A Transformer-Optimized Deep Learning Network for Road Damage Detection and Tracking
Abstract
:1. Introduction
1.1. Related Works
1.1.1. Conventional Methods
1.1.2. Deep Learning Methods
1.1.3. Aircraft-Based Evaluation Methods
1.2. Contribution
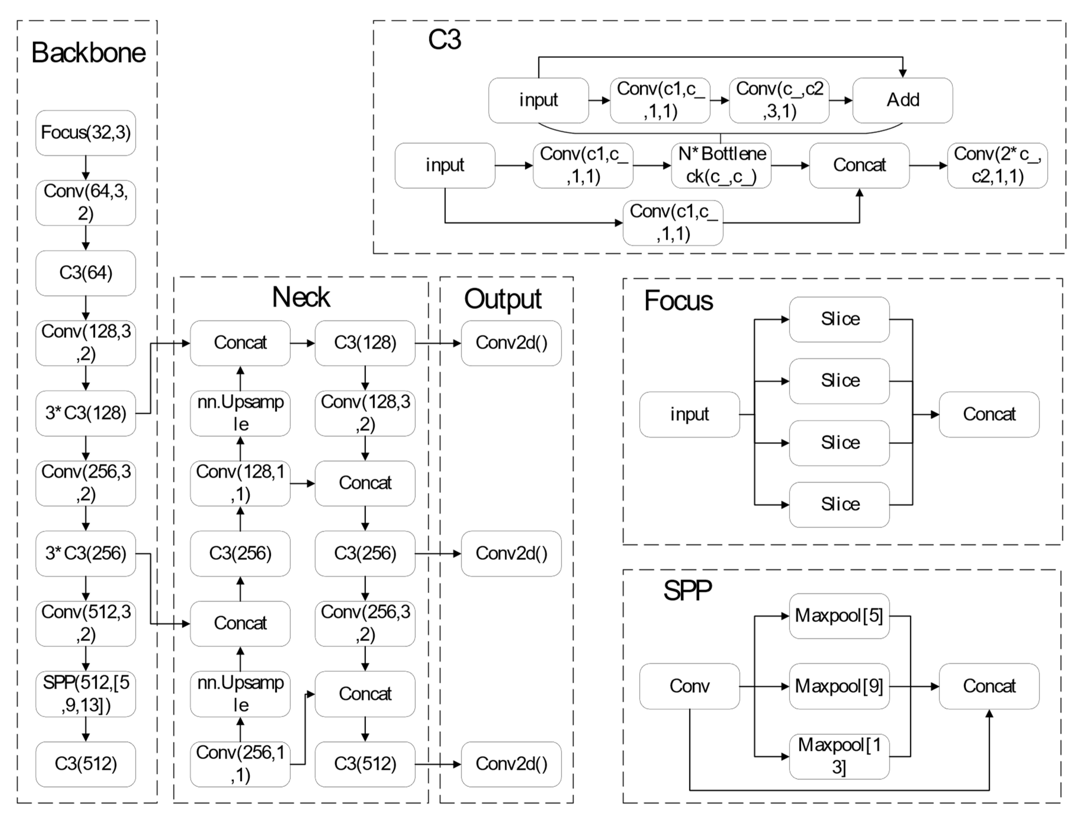
2. Methodology
2.1. Transformer and Self-Attention
2.2. Road-TransTrack Detection and Tracking Model
3. Dataset Construction
3.1. Data Collection
3.2. Data Processing
YOLOv5-Based Classification Network
4. Road-TransTrack-Based Road Damage Detection and Tracking
4.1. Model Initialization
4.2. Hyperparameter Tuning
4.3. Transformer-Based Detection and Tracking Network
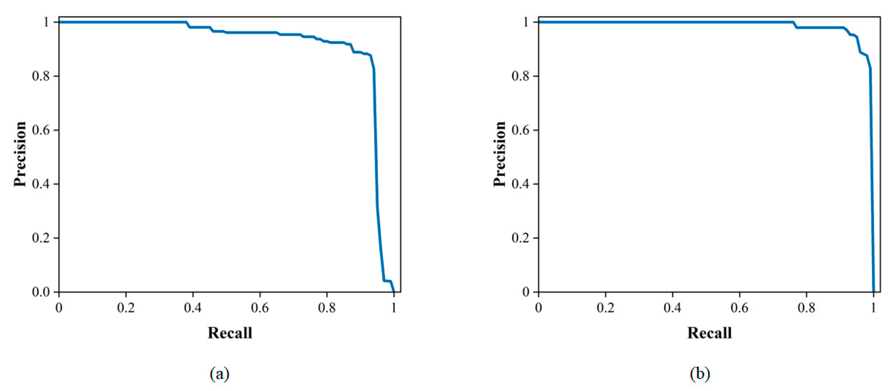
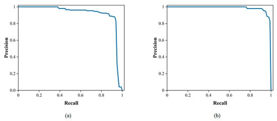
5. Results and Discussion
6. Conclusions
Author Contributions
Funding
Institutional Review Board Statement
Informed Consent Statement
Data Availability Statement
Conflicts of Interest
References
- Yao, Y.; Tung, S.-T.E.; Glisic, B. Crack detection and characterization techniques-An overview. Struct. Control. Health Monit. 2014, 21, 1387–1413. [Google Scholar] [CrossRef]
- Jahanshahi, M.R.; Masri, S.F. A new methodology for non-contact accurate crack width measurement through photogrammetry for automated structural safety evaluation. Smart Mater. Struct. 2013, 22, 035019. [Google Scholar] [CrossRef]
- Barreira, E.; de Freitas, V.P. Evaluation of building materials using infrared thermography. Constr. Build. Mater. 2007, 21, 218–224. [Google Scholar] [CrossRef]
- Wang, N.; Zhao, X.; Zhao, P.; Zhang, Y.; Zou, Z.; Ou, J. Automatic damage detection of historic masonry buildings based on mobile deep learning. Autom. Constr. 2019, 103, 53–66. [Google Scholar] [CrossRef]
- Gattulli, V.; Chiaramonte, L. Condition assessment by visual inspection for a bridge management system. Comput.-Aided Civ. Infrastruct. Eng. 2005, 20, 95–107. [Google Scholar] [CrossRef]
- O’Byrne, M.; Schoefs, F.; Ghosh, B.; Pakrashi, V. Texture Analysis Based Damage Detection of Ageing Infrastructural Elements. Comput.-Aided Civ. Infrastruct. Eng. 2013, 28, 162–177. [Google Scholar] [CrossRef]
- Torbaghan, M.E.; Li, W.; Metje, N.; Burrow, M.; Chapman, D.N.; Rogers, C.D.F. Automated detection of cracks in roads using ground penetrating radar. J. Appl. Geophys. 2020, 179, 104118. [Google Scholar] [CrossRef]
- Hadjidemetriou, G.M.; Vela, P.A.; Christodoulou, S.E. Automated Pavement Patch Detection and Quantification Using Support Vector Machines. J. Comput. Civ. Eng. 2018, 32, 04017073. [Google Scholar] [CrossRef]
- Chang, K.T.; Chang, J.R.; Liu, J.K. Detection of Pavement Distresses Using 3D Laser Scanning Technology. In Proceedings of the International Conference on Computing in Civil Engineering, Cancun, Mexico, 12–15 July 2005. [Google Scholar]
