Quantitative Visualization of Buried Defects in GFRP via Microwave Reflectometry
Abstract
1. Introduction
2. Theoretical Analysis and Simulations
2.1. Theoretical Analysis of Microwave Response to a Dielectric Material
2.2. The Equivalent Relative Permittivity of GFRP and Simulations
3. Experiments for Quantitative Screening of Buried Defects
3.1. Experimental System Setup
3.2. Defect Testing and Imaging at Different Wave-Polarization Angles
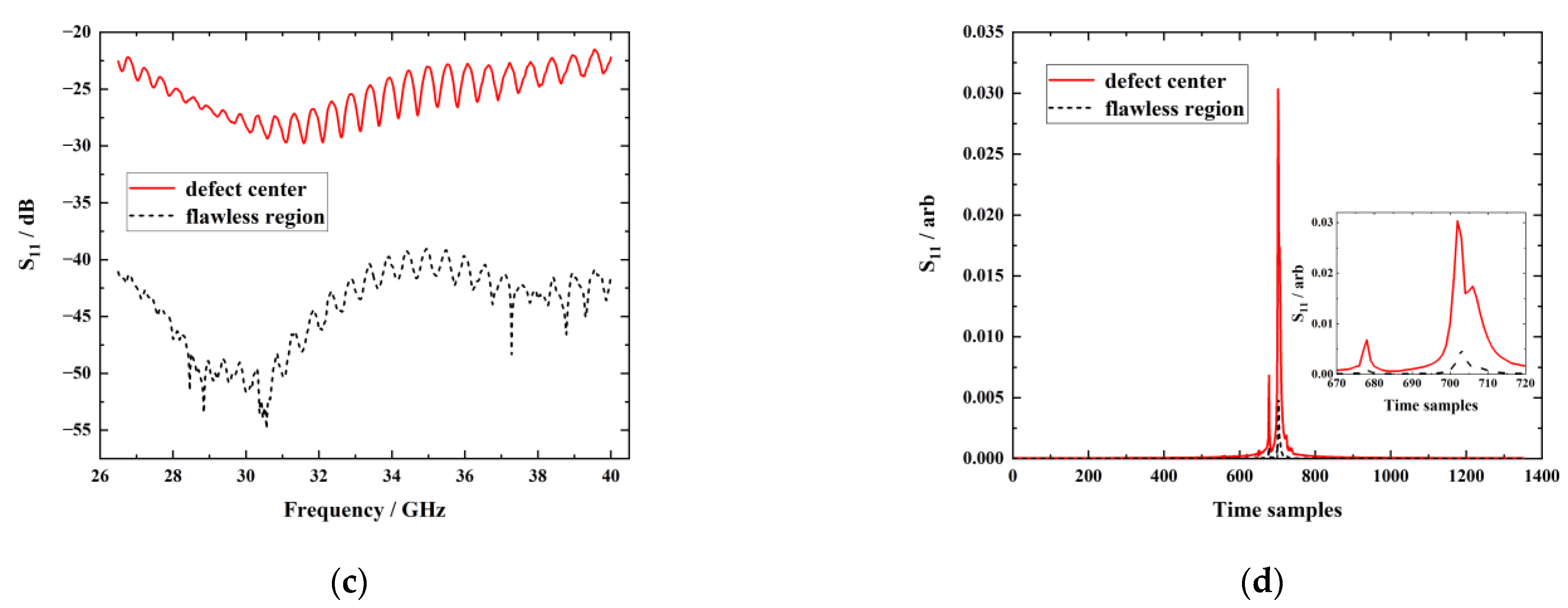
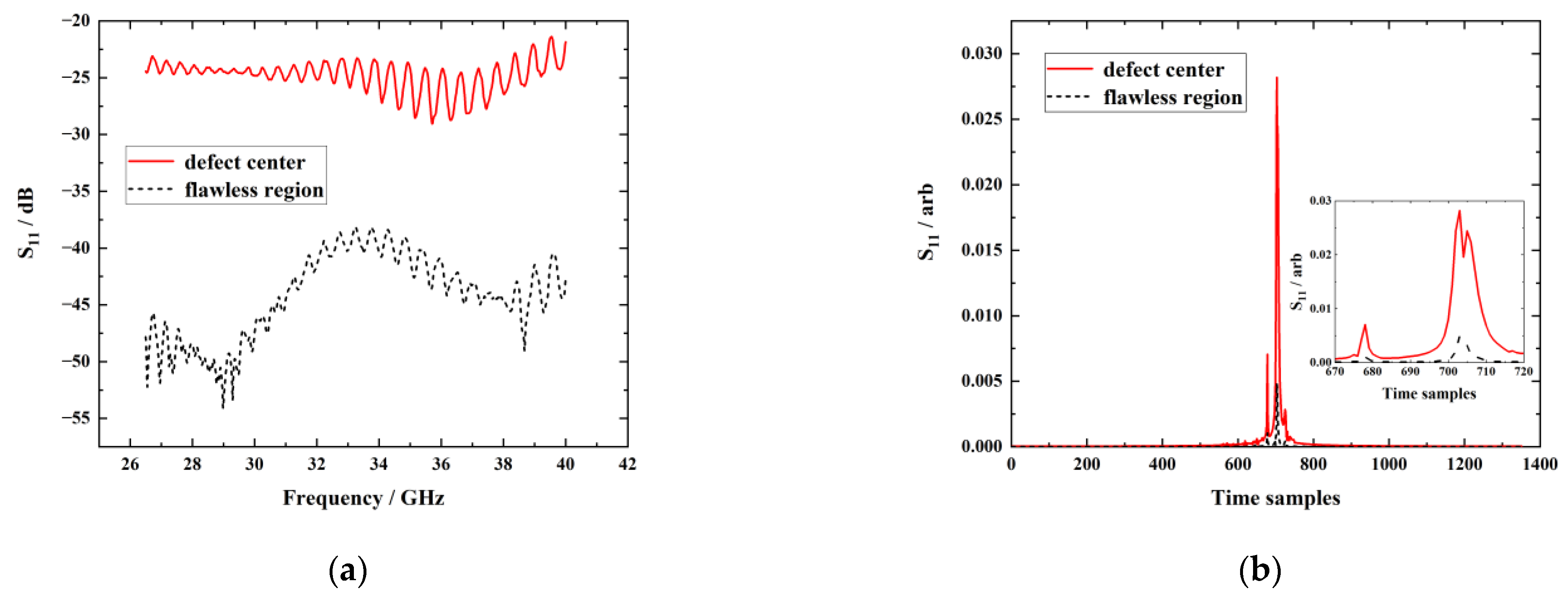
3.3. Proposition of the Direct-Wave Suppression Method
3.4. Assessment of the Defect in-Plane Area
- Step 1: image interpolation. The number of pixel points is expanded from W × H to (nW) × (nH), so the image resolution unit is reduced from A to A/n2. The number of pixel points in Figure 11 is increased 16 times, as shown in Figure 12a,d, along with the resolution unit reducing from 2 mm × 2 mm to 0.5 mm × 0.5 mm;
- Step 2: feature enhancement. The image obtained from step 1 is converted into a grayscale image with pixel values ranging from 0 to 255, and then linear transformation on the grayscale image is performed as Equation (10):where, J is the pixel-value matrix of the defect image after linear grayscale transformation. I is the pixel-value matrix of the grayscale image obtained from step 1. If the value of a certain point in J is less than 0, it is considered as 0, similarly, if it is greater than 255, it is considered as 255. The coefficients, i.e., τ and γ are set as 64 and 11, respectively, in Equation (10) to enhance the defect features in Figure 12a,d. The enhancement results are shown in Figure 12b,e. It can be seen that the linear grayscale transformation method can make the small values in the defect image smaller and the large values larger, thereby further suppressing the background, enhancing the pixel values at the defect region, and thus the defect features are enhanced;
- Step 3: defect edge recognition. As the Sobel operator performs weighted processing on the influence of pixel positions, it can better handle images with grayscale gradients and high noise levels. The Sobel operator is utilized to identify the defect edges in Figure 12b,e, and the identification results are shown in Figure 12c,f. The figure shows that the final defect-edge recognition effect of back surface material loss of letter shape with the microwave polarization direction parallel to the fiber direction is better and clearer than that with the orthogonal scenario.
