CrossRef]
- Tan, Y.; Jin, W.; Yang, F.; Jiang, Y.; Ho, H.L. Cavity-Enhanced Photothermal Gas Detection with a Hollow Fiber Fabry-Perot Absorption Cell. J. Light. Technol. 2019, 37, 4222–4228. [Google Scholar] [CrossRef]
- Wang, G.; Fu, D.; Yuan, S.; Li, C.; Han, X.; Du, J.; Du, F.; Chen, K. Rapid detection of dissolved acetylene in oil based on T-type photoacoustic cell. Microw. Opt. Technol. Lett. 2023, 36, 737635. [Google Scholar] [CrossRef]
- Li, C.; Guo, M.; Zhang, B.; Li, C.; Yang, B.; Chen, K. Miniature single-fiber photoacoustic sensor for methane gas leakage detection. Opt. Lasers Eng. 2022, 149, 106792. [Google Scholar] [CrossRef]
- Kuusela, T.; Kauppinen, J. Photoacoustic Gas Analysis Using Interferometric Cantilever Microphone. Appl. Spectrosc. Rev. 2007, 42, 443–474. [Google Scholar] [CrossRef]
- Ushakov, N.; Lio, L. Resolution limits of extrinsic Fabry-Perot interferometric displacement sensors utilizing wavelength scanning interrogation. Opt. Soc. Am. 2014, 53, 5092–5099. [Google Scholar] [CrossRef] [PubMed]









| Scheme | NNEA/MDL | Gas Chamber Volume |
|---|---|---|
| Zhang in 2023 [27] | 0.49 ppm | ~1.57 mL |
| Guo in 2022 [32] | 2.1 × 10−8 W·cm−1·Hz−1/2 | 31.8 μL |
| Chen in 2021 [33] | 0.5 μL/L | 74 μL |
| Li in 2022 [39] | 2.1 × 10−8 W·cm−1·Hz−1/2 | 1.7 μL |
| This paper | 4.4×10−9 W·cm−1·Hz−1/2 | 14 μL |
Disclaimer/Publisher’s Note: The statements, opinions and data contained in all publications are solely those of the individual author(s) and contributor(s) and not of MDPI and/or the editor(s). MDPI and/or the editor(s) disclaim responsibility for any injury to people or property resulting from any ideas, methods, instructions or products referred to in the content. |
© 2023 by the authors. Licensee MDPI, Basel, Switzerland. This article is an open access article distributed under the terms and conditions of the Creative Commons Attribution (CC BY) license (https://creativecommons.org/licenses/by/4.0/).
Share and Cite
Zhang, Z.; Fan, X.; Xu, Y.; Wang, Y.; Tang, Y.; Zhao, R.; Li, C.; Wang, H.; Chen, K. Silicon-Cantilever-Enhanced Single-Fiber Photoacoustic Acetylene Gas Sensor. Sensors 2023, 23, 7644. https://doi.org/10.3390/s23177644
Zhang Z, Fan X, Xu Y, Wang Y, Tang Y, Zhao R, Li C, Wang H, Chen K. Silicon-Cantilever-Enhanced Single-Fiber Photoacoustic Acetylene Gas Sensor. Sensors. 2023; 23(17):7644. https://doi.org/10.3390/s23177644
Chicago/Turabian StyleZhang, Zhengyuan, Xinhong Fan, Yufu Xu, Yongqi Wang, Yiyao Tang, Rui Zhao, Chenxi Li, Heng Wang, and Ke Chen. 2023. "Silicon-Cantilever-Enhanced Single-Fiber Photoacoustic Acetylene Gas Sensor" Sensors 23, no. 17: 7644. https://doi.org/10.3390/s23177644
APA StyleZhang, Z., Fan, X., Xu, Y., Wang, Y., Tang, Y., Zhao, R., Li, C., Wang, H., & Chen, K. (2023). Silicon-Cantilever-Enhanced Single-Fiber Photoacoustic Acetylene Gas Sensor. Sensors, 23(17), 7644. https://doi.org/10.3390/s23177644