- Li, S.; Yuan, C.; Liu, D.; Cai, H. Integrated Processing of Image and GPR Data for Automated Pothole Detection. J. Comput. Civ. Eng. 2016, 30. [Google Scholar] [CrossRef]
- Huang, Y.; Xu, B. Automatic inspection of pavement cracking distress. J. Electron. Imaging 2006, 15, 013017. [Google Scholar] [CrossRef]
- Zou, Q.; Cao, Y.; Li, Q.; Mao, Q.; Wang, S. Crack Tree: Automatic crack detection from pavement images. Pattern Recogn. Lett. 2012, 33, 227–238. [Google Scholar] [CrossRef]
- Oliveira, H.; Correia, P.L. Automatic Road Crack Segmentation Using Entropy and Image Dynamic Thresholding. In Proceedings of the 2009 17th European Signal Processing Conference, Glasgow, UK, 24–28 August 2009. [Google Scholar]
- Nguyen, T.S.; Bégot, S.; Duculty, F.; Avila, M. Free-form anisotropy: A new method for crack detection on pavement surface images. In Proceedings of the IEEE International Conference on Image Processing, Brussels, Belgium, 11–14 September 2011. [Google Scholar]
- Nguyen, H.T.; Nguyen, L.T.; Sidorov, D.N. A robust approach for road pavement defects detection and classification. Irkutsk. Natl. Res. Tech. Univ. 2016, 3, 40–52. [Google Scholar] [CrossRef]
- Safaei, N.; Smadi, O.; Masoud, A.; Safaei, B. An Automatic Image Processing Algorithm Based on Crack Pixel Density for Pavement Crack Detection and Classification. Int. J. Pavement Res. Technol. 2021, 15, 159–172. [Google Scholar] [CrossRef]
- Cubero-Fernandez, A.; Rodriguez-Lozano, F.J.; Villatoro, R.; Olivares, J.; Palomares, J.M. Efficient pavement crack detection and classification. Eurasip J. Image Video Process. 2017, 2017, 1. [Google Scholar] [CrossRef]
- Rong, G.; Xin, X.; Dejin, Z.; Hong, L.; Fangling, P.; Li, H.; Min, C. A Component Decomposition Model for 3D Laser Scanning Pavement Data Based on High-Pass Filtering and Sparse Analysis. Sensors 2018, 18, 2294. [Google Scholar]
- Bitelli, G.; Simone, A.; Girardi, F.; Lantieri, C. Laser Scanning on Road Pavements: A New Approach for Characterizing Surface Texture. Sensors 2012, 12, 9110–9128. [Google Scholar] [CrossRef] [PubMed]
- Li, Q.; Yao, M.; Yao, X.; Xu, B. A real-time 3D scanning system for pavement distortion inspection. Meas. Sci. Technol. 2010, 21, 015702. [Google Scholar] [CrossRef]
- Park, S.E.; Eem, S.H.; Jeon, H. Concrete crack detection and quantification using deep learning and structured light. Constr. Build. Mater. 2020, 252, 119096. [Google Scholar] [CrossRef]
- Aloysius, N.; Geetha, M. A review on deep convolutional neural networks. In Proceedings of the 2017 International Conference on Communication and Signal Processing (ICCSP), Chennai, India, 6–8 April 2017. [Google Scholar]
- Wang, F.; Jiang, M.; Qian, C.; Yang, S.; Tang, X. Residual Attention Network for Image Classification. In Proceedings of the 2017 IEEE Conference on Computer Vision and Pattern Recognition (CVPR), Honolulu, HI, USA, 21–26 July 2017. [Google Scholar]
