Lightning Current Measurement Form and Arrangement Scheme of Transmission Line Based on Point-Type Optical Current Transducer
Abstract
:1. Introduction
- (1)
- Direct measurement to realize the accurate measurement of the full waveform of the direct lightning current. In [14], it mainly focuses on the situation of lightning strikes on towers. Current sensors and lead lightning conductors are installed on the tower top to measure the lightning current of towers at different altitudes on a ridge, and the data are collected through remote control. In [15], Rogowski coils are installed on the four tower feet of the tower, and they are connected by special modules to form a detection system, and the lightning strike data are collected by current sensors and voltage sensors. In [16], a current and field measurement system with broadband and high resolution was used to measure the lightning current and related electromagnetic fields of the CN tower.
- (2)
- Long-distance measurement, based on the propagation characteristics of the lightning signal in the propagation medium, by measuring the lightning current propagating to the monitoring position, and then obtaining key parameters, such as the amplitude and polarity of the lightning current in a large range. The lightning measurement system proposed in [17] installs sensors on every 20–30 km of wire along the transmission line to accumulate lightning data across that distance. In [18], the current waveform was measured by installing Rogowski coils on the arrester.
- (3)
- Fault measurement: measure the lightning current when a lightning fault occurs, obtain the key parameters of the lightning current that causes the fault, and infer the fault type through the measurement information. In [19], a Rogowski coil was installed on the suspension insulator string to detect the V-t characteristics of the suspension insulator string for the fault caused by the lightning strike in a DC traction power supply system. The lightning measurement system proposed in [20] nests a Rogowski current sensor on the side hardware of the insulator string tower of the transmission line tower to measure the flashover current during the lightning strike and then calculates the lightning current amplitude.
2. Principle of the Optical Current Transformer and Feasibility of Measuring the Lightning Current
2.1. Characteristics of the Lightning Current Waveform
2.1.1. Typical Lightning Current Waveform
