Multi-Temporal Hyperspectral Classification of Grassland Using Transformer Network
Abstract
1. Introduction
2. Materials and Methods
2.1. Study Area
2.2. Framework
- (i)
- Collect field grassland species by multi-temporal hyperspectral data;
- (ii)
- Extract spectral characteristics of multi-temporal grassland;
- (iii)
- Utilize these data to construct the MHCgT network;
- (iv)
- Optimize the network by performing an iterative accuracy assessment.
2.3. Data Acquisition
2.4. Object-Based Classification
- Positional encoding is added to the grassland multi-temporal hyperspectral data to solve the problem of matching the position part of the transformer network with the time series scene.
- The multi-head self-attention encoder block is employed to realize feature extraction and to process the remote dependence of spectral band information of hyperspectral data.
- The hierarchical architecture of MHCgT generates a multi-resolution representation beneficial to the classification of the grass hyperspectral time series. And the encoder blocks are directly connected, effectively reducing the time and memory complexity.
2.4.1. Positional Encoding
2.4.2. Multi-Head Self-Attention Mechanism
2.4.3. Encoder Block
2.4.4. Classification Layer
2.5. Accuracy Assessment
3. Results
3.1. Multi-Temporal Hyperspectral Data of Grassland
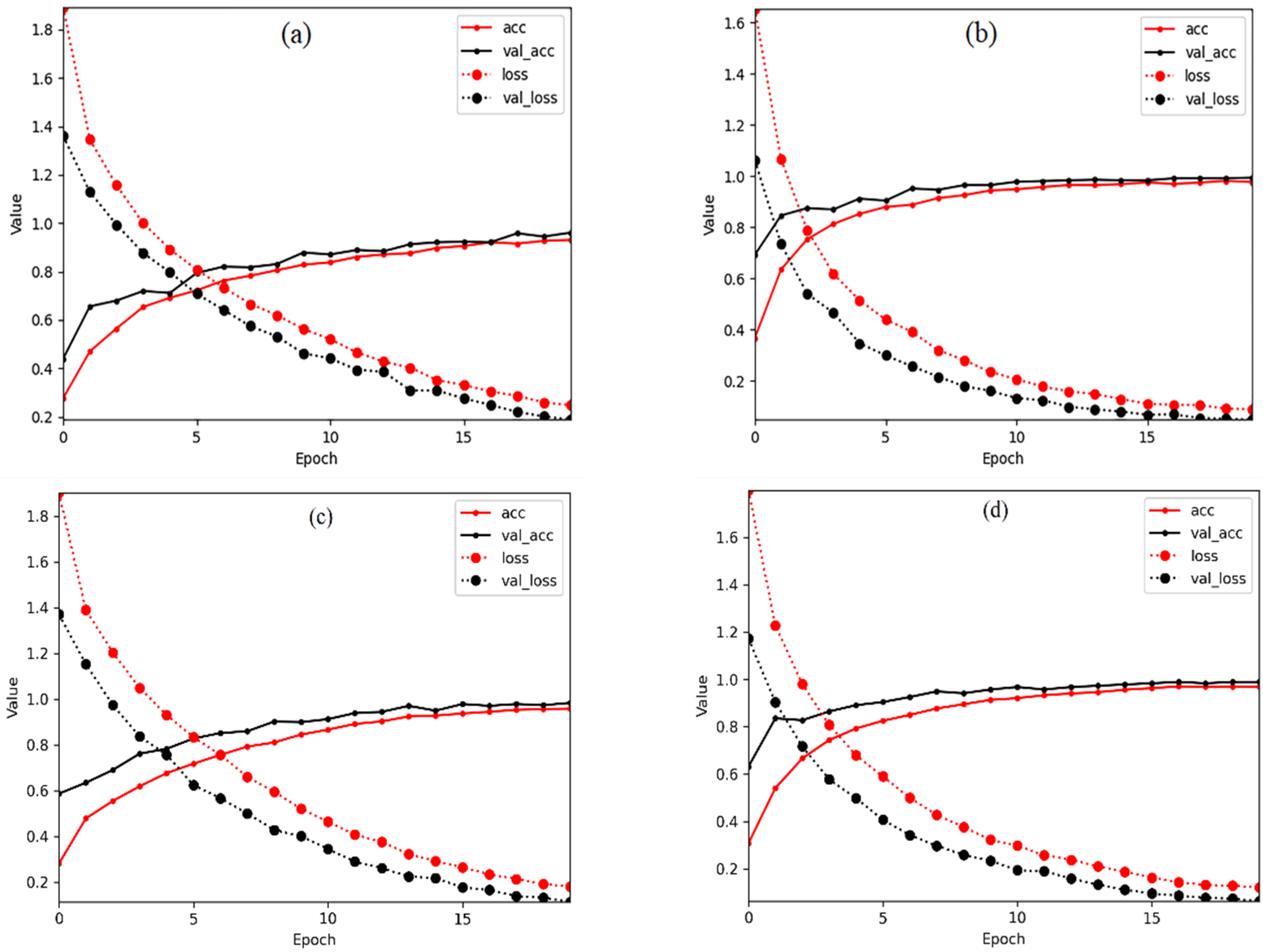
3.2. Classification Results
3.3. Ablation Studies
4. Discussion
4.1. Multi-Temporal Hyperspectral Analysis
4.2. Classification Method
5. Conclusions
Author Contributions
Funding
Institutional Review Board Statement
Informed Consent Statement
Data Availability Statement
Conflicts of Interest
References
- Dao, P.; Axiotis, A.; He, Y. Mapping native and invasive grassland species and characterizing topography-driven species dynamics using high spatial resolution hyperspectral imagery. Int. J. Appl. Earth Obs. Geoinf. 2021, 104, 102542. [Google Scholar] [CrossRef]
- Sankey, J.; Sankey, T.; Li, J.; Ravi, S.; Wang, G.; Caster, J.; Kasprak, A. Quantifying plant-soil-nutrient dynamics in rangelands: Fusion of UAV hyperspectral-LiDAR, UAV multispectral-photogrammetry, and ground-based LiDAR-digital photography in a shrub-encroached desert grassland. Remote Sens. Environ. 2021, 253, 112223. [Google Scholar] [CrossRef]
- Lyu, X.; Li, X.; Dang, D.; Dou, H.; Xuan, X.; Liu, S.; Li, M.; Gong, J. A new method for grassland degradation monitoring by vegetation species composition using hyperspectral remote sensing. Ecol. Indic. 2020, 114, 106310. [Google Scholar] [CrossRef]
- Abebe, G.; Tadesse, T.; Gessesse, B. Estimating Leaf Area Index and biomass of sugarcane based on Gaussian process regression using Landsat 8 and Sentinel 1A observations. Int. J. Image Data Fusion 2023, 14, 58–88. [Google Scholar] [CrossRef]