4. Concluding Remarks
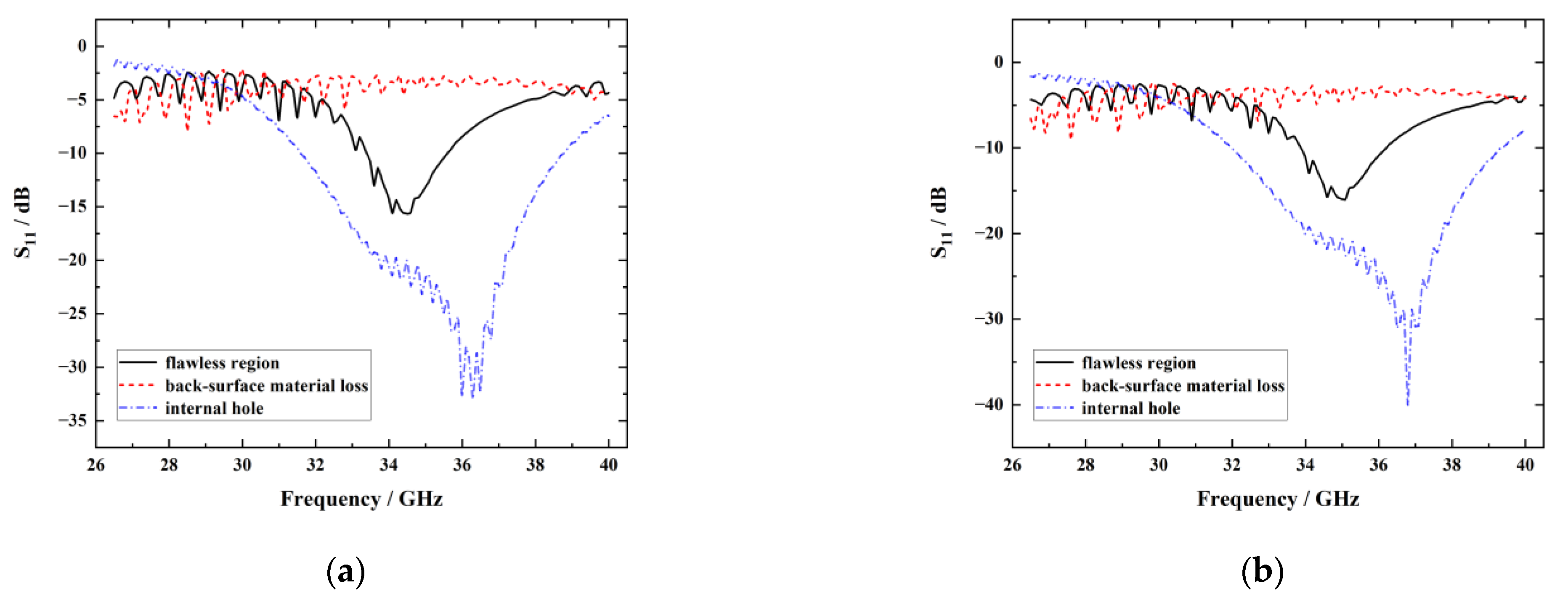
- The simulated and experimental signals imply that regardless of the flawless region or the defect center, when the wave polarization direction is parallel to the fiber direction, the amplitude of S11 is greater than that with the orthogonal scenario;
- The proposed direct wave suppression method can effectively suppress the direct-wave components in testing signals, significantly amplify the difference of signals between the defect center and the flawless region, and upgrade the quality of defect images. The minimum size of the detected defect can reach 2 mm;
- The proposed defect edge identification method can availably evaluate the in-plane area of buried defects in GFRP. Both the contrast ratio of the defect image and the averaged relative error of assessment results regarding the defect in-plane area with two-angle scenarios imply that when the wave-polarization direction is parallel to the fiber direction, the testing sensitivity for GFRP buried defects is higher.