2.1.2. Expression Method of the Lightning Current Waveform
2.2. Optical Current Transducer
2.2.1. Operation Principle of the Optical Current Transducer
2.2.2. Point-Type Optical Current Transducer
3. Measurement Form Based on POCT
3.1. Direct Measurement of Lightning Current on Tower Based on the POCT
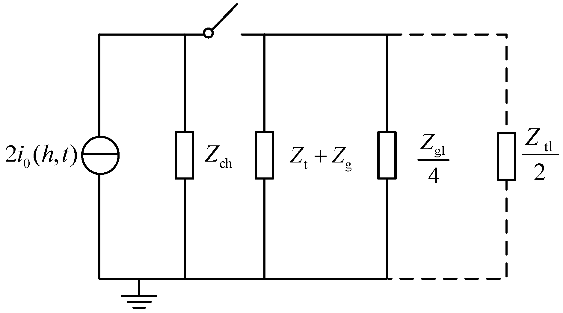
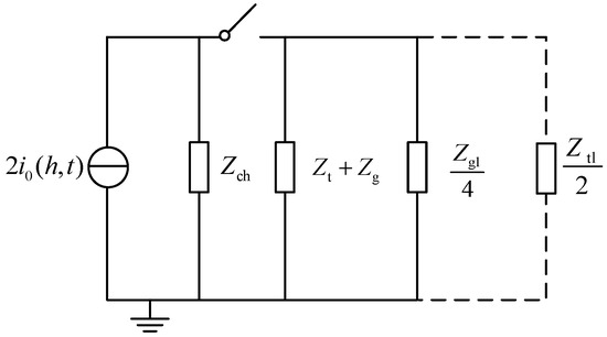
3.1.1. Equivalent Model of Lightning Strike Tower
3.1.2. Influence of Towers on the Lightning Channel Current
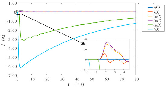
3.1.3. Distribution of Tower Lightning Current
3.2. Long-Distance Measurement of Lightning Current on the Tower Based on the POCT
3.3. Measurement and Analysis of Key Lightning Current Parameters for Flashover Fault
3.3.1. Distribution Characteristics of Lightning Current on the Tower Top
3.3.2. Distribution Characteristics of the Lightning Current on the Transmission Line
4. Simulation Analysis
4.1. Simulation Analysis of the Direct Measurement
4.1.1. Parameter Measurement Analysis
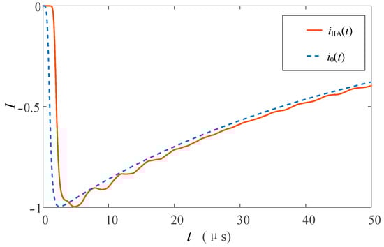
4.1.2. Feasibility Analysis of Direct Measurements of the Lightning Current of Transmission Tower
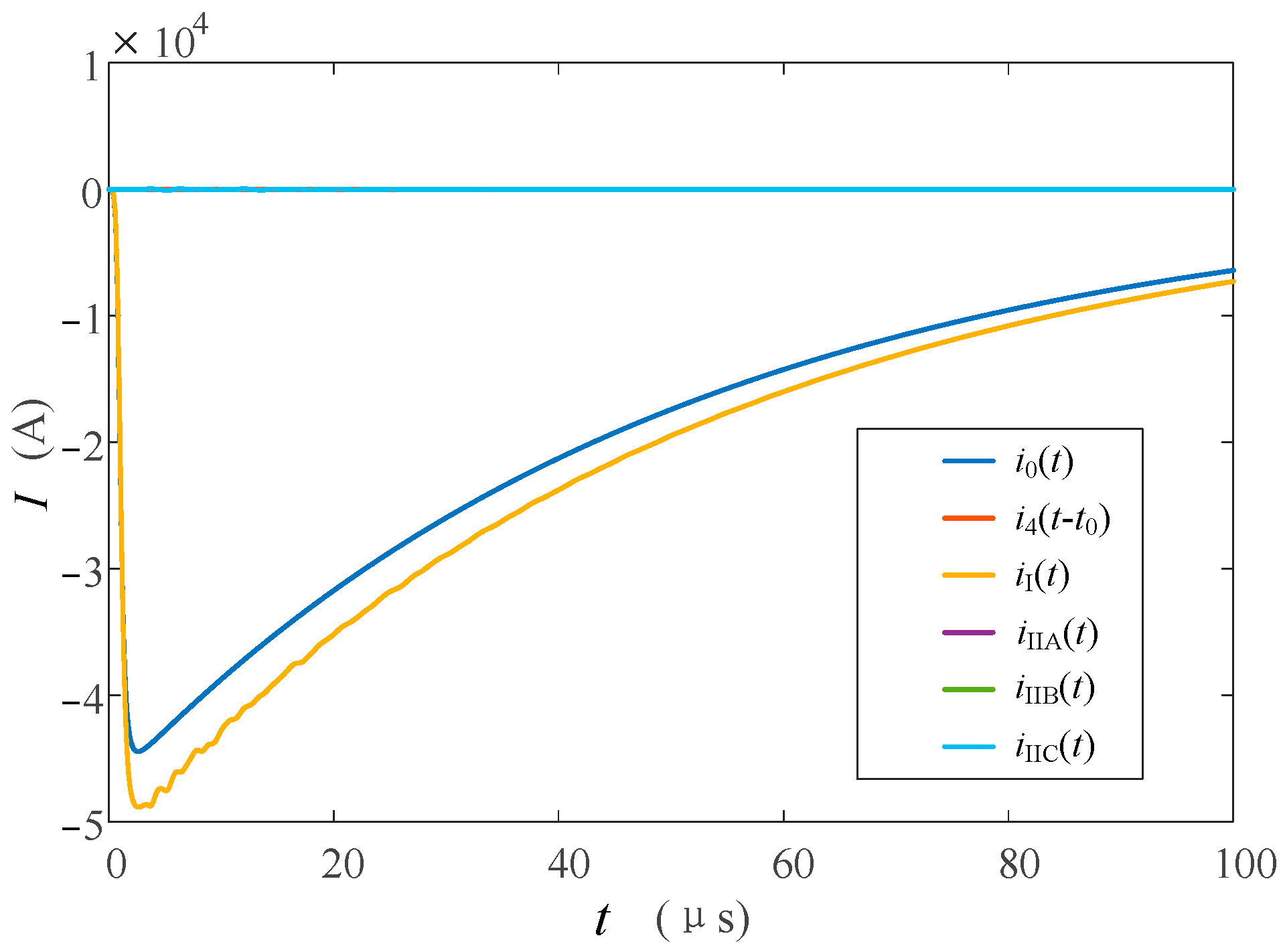
