A Rigorous and Integrated On-Water Monitoring System for Performance and Technique Improvement in Rowing
Abstract
1. Introduction
2. Background and Motivation
- The boat subsystem, being responsible for the parameters concerned with the rowing boat equipment and the technique the athlete applies,
- The athlete subsystem, which refers to the biomechanical parameters affecting the athlete’s body movements.
- The conceptualization, testing, and adoption of an individual set of parameters that can reliably describe the rowing technique and standardize the classification of rowing performance,
- The construction and testing of an on-water, portable monitoring system for a single scull aiming at recording all necessary variables to provide sufficient data for computing the parameters of the previous step.
3. Conceptualization and Implementation of Proposed On-Water Rowing System
3.1. Parameters for Summarizing Performance and Technique
3.1.1. Key Performance Indicators (KPIs)
- Rowing boat kinematics parameters
- 2.
- Rowing technique parameters
3.1.2. Critical Input Elements (CIEs)
- Parameters of regularity (symmetry and synchronization) during rowing technique:
- Difference in the horizontal angles between the left and right oar in the transition phases during the “catch”, “drive”, and “finish” versus the time lag of their achievement (deg versus ms); indicates the degree of symmetry and synchronization of the horizontal movement of the oars during the stroke cycle. This results in three pairs of values.
- Synchronization of the vertical angle between left and right oars during the application of maximum force into the stroke cycle (deg): indicates the degree of symmetry and synchronization of the sunk oars at the moment of the application of the maximum force in the stroke.
- Symmetry of the horizontal and vertical angles for each oar at the moment of application of the maximum force during the stroke cycle (deg versus deg): indicates symmetry for the positions of the oars at the moment of application of the maximum force on the strokes.
- Symmetry of the maximum application force to the stroke between the left and right oars during the “drive” phase (N): indicates the degree of symmetry and synchronization of the maximum force applied by the athlete through the oars to the gate.
- Parameters of incorrect technique applied at the rowing cycle:
- Incorrect sequence of movements during the “drive” phase of the stroke cycle (cm): the correct sequence of engagement of the three main muscle groups of the rower’s body in order to produce force during the drive phase is not maintained. The correct sequence dictates first the use of the quadriceps of the legs (legs), the back, and finally the biceps of the arms (arms). Thus, the correct sequence is legs–back–arms, and an error in this sequence will cause a regression of the athlete’s seat at the end of driving phase.
3.2. System Design
3.2.1. System Requirements
- System prototype functionality/durability: The proposed system has to be as light as possible while offering a high degree of autonomy to ensure smooth operation, even in abrupt operational conditions.
- Requirements for high-quality field measurements: High precision, high reliability of synchronized measurements, and high data availability are critical in order to monitor and successfully extract the athlete’s technique.
3.2.2. Sensor Types and Technical Specifications
- The boat’s kinematics acquisition subsystem
- 2.
- The athlete’s and boat’s equipment kinetics acquisition subsystem
- Applied force on the oar rings: potentiometer bearing maximum dimensions of 7 × 5 × 10 mm (L × W × H), so that it can be integrated into the oar lock by the gate point of the boat. It features a measurement range up to 1 kN (about 100 kg), is waterproof, and accounts for an accuracy better than 10 N (approx. 1 kg).
- Applied force at the soles of the rower’s feet: piezoelectric bearing area dimensions in the range of a typical foot (~25 × 15 cm) and thickness ≤1 mm, easily adjusted to fit on the shoes fixed on the boat, be flexible enough to adapt to the shape of the sole, be waterproof, have a measuring range of up to 50 kg per sole, and measure force with an accuracy better than 1 kg.
- Linear position of the athlete’s seat: lightweight potentiometer, easily fitted under the rails of the seat, water-resistant, featuring a minimum measuring range of 0.70 m and a minimum accuracy of 1 mm.
- Oar angle measurement sensor: potentiometer bearing the maximum physical dimensions of 25 × 25 × 25 mm (L × W × H) to allow integration in the oar lock by the boat gate, waterproof, featuring a minimum angle measurement range of 120 deg and an accuracy of at least 1.0 deg (equivalent to an oar blade displacement of about ±1 cm).