Author Contributions
Funding
Institutional Review Board Statement
Informed Consent Statement
Data Availability Statement
Conflicts of Interest
References
- Hollaway, L.C. A review of the present and future utilisation of FRP composites in the civil infrastructure with reference to their important in-service properties. Constr. Build. Mater. 2010, 24, 2419–2445. [Google Scholar] [CrossRef]
- Wu, Z.; Xin, W.; Zhao, X.; Noori, M. State-of-the-art review of FRP composites for major construction with high performance and longevity. Int. J. Sustain. Mater. Struct. Syst. 2014, 1, 201–231. [Google Scholar] [CrossRef]
- Wang, X.; Ding, S.; Qiu, A.; Ashour, A.; Wang, Y.; Han, B.; Ou, J. Improving bond of fiber-reinforced polymer bars with concrete through incorporating nanomaterials. Compos. Part B Eng. 2022, 239, 109960. [Google Scholar] [CrossRef]
- Das, R.K.; Nayak, B.; Gautam, S.S.; Rana, N.K. Fabrication and characterisation of GFRP composite as skin material of sandwich structure. Mater. Today Proc. 2023, 76, 569–572. [Google Scholar] [CrossRef]
- Aravind, N.; Samanta, A.K. Theoretical analysis on flexural strengthening of RC beams using GFRP composites in terms of strength to the weight ratio: A way forward. Mater. Today Proc. 2023, in press. [Google Scholar] [CrossRef]
- Reis, J.M.L.; Martins, F.D.F.; Mattos, H.S.D.C. Influence of ageing in the failure pressure of a GFRP pipe used in oil industry. Eng. Fail. Anal. 2017, 71, 120–130. [Google Scholar] [CrossRef]
- Fang, H.; Bai, Y.; Liu, W.; Qi, Y.; Wang, J. Connections and structural applications of fibre reinforced polymer composites for civil infrastructure in aggressive environments. Compos. Part B Eng. 2019, 164, 129–143. [Google Scholar] [CrossRef]
- Manalo, A.; Aravinthan, T.; Fam, A.; Benmokrane, B. State-of-the-art review on FRP sandwich systems for lightweight civil infrastructure. J. Compos. Constr. 2017, 21, 04016068. [Google Scholar] [CrossRef]
- Seifoori, S.; Parrany, A.M.; Mirzarahmani, S. Impact damage detection in CFRP and GFRP curved composite laminates subjected to low-velocity impacts. Compos. Struct. 2021, 261, 113278. [Google Scholar] [CrossRef]
- Castellano, A.; Fraddosio, A.; Piccioni, M.D. Quantitative analysis of QSI and LVI damage in GFRP unidirectional composite laminates by a new ultrasonic approach. Compos. Part B Eng. 2018, 151, 106–117. [Google Scholar] [CrossRef]
- Asokkumar, A.; Jasiuniene, E.; Raisutis, R.; Kazys, R.J. Comparison of ultrasonic non-contact air-coupled techniques for characterization of impact-type defects in pultruded GFRP composites. Materials 2021, 14, 1058. [Google Scholar] [CrossRef] [PubMed]
- Wu, Z.; Tao, N.; Zhang, C.; Sun, J. Prediction of defect depth in GFRP composite by square-heating thermography. Infrared Phys. Technol. 2023, 130, 104627. [Google Scholar] [CrossRef]
- Garcea, S.C.; Wang, Y.; Withers, P.J. X-ray computed tomography of polymer composites. Compos. Sci. Technol. 2018, 156, 305–319. [Google Scholar] [CrossRef]
- Li, Z.; Haigh, A.; Soutis, C.; Gibson, A.; Wang, P. A review of microwave testing of glass fibre-reinforced polymer composites. Nondestruct. Test. Eval. 2019, 34, 429–458. [Google Scholar] [CrossRef]
- Li, Z.; Zhou, L.; Lei, H.; Pei, Y. Microwave near-field and far-field imaging of composite plate with hat stiffeners. Compos. Part B Eng. 2019, 161, 87–95. [Google Scholar] [CrossRef]
- Mei, H.; Chen, J.; Fu, X.; Wang, L.; Guan, Z. Microwave reflection method for composite insulator internal defect detection. In Proceedings of the 12th IET International Conference on AC and DC Power Transmission (ACDC 2016), Beijing, China, 28–29 May 2016. [Google Scholar]
- Wang, P.; Zhou, L.; Liu, G.; Pei, Y. In situ near-field microwave characterization and quantitative evaluation of phase change inclusion in honeycomb composites. NDT E Int. 2021, 121, 102469. [Google Scholar] [CrossRef]
- Yu, Y.; Li, Y.; Qin, H.; Cheng, X. Microwave measurement and imaging for multiple corrosion cracks in planar metals. Mater. Des. 2020, 196, 109151. [Google Scholar] [CrossRef]