4.2. Simulation Analysis of Remote Measurement
4.2.1. Simulation Description
4.2.2. Shielding Failure Analysis of the Transmission Line
4.2.3. Analysis of Lightning Strikes on Towers
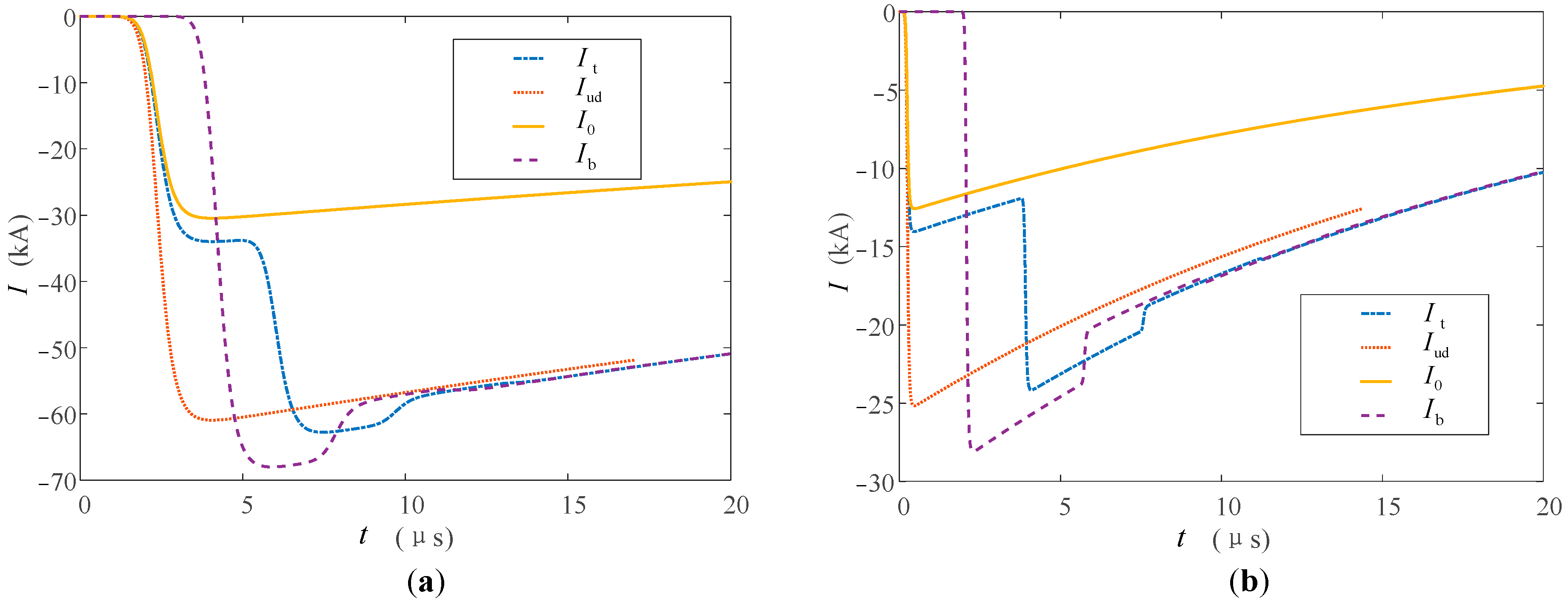
4.3. Measurement and Analysis of Lightning Current Parameters for the Flashover Fault
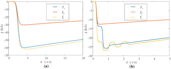
4.3.1. Lightning Strike on the Tower Top without Flashover
4.3.2. Lightning Strikes on the Tower Top Flashover
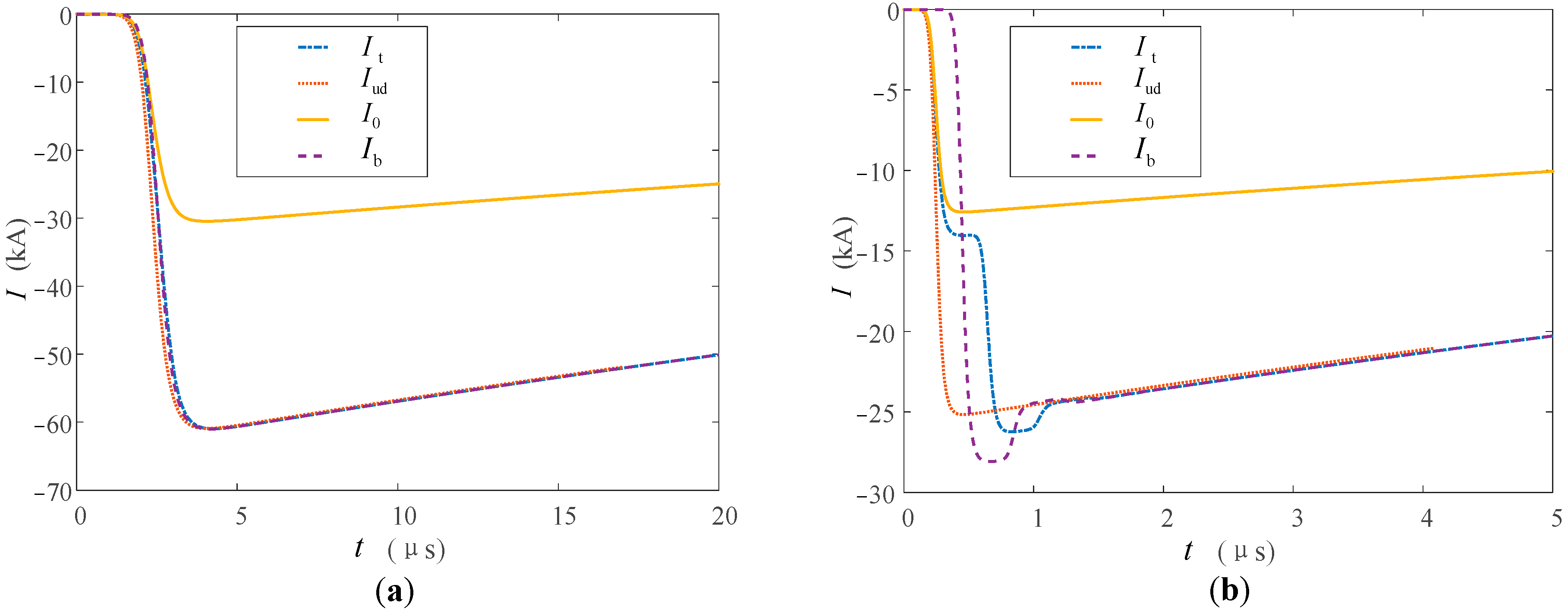
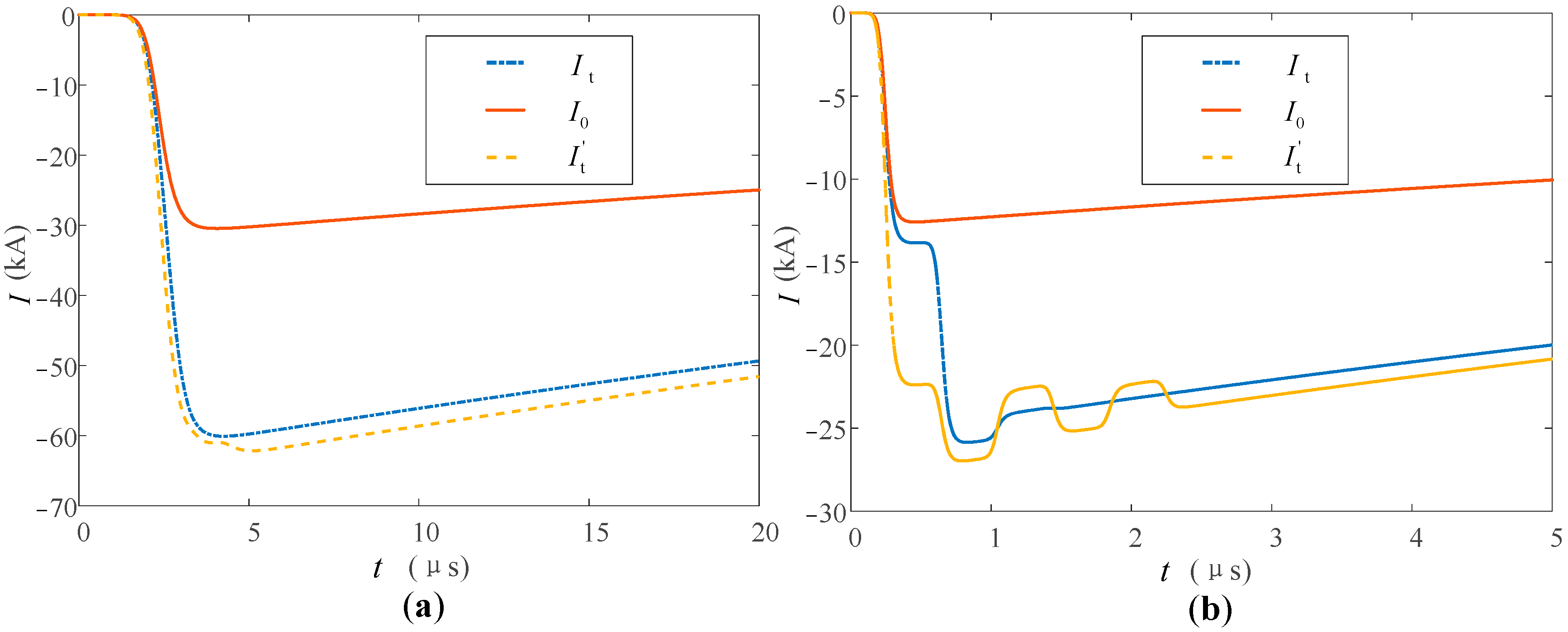
4.3.3. Lightning Strikes on the Transmission Line without Flashover
4.3.4. Lightning Strikes on the Transmission Line with Flashover
5. Conclusions
- (1)
- The current propagation model of the pole tower is established. The model describes the distribution of current elements in the tower and the influence of the transmission tower itself on the measurement results of the lightning current. The distribution of the lightning current in different positions of the tower after lightning strikes the pole tower is analyzed. The measurement position of the direct lightning strike at the tower top is determined from the angle of the accurate measurement of the original lightning current.