- Zhao, Z.Q.; Zheng, P.; Xu, S.T.; Wu, X. Object Detection with Deep Learning: A Review. arXiv 2018. [Google Scholar] [CrossRef]
- Wang, P.; Chen, P.; Yuan, Y.; Liu, D.; Huang, Z.; Hou, X.; Cottrell, G. Understanding Convolution for Semantic Segmentation. In Proceedings of the 2018 IEEE Winter Conference on Applications of Computer Vision (WACV), Lake Tahoe, NV, USA, 12–15 March 2018. [Google Scholar]
- Xu, Y.; Li, D.; Xie, Q.; Wu, Q.; Wang, J. Automatic defect detection and segmentation of tunnel surface using modified Mask R-CNN. Measurement 2021, 178, 109316. [Google Scholar] [CrossRef]
- Wang, W.; Wu, B.; Yang, S.; Wang, Z. Road Damage Detection and Classification with Faster R-CNN. In Proceedings of the 2018 IEEE International Conference on Big Data (Big Data), Seattle, WA, USA, 10–13 December 2018. [Google Scholar]
- Zhang, K.; Zhang, Y.; Cheng, H.D. CrackGAN: Pavement Crack Detection Using Partially Accurate Ground Truths Based on Generative Adversarial Learning. IEEE Trans. Intell. Transp. Syst. 2020, 22, 1306–1319. [Google Scholar] [CrossRef]
- Lin, Y.; Nie, Z.; Ma, H. Dynamics-based cross-domain structural damage detection through deep transfer learning. Comput.-Aided Civ. Infrastruct. Eng. 2022, 37, 24–54. [Google Scholar] [CrossRef]
- Wang, Z.; Zhang, Y.; Mosalam, K.M.; Gao, Y.; Huang, S. Deep semantic segmentation for visual understanding on construction sites. Comput.-Aided Civ. Infrastruct. Eng. 2022, 37, 145–162. [Google Scholar] [CrossRef]
- Yang, X.; Li, H.; Yu, Y.; Luo, X.; Huang, T.; Yang, X. Automatic Pixel-Level Crack Detection and Measurement Using Fully Convolutional Network. Comput.-Aided Civ. Infrastruct. Eng. 2018, 33, 1090–1109. [Google Scholar] [CrossRef]
- Hegde, V.; Trivedi, D.; Alfarrarjeh, A.; Deepak, A.; Shahabi, C. Yet Another Deep Learning Approach for Road Damage Detection using Ensemble Learning. In Proceedings of the 2020 IEEE International Conference on Big Data (Big Data), Atlanta, GA, USA, 10–13 December 2020. [Google Scholar]
- Shim, S.; Kim, J.; Lee, S.-W.; Cho, G.-C. Road surface damage detection based on hierarchical architecture using lightweight auto-encoder network. Autom. Constr. 2020, 130, 103833. [Google Scholar] [CrossRef]
- Sheta, A.F.; Turabieh, H.; Aljahdali, S.; Alangari, A. Pavement Crack Detection Using Convolutional Neural Network. In Proceedings of the Computers and Their Applications, San Francisco, CA, USA, 23-25 March 2020. [Google Scholar]
- Guo, K.; He, C.; Yang, M.; Wang, S. A pavement distresses identification method optimized for YOLOv5s. Sci. Rep. 2022, 12, 3542. [Google Scholar] [CrossRef]