- Jamshidi, S.; Zand-Parsa, S.; Niyogi, D. Assessing crop water stress index of citrus using in-situ measurements, Landsat, and Sentinel-2 data. Int. J. Remote Sens. 2021, 42, 1893–1916. [Google Scholar] [CrossRef]
- Niyogi, D.; Jamshidi, S.; Smith, D.; Kellner, O. Evapotranspiration climatology of Indiana using in situ and remotely sensed products. J. Appl. Meteorol. Climatol. 2020, 59, 2093–2111. [Google Scholar] [CrossRef]
- Ha, T.V.; Huth, J.; Bachofer, F.; Kuenzer, C. A Review of Earth Observation-Based Drought Studies in Southeast Asia. Remote Sens. 2022, 14, 3763. [Google Scholar] [CrossRef]
- Sun, J.; Ongsomwang, S. Multitemporal land use and land cover classification from time-series Landsat datasets using Harmonic analysis with a minimum spectral distance algorithm. ISPRS Int. J. Geo-Inf. 2020, 9, 67. [Google Scholar] [CrossRef]
- Siesto, G.; Fernández-Sellers, M.; Lozano-Tello, A. Crop classification of Satellite imagery using synthetic multitemporal and multispectral images in Convolutional Neural Networks. Remote Sens. 2021, 13, 3378. [Google Scholar] [CrossRef]
- Somers, B.; Asner, G. Multi-temporal hyperspectral mixture analysis and feature selection for invasive species mapping in rainforests. Remote Sens. Environ. 2013, 136, 14–27. [Google Scholar] [CrossRef]
- McCann, C.; Repasky, K.; Lawrence, R.; Powell, S. Multi-temporal mesoscale hyperspectral data of mixed agricultural and grassland regions for anomaly detection. ISPRS J. Photogramm. Remote Sens. 2017, 131, 121–133. [Google Scholar] [CrossRef]
- Fan, J.; Zhou, J.; Wang, B.; de Leon, N.; Kaeppler, S.M.; Lima, D.C.; Zhang, Z. Estimation of maize yield and flowering time using multi-temporal UAV-based hyperspectral data. Remote Sens. 2022, 14, 3052. [Google Scholar] [CrossRef]
- Jamshidi, S.; Zand-parsa, S.; Pakparvar, M.; Niyogi, D. Evaluation of evapotranspiration over a semiarid segion using multiresolution data sources. J. Hydrometeorol. 2019, 20, 947–964. [Google Scholar] [CrossRef]
- Lambertini, A.; Mandanici, E.; Tini, M.A.; Vittuari, L. Technical Challenges for Multi-Temporal and Multi-Sensor Image Processing Surveyed by UAV for Mapping and Monitoring in Precision Agriculture. Remote Sens. 2022, 14, 4954. [Google Scholar] [CrossRef]
- Jahromi, M.; Jahromi, M.; Pourghasemi, H.; Zand-Parsa, S.; Jamshidi, S. Chapter 12—Accuracy assessment of forest mapping in MODIS land cover dataset using fuzzy set theory. In Forest Resources Resilience and Conflicts; Shit, P.K., Pourghasemi, H.R., Adhikary, P.P., Bhunia, G.S., Sati, V.P., Eds.; Elsevier: Amsterdam, The Netherlands, 2021; pp. 165–183. [Google Scholar] [CrossRef]
- Tagliabue, G.; Boschetti, M.; Bramati, G.; Candiani, G.; Colombo, R.; Nutini, F.; Pompilio, L.; Rivera-Caicedo, J.; Rossi, M.; Rossini, M.; et al. Hybrid retrieval of crop traits from multi-temporal PRISMA hyperspectral imagery. ISPRS J. Photogramm. Remote Sens. 2022, 187, 362–377. [Google Scholar] [CrossRef]