- Joint angle measurement sensor on the rower’s limbs: strain gauge electrogoniometers bearing the maximum dimensions up to 25 × 50 × 20 mm (L × W × H) to allow fitting on the athlete’s limbs (elbow, hip), maximum weight of 30 g, waterproof, featuring a minimum range angle of 180 deg and an accuracy of better than 1.0 deg.
3.3. Rowing System Fabrication and Calibration
3.3.1. Monitoring Sensors Characteristics and Accessories
- Boat’s kinematic data acquisition subsystem
- 2.
- Athlete’s and boat’s equipment kinetic data acquisition subsystem
3.3.2. Oarlock Retrofit and Installation
- Oar ring retrofit: A rigid metal blade was placed on the inner side of the oar ring, where the paddle rests, to monitor its vertical movement and transfer the rotation to the potentiometer, as shown in Figure 2b.
3.3.3. Central Unit Fabrication
3.3.4. Rowing System Setup and Calibration
- Angle sensors placed to record instantaneous oar direction using a high precision geodetic Total Station,
- Linear displacement sensors of the seat, using a high precision geodetic Total Station,
- Force measurement sensors using a tension compression machine (MTS Insight 10 kN).
3.4. Data Acquisition Software
3.4.1. Data Logging Software
3.4.2. Data Handling Software
3.4.3. Coordinate System Transformation
3.5. Data Processing Software
3.5.1. Data Logs Synchronization and Filtering
3.5.2. Data Logs Unit Conversion and Initialization
3.5.3. Stroke Cycle Extraction and Normalization
- During the “recovery” phase, the boat exhibits the highest speed during the stroke cycle and, therefore, maintains better balance.
- The sign change of the horizontal angle (positive to negative transition) is in the midtime of the recovery phase.
- The horizontal angle’s zero value is fixed and is independent of the athlete, the equipment settings, and the characteristics of the stroke cycle.
4. On-Water Rowing System Operational Testing and Preliminary Results
4.1. Operational Testing Design of On-Water Rowing Monitoring System
- Slow rowing rate—Slow and steady stroke rate (20 spm) throughout the course.
- Rowing rate in race profile. This includes: (i) initially, 10 strokes at the fastest possible rowing rate, i.e., conditions of maximum boat acceleration at the start, (ii) 15 strokes at a fast rowing rate between 30–32 spm, i.e., constant speed conditions (maintenance), and (iii) 10 strokes with the fastest rowing rate, i.e., conditions of maximum acceleration at the finish.
- First rowing technique error—A slow and steady rowing rate (20 spm) throughout the stroke with the athlete’s hands in the ‘recovery’ phase, returning the oars slower than normal in the ‘catch’ phase.
- Second error in rowing technique—Slow and steady rowing rate (20 spm) throughout the stroke with the wrong technique in the ‘catch’ phase, where the athlete applies minimal force to the legs and has elevated their back.
- Third error in rowing technique—Slow, steady rowing rate (20 spm) throughout the course with incorrect technique in the “catch” phase until just before the “recovery”, where the athlete does not apply maximum force to the oars with the required angular velocity.