- Ma, D.; Fang, H.; Wang, N.; Zhang, C.; Dong, J.; Hu, H. Automatic Detection and Counting System for Pavement Cracks Based on PCGAN and YOLO-MF. IEEE Trans. Intell. Transp. Syst. 2022, 23, 22166–22178. [Google Scholar] [CrossRef]
- Zhang, S.; Lippitt, C.D.; Bogus, S.M.; Neville, P.R.H. Characterizing Pavement Surface Distress Conditions with Hyper-Spatial Resolution Natural Color Aerial Photography. Remote Sens. 2016, 8, 392. [Google Scholar] [CrossRef]
- Zhang, S.; Bogus, S.M.; Lippitt, C.D.; Neville, P.R.H.; Zhang, G.; Chen, C.; Valentin, V. Extracting Pavement Surface Distress Conditions Based on High Spatial Resolution Multispectral Digital Aerial Photography. Photogramm. Eng. Remote Sens. 2015, 81, 709–720. [Google Scholar] [CrossRef]
- Ersoz, A.B.; Pekcan, O.; Teke, T. Crack identification for rigid pavements using unmanned aerial vehicles. In Proceedings of the International Conference on Building up Efficient and Sustainable Transport Infrastructure (BESTInfra), Prague, Czech Republic, 21–22 September 2017. [Google Scholar]
- Alzarrad, A.; Awolusi, I.; Hatamleh, M.T.; Terreno, S. Automatic assessment of roofs conditions using artificial intelligence (AI) and unmanned aerial vehicles (UAVs). Front. Built Environ. 2022, 8, 1026225. [Google Scholar] [CrossRef]
- Long Ngo Hoang, T.; Mora, O.E.; Cheng, W.; Tang, H.; Singh, M. Deep Learning to Detect Road Distress from Unmanned Aerial System Imagery. Transp. Res. Rec. 2021, 2675, 776–788. [Google Scholar]
- Cheng, J.; Dong, L.; Lapata, M. Long Short-Term Memory-Networks for Machine Reading. arXiv 2016, arXiv:1601.06733. [Google Scholar]
- Vaswani, A.; Shazeer, N.; Parmar, N.; Uszkoreit, J.; Jones, L.; Gomez, A.N.; Kaiser, L.; Polosukhin, I. Attention Is All You Need. arXiv 2017, arXiv:1706.03762. [Google Scholar]
- Dosovitskiy, A.; Beyer, L.; Kolesnikov, A.; Weissenborn, D.; Houlsby, N. An Image is Worth 16x16 Words: Transformers for Image Recognition at Scale. arXiv 2020, arXiv:2010.11929. [Google Scholar]
- Arya, D.; Maeda, H.; Ghosh, S.K.; Toshniwal, D.; Mraz, A.; Kashiyama, T.; Sekimoto, Y. Transfer Learning-based Road Damage Detection for Multiple Countries. arXiv 2020, arXiv:2008.13101. [Google Scholar]
- Zhong, Q.; Li, C.; Zhang, Y.; Xie, D.; Yang, S.; Pu, S. Cascade Region Proposal and Global Context for Deep Object Detection. Neurocomputing 2017, 395, 170–177. [Google Scholar] [CrossRef]
- Tao, X.; Gong, Y.; Shi, W.; Cheng, D. Object Detection with Class Aware Region Proposal Network and Focused Attention Objective. Pattern Recognit. Lett. 2018, 130, 353–361. [Google Scholar] [CrossRef]















| Sensor Pictures | Equipment Parameters | HIKVISION U68 |
|---|---|---|
![]() | Highest resolution | 4 K |
| Highest resolution video output | 3840 × 2160 30/25 FPS | |
| Maximum Field of View | 83° × 91° | |
| Digital zoom | fourfold | |