- (2)
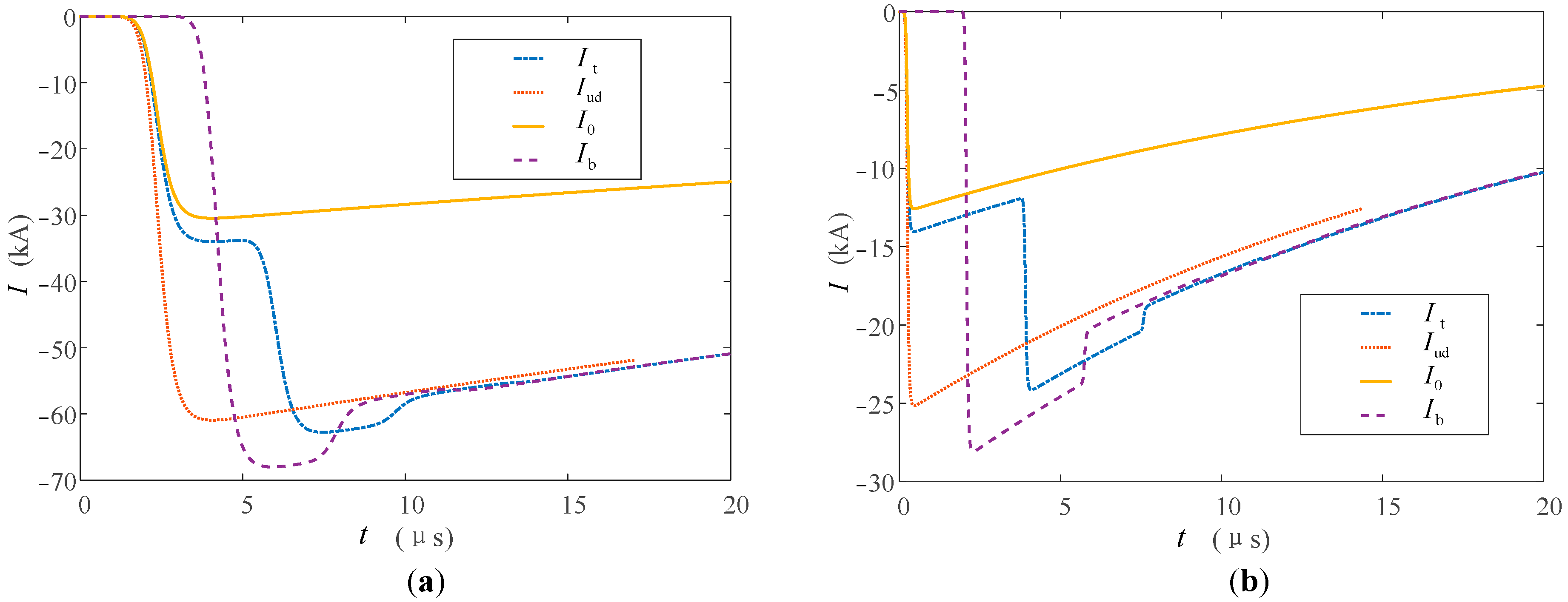
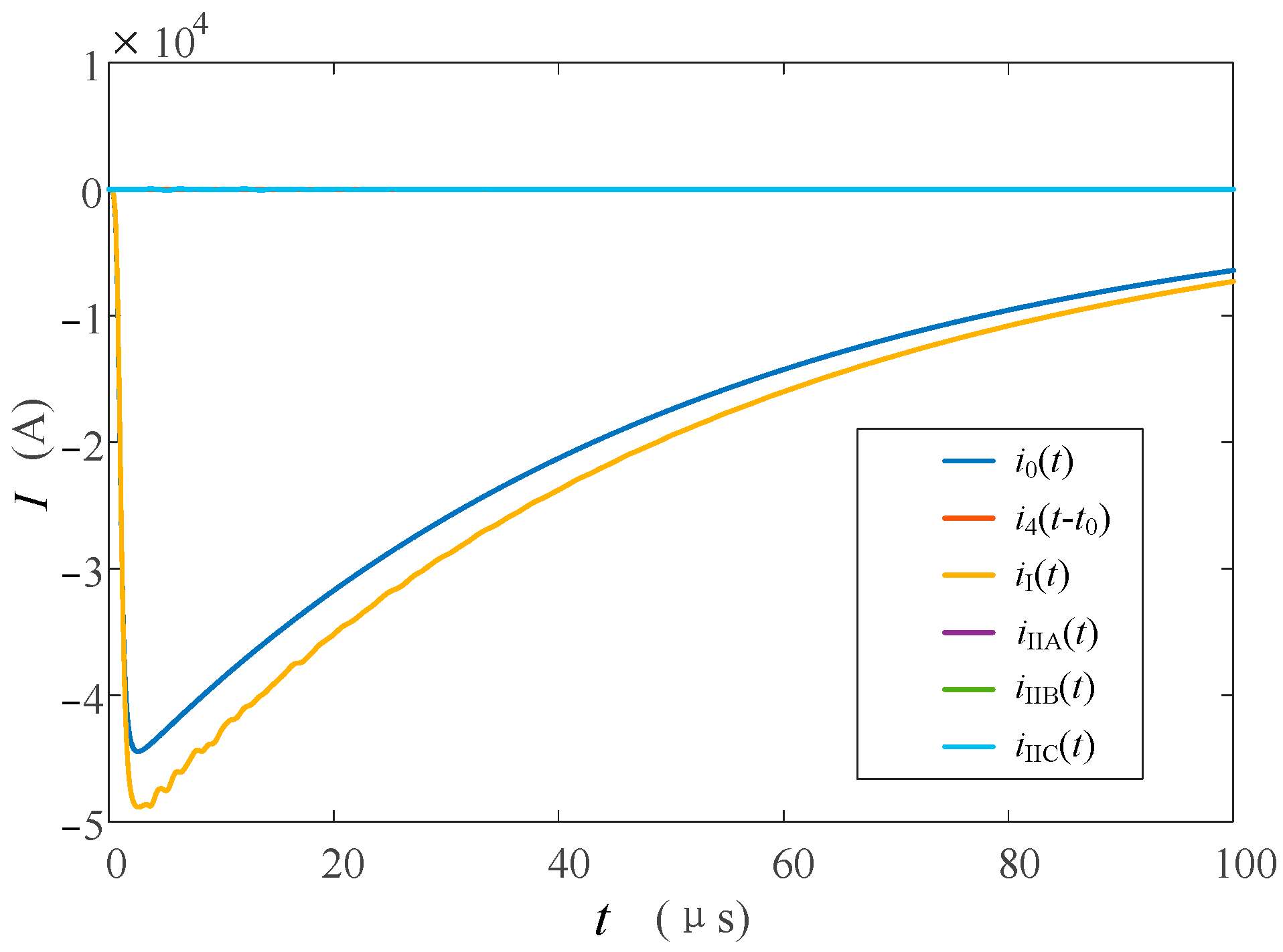
- Build a simulation model of a multistage tower transmission system, and analyze the transmission characteristics of the lightning current in transmission lines under different lightning strikes. The results show that the response of lightning current measurements in the transmission line is higher than that of lightning protection line, and it is more suitable for remote measurements. When lightning strikes a tower, the response of the lightning rod is large regardless of whether there is lightning back-flashover, but the attenuation is faster with an increase in the distance. After the distance of five base towers, the lightning current measurement of the lightning rod and tower is more suitable for the remote measurement.