4.2. Rowing Data Processing
4.2.1. Processing of Raw Collected Data
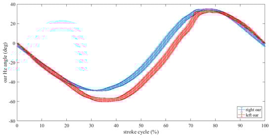
4.2.2. Illustration of Sensors’ Processed Data
4.3. Illustration of Computed KPI and CIE Parameters
4.3.1. KPIs Results from Rowing Testing Data
4.3.2. CIEs Results from Rowing Testing Data
5. Concluding Remarks and Outlook
Author Contributions
Funding
Institutional Review Board Statement
Informed Consent Statement
Data Availability Statement
Acknowledgments
Conflicts of Interest
References
- Smith, R.; Loschner, C. Biomechanics feedback for rowing. J. Sports Sci. 2002, 20, 783–791. [Google Scholar] [CrossRef] [PubMed]
- Baudouin, A.; Hawkins, D. Investigation of biomechanical factors affecting rowing performance. J. Biomech. 2004, 37, 969–976. [Google Scholar] [CrossRef] [PubMed]
- Clara, S.; Hume, P.A. Towards an Ideal Rowing Technique for Performance. Sports Med. 2004, 34, 825–848. [Google Scholar]
- Ma, M.; Xu, Y.; Xiang, Z.; Yang, X.; Guo, J.; Zhao, Y.; Hou, Z.; Feng, Y.; Chen, J.; Yuan, Y. Functional whole-brain mechanisms underlying effects of tDCS on athletic performance of male rowing athletes revealed by resting-state fMRI. Front. Psychol. 2022, 13, 1002548. [Google Scholar] [CrossRef] [PubMed]
- Volianitis, S.; Yoshiga, C.C.; Secher, N.H. The physiology of rowing with perspective on training and health. Eur. J. Appl. Physiol. 2020, 120, 1943–1963. [Google Scholar] [CrossRef]
- Antoniou, C.; Gikas, V.; Papathanasopoulou, V.; Mpimis, T.; Perakis, H.; Kyriazis, C. A framework for risk reduction for indoor parking facilities under constraints using positioning technologies. Int. J. Disaster Risk Reduct. 2018, 31, 1166–1176. [Google Scholar] [CrossRef]
- Orfanos, M.; Perakis, H.; Gikas, V.; Retscher, G.; Mpimis, T.; Spyropoulou, I.; Papathanasopoulou, V. Testing and Evaluation of Wi-Fi RTT Ranging Technology for Personal Mobility Applications. Sensors 2023, 5, 2829. [Google Scholar] [CrossRef]
- Holt, A.C.; Aughey, R.J.; Ball, K.; Hopkins, W.G.; Siegel, R. Technical Determinants of On-Water Rowing Performance. Front. Sports Act. Living 2020, 2, 589013. [Google Scholar] [CrossRef]
- Bettinelli, S.; Placido, A.; Susmel, L.; Tovo, R. An Integrated Data Acquisition System for on Water Measurement of Performance in Rowing. Strain 2010, 46, 493–509. [Google Scholar] [CrossRef]
- Hohmuth, R.; Schwensow, D.; Malberg, H.; Schmidt, M. A Wireless Rowing Measurement System for Improving the Rowing Performance of Athletes. Sensors 2023, 3, 13. [Google Scholar] [CrossRef]
- Nolte, V. Rowing Faster; Human Kinetics: Champaign, IL, USA, 2005. [Google Scholar]
- Mattes; Schaffert. A new measuring and on water coaching device for rowing. J. Hum. Sport Exerc. 2010, 5, 226–239. [Google Scholar] [CrossRef]
- Hase, K.; Andrews, B.J.; Zavatsky, A.B.; Halliday, S.E. Biomechanics of Rowing. JSME Int. J. Ser. C Mech. Syst. Mach. Elem. Manuf. 2002, 45, 1082–1092. [Google Scholar]
- Fothergill, S. Examining the effect of real-time visual feedback on the quality of rowing technique. Procedia Eng. 2010, 2, 3083–3088. [Google Scholar] [CrossRef]
- “Knoek” van Soest, A.J.; de Koning, H.; Hofmijster, M.J. Strapping rowers to their sliding seat improves performance during the start of ergometer rowing. J. Sports Sci. 2009, 27, 283–289. [Google Scholar] [CrossRef] [PubMed]
- Consiglieri, L.; Pires, E.B. An analytical model for the ergometer rowing: Inverse multibody dynamics analysis. Comput. Methods Biomech. Biomed. Eng. 2008, 12, 469–479. [Google Scholar] [CrossRef] [PubMed]
- Kornecki, S.; Jaszczak, M. Dynamic analysis of rowing on Concept II type C ergometer. Biol. Sport 2010, 27, 187–194. [Google Scholar] [CrossRef]