- Huang, H.; Li, Z.; He, H.; Duan, Y.; Yang, S. Self-adaptive manifold discriminant analysis for feature extraction from hyperspectral imagery. Pattern Recognit. 2020, 107, 107487. [Google Scholar] [CrossRef]
- Cheng, J.; Xu, Y.; Kong, L. Hyperspectral imaging classification based on LBP feature extraction and multimodel ensemble learning. Comput. Electr. Eng. 2021, 92, 107199. [Google Scholar] [CrossRef]
- Liu, C.; Li, J.; He, L. Superpixel-based semisupervised active learning for hyperspectral image classification. IEEE J. Sel. Top. Appl. Earth Obs. Remote Sens. 2019, 12, 357–370. [Google Scholar] [CrossRef]
- Melville, B.; Lucieer, A.; Aryal, J. Classification of lowland native grassland communities using hyperspectral unmanned aircraft system (UAS) imagery in the Tasmanian midlands. Drones 2019, 3, 5. [Google Scholar] [CrossRef]
- Yang, H.; Du, J. Classification of desert steppe species based on unmanned aerial vehicle hyperspectral remote sensing and continuum removal vegetation indices. Optik 2021, 247, 167877. [Google Scholar] [CrossRef]
- Jiang, T.; van der Werff, H.; van der Meer, F. Classification endmember selection with multi-temporal hyperspectral data. Remote Sens. 2020, 12, 1575. [Google Scholar] [CrossRef]
- Kluczek, M.; Zagajewski, B.; Kycko, M. Airborne HySpex hyperspectral versus multitemporal Sentinel-2 images for mountain plant communities mapping. Remote Sens. 2022, 14, 1209. [Google Scholar] [CrossRef]
- Möckel, T.; Dalmayne, J.; Prentice, H.; Eklundh, L.; Purschke, O.; Schmidtlein, S.; Hall, K. Classification of grassland successional stages using airborne hyperspectral imagery. Remote Sens. 2014, 6, 7732–7761. [Google Scholar] [CrossRef]
- Marcinkowska-Ochtyra, A.; Jarocińska, A.; Bzdęga, K.; Tokarska-Guzik, B. Classification of expansive grassland species in different growth stages based on hyperspectral and LiDAR data. Remote Sens. 2018, 10, 2019. [Google Scholar] [CrossRef]
- Gan, L.; Cao, X.; Chen, X.; He, Q.; Cui, X.; Zhao, C. Mapping Shrub Coverage in Xilin Gol Grassland with Multi-Temporal Sentinel-2 Imagery. Remote Sens. 2022, 14, 3266. [Google Scholar] [CrossRef]
- Onojeghuo, A.; Onojeghuo, A.; Cotton, M.; Potter, J.; Jones, B. Wetland mapping with multi-temporal sentinel-1 & -2 imagery (2017–2020) and LiDAR data in the grassland natural region of alberta. GIScience Remote Sens. 2021, 7, 999–1021. [Google Scholar] [CrossRef]
- Demarchi, L.; Kania, A.; Ciężkowski, W.; Piórkowski, H.; Oświecimska-Piasko, Z.; Chormański, J. Recursive feature elimination and random forest classification of natura 2000 grasslands in lowland river valleys of Poland based on airborne hyperspectral and LiDAR data fusion. Remote Sens. 2020, 12, 1842. [Google Scholar] [CrossRef]