- (3)
- Construct the lightning current measurement structure of the transmission system. From the perspective of measuring the rising edge of the lightning current waveform containing more critical lightning current information, analyze the measurement results of the type I and II monitoring points and insulator flashover current measurement points under different lightning strikes. The analysis shows that the fault current of the insulator cannot measure the key parameters of the rising edge, the type I sensor unit can measure the rising edge of the lightning current waveform when lightning strikes the tower, the type I sensor unit cannot measure the lightning current waveform when lightning strikes and flashover occurs, and the type II sensor unit can measure part of the rising edge information of the lightning current upon wave front flashover. The type II sensor unit can measure the rising edge information of the lightning current, including the peak value when the wave flashover is behind.
- (4)
- When lightning strikes towers or lines, regardless of whether there is insulator flashover or not, the response of the lightning current measurement on the transmission line is higher than that on the lightning protection line, which is more suitable for remote measurements. The insulator flashover current under different fault conditions is studied from the point of view of critical lightning current measurements. The results show that the insulator flashover current has limitations in the measurement of the key parameters of the lightning current. The direct measurement and the remote measurement can replace the insulator flashover current measurement.
Author Contributions
Funding
Institutional Review Board Statement
Informed Consent Statement
Data Availability Statement
Conflicts of Interest
References
- Visacro, S.; Dias, R.N.; Rejane de Mesquita, C. Novel approach for determining spots of critical lightning performance along transmission lines. IEEE Trans. Power Deliv. 2005, 20, 1459–1464. [Google Scholar] [CrossRef]
- Taniguchi, S.; Tsuboi, T.; Okabe, S. Observation results of lightning shielding for large-scale transmission lines. IEEE Trans. Dielectr. Electr. Insul. 2009, 16, 552–559. [Google Scholar] [CrossRef]
- Lu, J.; Zhou, T.; Wu, C.; Li, B.; Tan, Y.; Zhu, Y. Fault statistics and analysis of 220 kV and above power transmission line in province-level power grid. High Volt. Eng. 2016, 42, 200–207. [Google Scholar]
- Chowdhuri, P.; Anderson, J.G.; Chisholm, W.A.; Field, T.E. Parameters of lightning strokes: A review. IEEE Trans. Power Deliv. 2005, 20, 346–358. [Google Scholar] [CrossRef]
- Chowdhuri, P. Parameters of lightning strokes and their effects on power systems. In Proceedings of the 2001 IEEE/PES Transmission and Distribution Conference and Exposition. Developing New Perspectives (Cat. No.01CH37294), Atlanta, GA, USA, 2 November 2001; pp. 1047–1051. [Google Scholar]
- Haruki, H.; Sunaga, M.; Kimata, R.; Katoh, J. Development of a lightning current waveform measuring system for 500 kV overhead transmission lines. IEEE Power Eng. Rev. 1989, 9, 75. [Google Scholar] [CrossRef]
- Yao, C.; Xiao, Q.; Mi, Y.; Li, C.; Zhang, X. Lightning current measurement by multi-turn differential loop. In Proceedings of the 2010 International Conference on High Voltage Engineering and Application, New Orleans, LA, USA, 11–14 October 2010; pp. 556–559. [Google Scholar]
- Yang, B.; Fu, Y.; Li, Y.; Yao, M.; Shi, L. Optically Powered Lightning Current Measurement System for High-Tower Observation. IEEE Access 2018, 6, 17022–17028. [Google Scholar] [CrossRef]
- Sousa, F.S.; Altafim, R.A.; Altafim, R. Lightning Peak Current Sensor Based on Electret Technology. IEEE Trans. Electromagn. Compat. 2020, 62, 1192–1199. [Google Scholar] [CrossRef]
- Sun, P. Statistical Analysis on Lightning Current Amplitude Measurement on 220 kV Xin-Hang Line. Electr. Power 2000, 72–75. Available online: http://61.187.87.56:81/article/detail.aspx?id=4234403 (accessed on 27 July 2023). (In Chinese).