- Rahman, M.S.U.; Haryono, A.; Abou-Khousa, M.A. Microwave non-destructive evaluation of glass reinforced epoxy and high density polyethylene pipes. J. Nondestruct. Eval. 2020, 39, 26. [Google Scholar] [CrossRef]
- Shrifan, N.H.M.M.; Jawad, G.N.; Isa, N.A.M.; Akbar, M.F. Microwave nondestructive testing for defect detection in composites based on k-means clustering algorithm. IEEE Access 2021, 9, 4820–4828. [Google Scholar] [CrossRef]
- Wang, P.; Li, Z.; Zhou, L.; Pei, Y. Microwave nondestructive detection and quantitative evaluation of kissing defects in GFRP laminates. Compos. Sci. Technol. 2018, 162, 117–122. [Google Scholar] [CrossRef]
- Sutthaweekul, R.; Tian, G.Y.; Wang, Z.; Ciampa, F. Microwave open-ended waveguide for detection and characterisation of FBHs in coated GFRP pipes. Compos. Struct. 2019, 225, 111080. [Google Scholar] [CrossRef]
- Shrifan, N.H.M.M.; Akbar, M.F.; Isa, N.A.M. Maximal overlap discrete wavelet-packet transform aided microwave nondestructive testing. NDT E Int. 2021, 119, 102414. [Google Scholar] [CrossRef]
- Kharkovsky, S.; Zoughi, R. Microwave and millimeter wave nondestructive testing and evaluation—Overview and recent advances. IEEE Intum. Meas. Mag. 2007, 10, 26–38. [Google Scholar] [CrossRef]
- Li, Z.; Haigh, A.; Soutis, C.; Gibson, A.; Sloan, R. Dielectric constant of a three-dimensional woven glass fibre composite: Analysis and measurement. Compos. Struct. 2017, 180, 853–861. [Google Scholar] [CrossRef]
- Ida, N. The electromagnetic field equations and theoretical aspects. In Microwave NDT; Springer: Berlin/Heidelberg, Germany, 1992; pp. 1–38. [Google Scholar]
- Mirotznik, M.S.; Yarlagadda, S.; McCauley, R.; Pa, P. Broadband electromagnetic modeling of woven fabric composites. IEEE Trans. Microw. Theory Tech. 2011, 60, 158–169. [Google Scholar] [CrossRef]
- Liu, C.; Song, C.; Lu, Q. Random noise de-noising and direct wave eliminating based on SVD method for ground penetrating radar signals. J. Appl. Geophys. 2017, 144, 125–133. [Google Scholar] [CrossRef]














| Frequency Range | Stand-off Distance b | Specimen Size L × a | Size of the Back-Surface Wall-Thinning Defect w1 × h1 | Size of the Internal Hole w2 × h2 |
|---|---|---|---|---|
| 26.5 GHz~40 GHz | 1 mm | 6 mm | 3 mm | 2 mm |
| Equivalent Relative Permittivity | Flawless Region | Back-Surface Material Loss | Internal Hole |
|---|---|---|---|
| −6.23 dB | −3.89 dB | −12.41 dB | |
| −6.47 dB | −4.10 dB | −12.64 dB |
| Frequency Range | Frequency Samples | Scanning Interval | Stand-off Distance |
|---|---|---|---|
| 26.5 GHz~40 GHz | 1351 | 2 mm | 1 mm |
| Wave-Polarization Angle | Parallel Case | Orthogonal Case |
|---|---|---|
| Contrast ratio | 5.7765 | 4.9937 |
Disclaimer/Publisher’s Note: The statements, opinions and data contained in all publications are solely those of the individual author(s) and contributor(s) and not of MDPI and/or the editor(s). MDPI and/or the editor(s) disclaim responsibility for any injury to people or property resulting from any ideas, methods, instructions or products referred to in the content. |
© 2023 by the authors. Licensee MDPI, Basel, Switzerland. This article is an open access article distributed under the terms and conditions of the Creative Commons Attribution (CC BY) license (https://creativecommons.org/licenses/by/4.0/).
Share and Cite
Wang, R.; Fang, Y.; Gao, Q.; Li, Y.; Yang, X.; Chen, Z. Quantitative Visualization of Buried Defects in GFRP via Microwave Reflectometry. Sensors 2023, 23, 6629. https://doi.org/10.3390/s23146629
Wang R, Fang Y, Gao Q, Li Y, Yang X, Chen Z. Quantitative Visualization of Buried Defects in GFRP via Microwave Reflectometry. Sensors. 2023; 23(14):6629. https://doi.org/10.3390/s23146629
Chicago/Turabian StyleWang, Ruonan, Yang Fang, Qianxiang Gao, Yong Li, Xihan Yang, and Zhenmao Chen. 2023. "Quantitative Visualization of Buried Defects in GFRP via Microwave Reflectometry" Sensors 23, no. 14: 6629. https://doi.org/10.3390/s23146629
APA StyleWang, R., Fang, Y., Gao, Q., Li, Y., Yang, X., & Chen, Z. (2023). Quantitative Visualization of Buried Defects in GFRP via Microwave Reflectometry. Sensors, 23(14), 6629. https://doi.org/10.3390/s23146629