- Yang, X.; Ye, Y.; Li, X.; Lau, R.; Zhang, X.; Huang, X. Hyperspectral image classification with deep learning models. IEEE Trans. Geosci. Remote Sens. 2018, 56, 5408–5423. [Google Scholar] [CrossRef]
- Safari, K.; Prasad, S.; Labate, D. A multiscale deep learning approach for high-resolution hyperspectral image classification. IEEE Geosci. Remote Sens. Lett. 2021, 18, 167–171. [Google Scholar] [CrossRef]
- Yang, X.; Cao, W.; Lu, Y.; Zhou, Y. Hyperspectral image Transformer classification networks. IEEE Trans. Geosci. Remote Sens. 2022, 60, 5528715. [Google Scholar] [CrossRef]
- Vaswani, A.; Shazeer, N.; Parmar, N.; Uszkoreit, J.; Jones, L.; Gomez, A.; Kaiser, L.; Polosukhin, I. Attention is all you need. In Proceedings of the NIPS’17: 31st International Conference on Neural Information Processing Systems, Long Beach, CA, USA, 4–9 December 2017. [Google Scholar] [CrossRef]
- Devlin, J.; Chang, M.; Lee, K.; Toutanova, K. Pre-training of deep bidirectional transformers for language understanding. In Proceedings of the 2019 Conference of the North American Chapter of the Association for Computational Linguistics: Human Language Technologies, Minneapolis, MN, USA, 2–7 June 2019; pp. 4171–4186. [Google Scholar] [CrossRef]
- Dosovitskiy, A.; Beyer, L.; Kolesnikov, A.; Weissenborn, D.; Zhai, X.; Unterthiner, T.; Dehghani, M.; Minderer, M.; Heigold, G.; Gelly, S.; et al. An image is worth 16x16 words: Transformers for image recognition at scale. arXiv 2021. [Google Scholar] [CrossRef]
- Wen, Q.; Zhou, T.; Zhang, C.; Chen, W.; Ma, Z.; Yan, J.; Sun, L. Transformers in time series: A survey. arXiv 2022, 07125. [Google Scholar] [CrossRef]
- Peng, Y.; Zhang, Y.; Tu, B.; Li, Q.; Li, W. Spatial–spectral Transformer with cross-attention for hyperspectral image classification. IEEE Trans. Geosci. Remote Sens. 2022, 60, 5537415. [Google Scholar] [CrossRef]
- Zhang, J.; Meng, Z.; Zhao, F.; Liu, H.; Chang, Z. Convolution Transformer mixer for hyperspectral image classification. IEEE Geosci. Remote Sens. Lett. 2022, 19, 6014205. [Google Scholar] [CrossRef]
- Qing, Y.; Liu, W.; Feng, L.; Gao, W. Improved Transformer net for hyperspectral image classification. Remote Sens. 2021, 13, 2216. [Google Scholar] [CrossRef]
- Wei, P.; Xu, L.; Pan, X.; Hu, Q.; Li, Q.; Zhang, X.; Shao, C.; Wang, C.; Wang, X. Spatio-temporal variations in vegetation types based on a climatic grassland classification system during the past 30 years in Inner Mongolia, China. Catena 2020, 185, 104298. [Google Scholar] [CrossRef]
- Lu, S. A neural network based text classification with attention mechanism. In Proceedings of the 2019 IEEE 7th International Conference on Computer Science and Network Technology (ICCSNT), Dalian, China, 19–20 October 2019; pp. 333–338. [Google Scholar] [CrossRef]
- Zhang, T.; Shi, C.; Liao, D.; Wang, L. A spectral spatial attention fusion with deformable convolutional residual network for hyperspectral image classification. Remote Sens. 2021, 13, 3590. [Google Scholar] [CrossRef]