- Wang, J.; Qi, C.; Liang, X.; Che, Y.; Fan, L.; Wang, Y. Use of Magnetic Links to Measure the Maximum Rate-of-Rise of Lightning Currents. IEEE Trans. Power Deliv. 2007, 22, 2445–2449. [Google Scholar]
- Yao, C.; Xiao, Q.; Long, Y. Non-contact measurement of lightning current in transmission line based on differential loop. High Volt. Eng. 2012, 38, 43–51. (In Chinese) [Google Scholar]
- Yao, C. Study of magnetic fields from different types of lightning faults on a multi-tower system. IEEE Trans. Dielectr. Electr. Insul. 2014, 21, 1866–1874. [Google Scholar] [CrossRef]
- Takami, J.; Okabe, S. Observational Results of Lightning Current on Transmission Towers. IEEE Trans. Power Deliv. 2007, 22, 547–556. [Google Scholar] [CrossRef]
- Du, L.; Chen, H.; Chen, S. Identification Method of Shielding Failure and Back Striking for Overhead Transmission Line. High Volt. Eng. 2014, 40, 2885–2993. (In Chinese) [Google Scholar]
- Hussein, A.M.; Janischewskyj, W.; Milewski, M.; Shostak, V.; Chisholm, W.; Chang, J.S. Current waveform parameters of CN tower lightning return strokes. J. Electrost. 2004, 60, 149–162. [Google Scholar] [CrossRef]
- Gu, S.; Chen, J.; Feng, W.; Zhao, C.; Fang, Y.; Li, T. Development and application of lightning protection technologies in power grids of China. High Volt. Eng. 2013, 39, 2329–2343. [Google Scholar]
- Takami, J.; Okabe, S. Characteristics of Direct Lightning Strokes to Phase Conductors of UHV Transmission Lines. IEEE Trans. Power Deliv. 2007, 22, 537–546. [Google Scholar] [CrossRef]
- Suzuki, H.; Hayashiya, H.; Takino, T.; Yokoyama, S.; Kumada, A.; Hidaka, K. Measurement of V-t characteristics of suspention insulators to evaluate for lightning characteristics of traction power supply system. In Proceedings of the 2014 International Conference on Lightning Protection (ICLP), Shanghai, China, 11–18 October 2014; pp. 629–633. [Google Scholar]
- Cheng, Y.; Li, C.; Zhang, F. Measurement of Lightning Flashover Current on Ultra High Voltage Trans mission Lines. High Volt. Eng. 2007, 33, 9–12. [Google Scholar]
- Ashraf, H.M.; Abbas, G.; Ali, U. Modeling and Simulation of Optical Current Transformer using Operational Amplifiers. In Proceedings of the 2017 International Conference on Electrical Engineering (ICEE), Lahore, Pakistan, 2–4 March 2017. [Google Scholar]
- Anderson, R.B.; Eriksson, A.J. Lightning parameters for engineering applications. Electra 1980, 69, 65–102. [Google Scholar]
- Yoshino, T. Theory for the Faraday effect in optical fiber. J. Opt. Soc. Am. B 2005, 22, 1856–1860. [Google Scholar] [CrossRef]
- GB 18802.1-2011; Low-Voltage Surge Protective Devices—Part 1: Surge Protective Devices Connected to Low-Voltage Power Distribution Systems-Requirements and Tests. China Electrical Equipment Industry Association: Dalian, China, 2011.
- Baba, Y.; Rakov, V.A. On the mechanism of attenuation of current waves propagating along a vertical perfectly conducting wire above ground: Application to lightning. IEEE Trans. Electromagn. Compat. 2005, 47, 521–532. [Google Scholar] [CrossRef]
- Javor, V. Electromagnetic field estimation using modified transmission line models of lightning strokes. In Proceedings of the SoftCOM 2012, 20th International Conference on Software, Telecommunications and Computer Networks, Split, Croatia, 11–13 September 2012; pp. 1–4. [Google Scholar]
- Rachidi, F. Effect of vertically extended strike object on the distribution of current along the lightning channel. J. Geophys. Res. 2002, 107, 4699–4704. [Google Scholar] [CrossRef]
- Guerrieri, S.; Nucci, C.A.; Rachidi, F. On the influence of elevated strike objects on directly measured and indirectly estimated lightning currents. IEEE Trans. Power Deliv. 1998, 13, 1543–1555. [Google Scholar] [CrossRef]
- Yamada, T.; Mochizuki, A.; Sawada, J. Experimental evaluation of a UHV tower model for lightning surge analysis. IEEE Trans. Power Deliv. 1995, 10, 393–402. [Google Scholar] [CrossRef]
- Ishii, M.; Baba, Y. Numerical electromagnetic field analysis of tower surge response. IEEE Trans. Power Deliv. 1997, 12, 483–488. [Google Scholar] [CrossRef]
- Hara, T.; Yamamoto, O. Modelling of a transmission tower for lightning-surge analysis. IEE Proc. Gener. Transm. Distrib. 1996, 143, 283–290. [Google Scholar] [CrossRef]
- DL/T620-1997; Overvoltage Protection and Insulation Coordination for AC Electrical Installations. Insulation Coordination Ministry of Power Industry Standardization Technical Committee: Dalian, China, 1997.