| Autofocus | support | |
| TOF Sensing | support |
| Class | Accuracy | Precision | Recall | F1 Score |
|---|---|---|---|---|
| Crack | 0.8510 | 0.8407 | 0.862 | 0.8512 |
| Pothole | 0.9247 | 0.9076 | 0.945 | 0.9259 |
| Case | Learning Rate | Weight Decay | Accuracy |
|---|---|---|---|
| 1 | 10−5 | 5 × 10−4 | 90.73% |
| 2 | 10−5 | 10−5 | 89.38% |
| 3 | 10−5 | 10−3 | 89.75% |
| 4 | 5 × 10−5 | 10−4 | 90.88% |
| 5 | 2 × 10−4 | 10−4 | 91.59% |
| 6 | 10−4 | 10−4 | 89.06% |
| Class | Accuracy | Precision | Recall | F1 Score |
|---|---|---|---|---|
| Crack | 91.60% | 91.6% | 96.9% | 0.9417 |
| Pothole | 98.59% | 98.6% | 98.9% | 0.9874 |
| Mean | 95.095 | 95.1% | 97.9% | 0.9646 |
| Class | Accuracy | Precision | Recall | F1 Score |
|---|---|---|---|---|
| (YOLOv3) | ||||
| Crack | 75.26% | 75.06% | 80.60% | 77.73 |
| Pothole | 90.74% | 89.56% | 91.60% | 90.57 |
| (SSD) | ||||
| Crack | 92.72% | 91.49% | 71.67% | 80.37 |
| Pothole | 92.00% | 80.39% | 91.11% | 85.41 |
| (Faster RCNN) | ||||
| Crack | 87.29% | 35.37% | 95.08% | 51.55 |
| Pothole | 93.46% | 75.00% | 95.33% | 83.95 |
| Network | Mean Precision | Mean Recall | Mean F1 Score | Mean Accuracy |
|---|---|---|---|---|
| Our Network | 95.09% | 97.90% | 96.46 | 95.10% |
| YOLOv3 | 82.31% | 86.10% | 84.15 | 83.00% |
| SSD | 85.94% | 81.39% | 82.98 | 92.36% |
| Faster RCNN | 55.18% | 95.21% | 67.75 | 90.38% |
Disclaimer/Publisher’s Note: The statements, opinions and data contained in all publications are solely those of the individual author(s) and contributor(s) and not of MDPI and/or the editor(s). MDPI and/or the editor(s) disclaim responsibility for any injury to people or property resulting from any ideas, methods, instructions or products referred to in the content. |
© 2023 by the authors. Licensee MDPI, Basel, Switzerland. This article is an open access article distributed under the terms and conditions of the Creative Commons Attribution (CC BY) license (https://creativecommons.org/licenses/by/4.0/).
Share and Cite
Wang, N.; Shang, L.; Song, X. A Transformer-Optimized Deep Learning Network for Road Damage Detection and Tracking. Sensors 2023, 23, 7395. https://doi.org/10.3390/s23177395
Wang N, Shang L, Song X. A Transformer-Optimized Deep Learning Network for Road Damage Detection and Tracking. Sensors. 2023; 23(17):7395. https://doi.org/10.3390/s23177395
Chicago/Turabian StyleWang, Niannian, Lihang Shang, and Xiaotian Song. 2023. "A Transformer-Optimized Deep Learning Network for Road Damage Detection and Tracking" Sensors 23, no. 17: 7395. https://doi.org/10.3390/s23177395
APA StyleWang, N., Shang, L., & Song, X. (2023). A Transformer-Optimized Deep Learning Network for Road Damage Detection and Tracking. Sensors, 23(17), 7395. https://doi.org/10.3390/s23177395