- Zhou, D.; Kang, B.; Jin, X.; Yang, L.; Lian, X.; Hou, Q.; Feng, J. DeepViT: Towards deeper vision transformer. arXiv 2021, arXiv:2103.11886. [Google Scholar]
- Rußwurm, M.; Körner, M. Self-attention for raw optical Satellite Time Series classification. ISPRS J. Photogramm. Remote Sens. 2020, 169, 421–435. [Google Scholar] [CrossRef]
- Kupková, L.; Červená, L.; Suchá, R.; Jakešová, L.; Zagajewski, B.; Březina, S.; Albrechtová, J. Classification of Tundra Vegetation in the Krkonoše Mts. National Park using APEX, AISA Dual and Sentinel-2A data. Eur. J. Remote Sens. 2017, 50, 29–46. [Google Scholar] [CrossRef]
- Mäyrä, J.; Keski-Saari, S.; Kivinen, S.; Tanhuanpää, T.; Hurskainen, P.; Kullberg, P.; Poikolainen, L.; Viinikka, A.; Tuominen, S.; Kumpula, T.; et al. Tree species classification from airborne hyperspectral and LiDAR data using 3D convolutional neural networks. Remote Sens. Environ. 2021, 256, 112322. [Google Scholar] [CrossRef]
- Zagajewski, B.; Kluczek, M.; Raczko, E.; Njegovec, A.; Dabija, A.; Kycko, M. Comparison of Random Forest, Support Vector Machines, and Neural Networks for post-disaster forest species mapping of the Krkonoše/Karkonosze transboundary biosphere reserve. Remote Sens. 2021, 13, 2581. [Google Scholar] [CrossRef]







| Class | Name | 2020 | 2021 | Samples | ||
|---|---|---|---|---|---|---|
| June | August | June | August | |||
| 1 | Medicago sativa | 600 | 600 | 600 | 600 | 2400 |
| 2 | Medicago ruthenica | 600 | 600 | 600 | 600 | 2400 |
| 3 | Elymus Canadensis | 600 | 600 | 600 | 600 | 2400 |
| 4 | Hordeum brevisubulatum | 600 | 600 | 600 | 600 | 2400 |
| 5 | Medicago varia | 600 | 600 | 600 | 600 | 2400 |
| 6 | Onobrychis viciaefolia | 600 | 600 | 600 | 600 | 2400 |
| 7 | Bromus ciliatus | 600 | 600 | 600 | 600 | 2400 |
| Total | - | 4200 | 4200 | 4200 | 4200 | 16,800 |
| Parameter | Setting | Parameter | Setting |
|---|---|---|---|
| Num heads | 8 | Lr | 1 × 10−3 |
| Ff dim | 64 | Beta 1 | 0.9 |
| Num transformer blocks | 4 | Beta 2 | 0.98 |
| Mlp units | 125 | Epsilon | 1 × 10−9 |
| Mlp dropout | 0.4 | Batch size | 125 |
| Dropout | 0.25 | Epochs | 20 |
| Class | Name | 2020 | 2021 | Average Accuracy | ||
|---|---|---|---|---|---|---|
| June | August | June | August | |||
| 1 | Medicago sativa | 90 | 100 | 93.33 | 100 | 95.83 |
| 2 | Medicago ruthenica | 95 | 96.67 | 96.67 | 98.33 | 96.67 |
| 3 | Elymus Canadensis | 100 | 96.67 | 98.33 | 98.33 | 98.33 |
| 4 | Hordeum brevisubulatum | 100 | 98.33 | 98.33 | 98.33 | 98.75 |
| 5 | Medicago varia | 93.33 | 100 | 100 | 100 | 98.33 |
| 6 | Onobrychis viciaefolia | 100 | 100 | 98.33 | 98.33 | 99.17 |
| 7 | Bromus ciliatus | 96.67 | 96.67 | 93.33 | 96.67 | 95.84 |
| - | - | 96.43 | 98.33 | 96.90 | 98.57 | - |