- Tomaž, Č.; Kamnik, R.; Munih, M. The measurement setup for real-time biomechanical analysis of rowing on an ergometer. Measurement 2011, 44, 1819–1827. [Google Scholar]
- Shimoda, M.; Fukunaga, T.; Higuchi, M.; Kawakami, Y. Stroke power consistency and 2000 m rowing performance in varsity rowers. Scand. J. Med. Sci. Sports 2009, 19, 83–86. [Google Scholar] [CrossRef]
- Serveto, S.; Barré, S.; Kobus, J.-M.; Mariot, J.-P. A three-dimensional model of the boat—Oars—Rower system using ADAMS and LifeMOD commercial software. Proc. Inst. Mech. Eng. Part P J. Sports Eng. Technol. 2010, 224, 75–88. [Google Scholar] [CrossRef]
- Laschowski, B.; Hopkins, C.C.; de Bruyn, J.R.; Nolte, V. Modelling the deflection of rowing oar shafts. Sports Biomech. 2017, 16, 76–86. [Google Scholar] [CrossRef]
- Izquierdo-Gabarren, M.; González de Txabarri Expósito, R.; Sáez Sáez de Villarreal, E.; Izquierdo, M. Physiological factors to predict on traditional rowing performance. Eur. J. Appl. Physiol. 2010, 108, 83–92. [Google Scholar] [CrossRef]
- Nozaki, D.; Kawakam, Y.; Fukunaga, T.; Mlyashtta, M. Mechanical efficiency of rowing a single scull. J. Med. Sci. Sports 1993, 3, 251–255. [Google Scholar] [CrossRef]
- O’Sullivan, F.S.; O’Sullivan, J.N.; Bull, A.M.J.; McGregor, H.A. Modelling multivariate biomechanical measurements of the spine during a rowing exercise. Clin. Biomech. 2003, 18, 488–493. [Google Scholar] [CrossRef] [PubMed]
- Pelz, F.P.; Vergé, A. Validated biomechanical model for efficiency and speed of rowing. J. Biomech. 2014, 47, 3415–3422. [Google Scholar] [CrossRef]
- Labbé, R.; Boucher, J.-P.; Clanet, C.; Benzaquen, M. Physics of rowing oars. New J. Phys. 2019, 21, 093050. [Google Scholar] [CrossRef]
- Coppel, A.; Gardner, T.; Caplan, N.; Hargreaves, D. Oar Blade Force Coefficients and a Mathematical Model of Rowing. In Proceedings of the 27 International Conference on Biomechanics in Sports (2009), Limerick, Ireland, 17–21 August 2009. [Google Scholar]
- SiRF Technology, Inc. NMEA Reference Manual; SiRF Technology, Inc.: San Jose, CA, USA, 2007. [Google Scholar]
- Rauter, G.; Baumgartner, L.; Denoth, J.; Riener, R.; Wolf, R. Optimisation of the mean boat velocity in rowing. Comput. Methods Biomech. Biomed. 2012, 15, 815–824. [Google Scholar] [CrossRef] [PubMed]
- Rongère, F.; Khalil, W.; Kobus, J. Dynamic modeling and simulation of rowing with a robotics formalism. In Proceedings of the 6th International Conference on Methods & Models in Automation & Robotics, Miedzyzdroje, Poland, 22–25 August 2011; pp. 260–265. [Google Scholar]
- King, C.; McIlwraith, D.G.; Lo, B.; Pansiot, J.; McGregor, A.H.; Yang, G.-Z. Body Sensor Networks for Monitoring Rowing Technique. In Proceedings of the Sixth International Workshop on Wearable and Implantable Body Sensor Networks, Berkeley, CA, USA, 3–5 June 2009; pp. 251–255. [Google Scholar]
- Krumm, D.; Simnacher, M.; Rauter, G.; Brunschweiler, A.; Odenwald, S.; Riener, R.; Wolf, P. High-fidelity device for online recording of foot-stretcher forces during rowing. In Proceedings of the 8th Conference of the International Sports Engineering Association (ISEA), Vienna, Austria, June 2010; pp. 2721–2726. [Google Scholar]
- Leroyer, A.; Barré, S.; Kobus, J.-M.; Visonneau, M. Experimental and numerical investigations of the flow around an oar blade. J. Mar. Sci. Technol. 2008, 13, 1–15. [Google Scholar] [CrossRef]
- Sliasas, A.; Tullis, S. Modelling the effect of oar shaft bending during the rowing stroke. Proc. Inst. Mech. Eng. Part P J. Sports Eng. Technol. 2011, 225, 265–270. [Google Scholar] [CrossRef]