- Eriksson, J. Notes on Lightning Parameters for System Performance Estimations; CIGRE Report No. 33-86 (WG 33-01); CIGRE: Paris, France, 1986. [Google Scholar]
- Guide to Procedure for Estimating the Lightning Performance of Transmission Lines; CIGRE Brochure; CIGRE: Paris, France, 1991.
- Araneo, R.; Celozzi, S. Transient behavior of wind towers grounding systems under lightning strikes. Int. J. Energy Environ. Eng. 2016, 7, 235–247. [Google Scholar] [CrossRef]
- Lafkovici, A.; Hussein, A.M.; Janischewskyj, W. Evaluation of the Performance Characteristics of the North American Lightning Detection Network Based on Tall-Structure Lightning. IEEE Trans. Electromagn. Compat. 2008, 50, 630–641. [Google Scholar] [CrossRef]
- Rakov, V.A. Transient response of a tall object to lightning. Electromagn. Compat. IEEE Trans. 2001, 43, 654–661. [Google Scholar] [CrossRef]

























| Form of Lightning Strike | Number of Tower k | Iglk (I′glk) (A) | Ilk (A) | |||
|---|---|---|---|---|---|---|
| A-Phase Side | C-Phase Side | A-Phase | B-Phase | C-Phase | ||
| shielding failure without flashover | 1 | 777 | 292 | 3150 | 33 | 29 |
| 2 | 797 | 295 | 3127 | 65 | 55 | |
| 3 | 815 | 314 | 3118 | 97 | 82 | |
| 4 | 806 | 306 | 3109 | 126 | 106 | |
| 5 | 792 | 292 | 3100 | 154 | 128 | |
| shielding failure with flashover | 1 | 1166 (1742) | 27 (1703) | 5600 | 67 | 58 |
| 2 | 1243 (801) | 375 (725) | 5526 | 135 | 115 | |
| 3 | 1209 (460) | 351 (423) | 5428 | 195 | 165 | |
| 4 | 1163 (260) | 314 (274) | 5359 | 253 | 212 | |
| 5 | 1166 (203) | 301 (195) | 5257 | 308 | 256 | |
| 10 | 1120 (0) | 360 (0) | 4890 | 600 | 492 | |
| Form of Lightning Strike | Number of Tower k | Iglk (A) | Ilk (A) | |||
|---|---|---|---|---|---|---|
| A-Phase Side | C-Phase Side | A-Phase | B-Phase | C-Phase | ||
| lightning stroke the tower without back-flashover | 1 | 5303 | 292 | 0 | 0 | 0 |
| 2 | 2390 | 295 | 83 | 81 | 83 | |
| 3 | 1284 | 314 | 101 | 99 | 100 | |
| 4 | 797 | 306 | 100 | 98 | 100 | |
| 5 | 577 | 292 | 98 | 95 | 97 | |
| lightning stroke the tower with back-flashover | 1 | 11,523 | 11,420 | 1587 | 0 | 0 |
| 2 | 5105 | 5185 | 1576 | 173 | 182 | |
| 3 | 2876 | 2758 | 1534 | 218 | 223 | |
| 4 | 1729 | 1766 | 1480 | 220 | 225 | |
| 5 | 1244 | 1281 | 1444 | 213 | 217 | |
Disclaimer/Publisher’s Note: The statements, opinions and data contained in all publications are solely those of the individual author(s) and contributor(s) and not of MDPI and/or the editor(s). MDPI and/or the editor(s) disclaim responsibility for any injury to people or property resulting from any ideas, methods, instructions or products referred to in the content. |
© 2023 by the authors. Licensee MDPI, Basel, Switzerland. This article is an open access article distributed under the terms and conditions of the Creative Commons Attribution (CC BY) license (https://creativecommons.org/licenses/by/4.0/).
Share and Cite
Ge, J.; Yin, Y.; Wang, W. Lightning Current Measurement Form and Arrangement Scheme of Transmission Line Based on Point-Type Optical Current Transducer. Sensors 2023, 23, 7467. https://doi.org/10.3390/s23177467
Ge J, Yin Y, Wang W. Lightning Current Measurement Form and Arrangement Scheme of Transmission Line Based on Point-Type Optical Current Transducer. Sensors. 2023; 23(17):7467. https://doi.org/10.3390/s23177467
Chicago/Turabian StyleGe, Jinming, Yibo Yin, and Wei Wang. 2023. "Lightning Current Measurement Form and Arrangement Scheme of Transmission Line Based on Point-Type Optical Current Transducer" Sensors 23, no. 17: 7467. https://doi.org/10.3390/s23177467
APA StyleGe, J., Yin, Y., & Wang, W. (2023). Lightning Current Measurement Form and Arrangement Scheme of Transmission Line Based on Point-Type Optical Current Transducer. Sensors, 23(17), 7467. https://doi.org/10.3390/s23177467