| Training Sets | Training Samples | Testing Samples | Loss | Accuracy |
|---|---|---|---|---|
| 10% | 1680 | 15,120 | 1.3995 | 0.5086 |
| 20% | 3360 | 13,440 | 1.0376 | 0.6305 |
| 30% | 5040 | 11,760 | 0.7957 | 0.7413 |
| 40% | 6720 | 10,080 | 0.5902 | 0.8282 |
| 50% | 8400 | 8400 | 0.3303 | 0.9181 |
| 60% | 10,080 | 6720 | 0.2479 | 0.9331 |
| 70% | 11,760 | 5040 | 0.1538 | 0.9603 |
| 80% | 13,440 | 3360 | 0.1164 | 0.9743 |
| 90% | 15,120 | 1680 | 0.0829 | 0.9792 |
| Method | MHCgT | CNN | LSTM-RNN | SVM | RF | DT |
|---|---|---|---|---|---|---|
| Accuracy (%) | 97.92 | 85.36 | 91.50 | 84.29 | 82.56 | 71.69 |
| Author | Spectral Range | No. of Classes | Object of Classification | Algorithm | Accuracy (%) |
|---|---|---|---|---|---|
| Our results | 400–1000 nm | 7 | Grass species | MHCgT | 97.92 |
| Kupková et al. [44] | 400–2500 nm | 7 | Mountain vegetation communities | SVM | 84.3 |
| Melville et al. [20] | 600–875 nm | 4 | Grassland communities | RF | 93 |
| Yang et al. [21] | 400–1000 nm | 3 | Desert steppe species | DT | 87 |
| Kluczek et al. [23] | 416–995 nm | 13 | Mountain forest and non-forest plant communities | RF | 98.5 |
| 954–2510 nm | SVM | 95.3 | |||
| Mäyrä et al. [45] | 406–995 nm | 4 | Tree species | 3D-CNN | 87 |
| ANN | 81.7 | ||||
| 956–2525 nm | SVM | 82.4 | |||
| RF | 70.3 | ||||
| Zagajewski et al. [46] | 413–2440 nm | 4 | Mountain forest | SVM | 87 |
| RF | 83 | ||||
| ANN | 84 |
Disclaimer/Publisher’s Note: The statements, opinions and data contained in all publications are solely those of the individual author(s) and contributor(s) and not of MDPI and/or the editor(s). MDPI and/or the editor(s) disclaim responsibility for any injury to people or property resulting from any ideas, methods, instructions or products referred to in the content. |
© 2023 by the authors. Licensee MDPI, Basel, Switzerland. This article is an open access article distributed under the terms and conditions of the Creative Commons Attribution (CC BY) license (https://creativecommons.org/licenses/by/4.0/).
Share and Cite
Zhao, X.; Zhang, S.; Shi, R.; Yan, W.; Pan, X. Multi-Temporal Hyperspectral Classification of Grassland Using Transformer Network. Sensors 2023, 23, 6642. https://doi.org/10.3390/s23146642
Zhao X, Zhang S, Shi R, Yan W, Pan X. Multi-Temporal Hyperspectral Classification of Grassland Using Transformer Network. Sensors. 2023; 23(14):6642. https://doi.org/10.3390/s23146642
Chicago/Turabian StyleZhao, Xuanhe, Shengwei Zhang, Ruifeng Shi, Weihong Yan, and Xin Pan. 2023. "Multi-Temporal Hyperspectral Classification of Grassland Using Transformer Network" Sensors 23, no. 14: 6642. https://doi.org/10.3390/s23146642
APA StyleZhao, X., Zhang, S., Shi, R., Yan, W., & Pan, X. (2023). Multi-Temporal Hyperspectral Classification of Grassland Using Transformer Network. Sensors, 23(14), 6642. https://doi.org/10.3390/s23146642