- Sliasas, A.; Tullis, S. Numerical modelling of rowing blade hydrodynamics. Sports Eng. 2009, 12, 31–40. [Google Scholar] [CrossRef]
- Tachibana, K.; Yashiro, K.; Miyazaki, J.; Ikegami, Y.; Higughi, M. Muscle cross-sectional areas and performance power of limbs and trunk in the rowing motion. Sports Biomech. 2007, 6, 44–58. [Google Scholar] [CrossRef]
- Bull, A.; McGregor, A.H. Measuring spinal motion in rowers: The use of an electromagnetic device. Clin. Biomech. 2000, 15, 772–776. [Google Scholar] [CrossRef]
- Hill, H.; Fahrig, S. The impact of fluctuations in boat velocity during the rowing cycle on race time. Scand. J. Med. Sci. Sports 2009, 19, 585–594. [Google Scholar] [CrossRef] [PubMed]
- Hofmijster, J.M.; Landman, H.J.; Smith, R.M.; Van Soest, A.J. Effect of stroke rate on the distribution of net mechanical power in rowing. J. Sports Sci. 2007, 25, 403–411. [Google Scholar] [CrossRef] [PubMed]
- Hofmijster, M.; De Koning, J.; Van Soest, A.J. Estimation of the energy loss at the blades in rowing: Common assumptions revisited. J. Sports Sci. 2010, 28, 1093–1102. [Google Scholar] [CrossRef] [PubMed]
- Jones, J.A.; Allanson-Bailey, L.S.; Jones, M.D.; Holt, C. An ergometer based study of the role of the upper limbs in the female rowing stroke. In Proceedings of the 8th Conference of the International Sports Engineering Association (ISEA), Ruhr Area, Germany, June 2010; pp. 2555–2561. [Google Scholar]
- Worsey, M.T.O.; Espinosa, G.; Shepherd, J.; Thiel, D.V. A Systematic Review of Performance Analysis in Rowing Using Inertial Sensors. Sensors 2019, 8, 1304. [Google Scholar] [CrossRef]
- Tukiran, Z.; Ahmad, A. Exploiting LabVIEW FPGA in Implementation of Real-Time Sensor Data Acquisition for Rowing Monitoring System. In Proceedings of the International Conference on Soft Computing and Data Mining (SCDM) 2018, Johor Bahru, Malaysia, 6–8 February 2018; pp. 272–281. [Google Scholar]
- Zhu, R.; Zhou, Z. A real-time articulated human motion tracking using tri-axis inertial/magnetic sensors package. IEEE Trans. Neural Syst. Rehabil. Eng. 2004, 12, 295–302. [Google Scholar]
- Tessendorf, B.; Gravenhorst, F.; Arnrich, B.; Tröster, G. An IMU-based sensor network to continuously monitor rowing technique on the water. In Proceedings of the eventh International Conference on Intelligent Sensors, Sensor Networks and Information Processing, Adelaide, SA, Australia, 6–9 December 2011; pp. 253–258. [Google Scholar]
- Bifaretti, S.; Bonaiuto, V.; Federici, L.; Gabrieli, M.; Lanotte, N. E-kayak: A Wireless DAQ System for Real Time Performance Analysis. Procedia Eng. 2016, 147, 776–780. [Google Scholar] [CrossRef]
- Cloud, B.; Tarien, B.; Liu, A.; Shedd, T.; Lin, X.; Hubbard, M.; Crawfor, R.P.; Moore, J.K. Adaptive smartphone-based sensor fusion for estimating competitive rowing kinematic metrics. PLoS ONE 2019, 14, e0225690. [Google Scholar] [CrossRef]
- XSENS. MTi User Manual, Document MT0605P, Revision I; User Manual Document MT0605P; XSENS: Enskord, The Netherlands, 2016. [Google Scholar]
- National Instruments. DAQ M Series-NI USB-621x User Manual; National Instruments: Austin, TX, USA, 2009. [Google Scholar]
- Llosa, J.; Vilajosana, I.; Navarro, N.; Suriñach, E.; Marquès, J.M. REMOTE, a Wireless Sensor Network Based System to Monitor Rowing Performance. Sensors 2009, 9, 7069–7082. [Google Scholar] [CrossRef] [PubMed]
- Rabiner, L.R.; McClellan, J.H.; Parks, T.W. FIR digital filter design techniques using weighted Chebyshev approximation. Proc. IEEE 1975, 63, 595–610. [Google Scholar] [CrossRef]















| kinematic | rowing boat attitude | along/across position/velocity/acceleration body frame angles (pitch, roll, azimuth) |
| kinetic | rowing boat equipment | 2D oars’ angles (horizontal, vertical), oar gate force, footstep force, seat displacement |
| athlete’s body biomechanical parameters | athlete hip and elbow angles |
| Sensor Type | Quantity | Model | Data Rate | Accuracy Specs | |
|---|---|---|---|---|---|
| GNSS receiver | 1 | u-blox MAX-6 | 4 Hz | hz accuracy: 2.5 m CEP v. accuracy: 5.0 m CEP vel. accuracy: 0.1 m/s @30 m/s | ![]() |
| accelerometer | 3 | AD22293 | 2 kHz | bias repeatability: 0.03 m/s2 in-run bias stability: 40 μg noise density: 80 μg/√Hz non-orthogonal: 0.03 deg non-linearity: 0.03%FS | |
| gyroscope | 1 | ADXRS646 (for azimuth estimation) | 2 kHz | noise density: 0.01°/s/√Hz non-linearity: 0.01%FS non-orthogonal: 0.05 deg | |
| 2 | ADXRS620 | 2 kHz | noise density: 0.05°/s/√Hz non-linearity: 0.1%FS non-orthogonality: 0.05 deg | ||
| magnetometer | 3 | na | 50 Hz | noise density: 200 μG/√Hz non-linearity: 0.01%FS | |
| barometer | 1 | na | 50 Hz | noise density: 0.01 hpa/√Hz |
| Category | Sub-Category | Installation Point | Type of Measurement | Digitizer | Sensor Type | Model | Performance Specifications | Photo |
|---|---|---|---|---|---|---|---|---|
| boat equipment | oarlock at boat gate | oarlock at boat gate | angles (Hz/V) | NI 6211 | potentiometer | Bourns 3501H | linearity: ±0.25% resolution: inf | ![]() |
| force at oarlock | NI 9237 | load cell | Omega LCPB-100 | linearity: ±0.02% FS hysteresis: ±0.01% FS | ![]() | |||
| footstep | soles in the rowing shoes | force at footstep | NI 6211 | piezoelectric | Tekscan A401 | linearity: <±3% FS repeatability: <±2.5% hysteresis: <3.5%FS response: <5 µs | ![]() | |
| seat | seat position | displacement | potentiometer | Celesco MT3A | accuracy: ±0.15% FS repeatability: ±0.02% FS resolution: inf | ![]() | ||
| athlete body | elbow | athlete elbow | joint angle | NI 9237 | strain gauge/ Wheatstone bridge | Biometrics SG110 | accuracy: ±2 deg over 90 deg repeatability: <±1 deg resolution: inf | ![]() |
| hip | athlete hip | Biometrics SG150 |
Disclaimer/Publisher’s Note: The statements, opinions and data contained in all publications are solely those of the individual author(s) and contributor(s) and not of MDPI and/or the editor(s). MDPI and/or the editor(s) disclaim responsibility for any injury to people or property resulting from any ideas, methods, instructions or products referred to in the content. |
© 2023 by the authors. Licensee MDPI, Basel, Switzerland. This article is an open access article distributed under the terms and conditions of the Creative Commons Attribution (CC BY) license (https://creativecommons.org/licenses/by/4.0/).
Share and Cite
Mpimis, T.; Gikas, V.; Gourgoulis, V. A Rigorous and Integrated On-Water Monitoring System for Performance and Technique Improvement in Rowing. Sensors 2023, 23, 6150. https://doi.org/10.3390/s23136150
Mpimis T, Gikas V, Gourgoulis V. A Rigorous and Integrated On-Water Monitoring System for Performance and Technique Improvement in Rowing. Sensors. 2023; 23(13):6150. https://doi.org/10.3390/s23136150
Chicago/Turabian StyleMpimis, Thanassis, Vassilis Gikas, and Vassilios Gourgoulis. 2023. "A Rigorous and Integrated On-Water Monitoring System for Performance and Technique Improvement in Rowing" Sensors 23, no. 13: 6150. https://doi.org/10.3390/s23136150
APA StyleMpimis, T., Gikas, V., & Gourgoulis, V. (2023). A Rigorous and Integrated On-Water Monitoring System for Performance and Technique Improvement in Rowing. Sensors, 23(13), 6150. https://doi.org/10.3390/s23136150







