Influence of Ion Exchange Process Parameters on Broadband Differential Interference
Abstract
1. Introduction
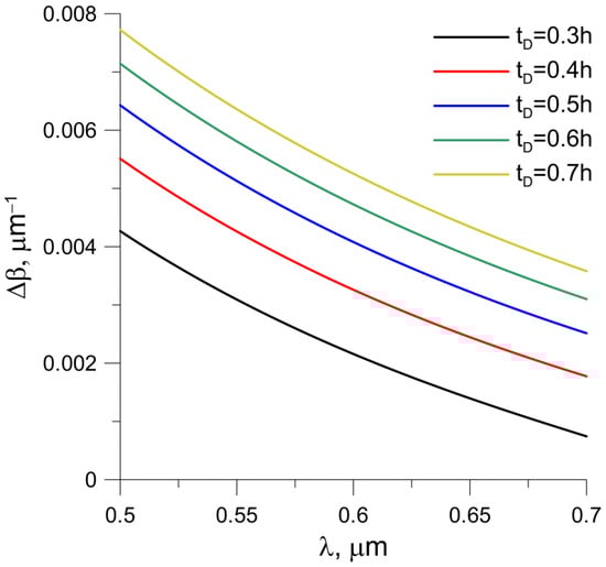
2. Theoretical Analysis
3. Experimental Verification
Δϕ(λ2) = Δϕ(λ1) + π = 2π C+ π
Δϕ(λ3) = Δϕ(λ2) + π = 2π C + 2π
Δϕ(λ4) = Δϕ(λ3) + π = 2π C + 3π
……………………
4. Broadband Interferometer as Sensors
5. Conclusions
Author Contributions
Funding
Institutional Review Board Statement
Informed Consent Statement
Data Availability Statement
Conflicts of Interest
References
- Sakamoto, H.; Minpou, Y.; Sawai, T.; Enami, Y.; Suye, S.A. Novel Optical Biosensing System Using Mach–Zehnder-Type Optical Waveguide for Influenza Virus Detection. Appl. Biochem. Biotechnol. 2016, 178, 687–694. [Google Scholar] [CrossRef]
- Nabok, A.; Al-Jawdah, A.M.; Gémes, B.; Takács, E.; Székács, A. An Optical Planar Waveguide-Based Immunosensors for Determination of Fusarium Mycotoxin Zearalenone. Toxins 2021, 13, 89. [Google Scholar] [CrossRef] [PubMed]
- Zhou, C.; Hedayati, M.K.; Kristensen, A. Multifunctional waveguide interferometer sensor: Simultaneous detection of refraction and absorption with size-exclusion function. Opt. Express 2018, 26, 24372–24383. [Google Scholar] [CrossRef]
- Campbell, D. Interferometric Biosensors. In Principles of Bacterial Detection; Zourob, M., Elwary, S., Turner, A., Eds.; Springer: Montreal, QC, Canada, 2008; pp. 169–211. ISBN 978-0-387-75112-2. [Google Scholar]
- Kozma, P.; Kehl, F.; Ehrentreich-Forster, E.; Stamm, C.; Bier, F.F. Integrated planar optical waveguide interferometer biosensors: A comparative review. Biosens. Bioelectron. 2014, 58, 287–307. [Google Scholar] [CrossRef]
- Gauglitz, G. Critical assessment of relevant methods in the field of biosensors with direct optical detection based on fibers and waveguides using plasmonic, resonance, and interference effects. Anal. Bioanal. Chem. 2020, 412, 3317–3349. [Google Scholar] [CrossRef]
- Sngh, A.K.; Mittal, S.; Das, M.; Saharia, A.; Tiwari, M. Optical biosensors: A decade in review. Alex. Eng. J. 2023, 67, 673–691. [Google Scholar] [CrossRef]
- Makarona, E.; Petrou, P.; Kakabakos, S.; Misiakos, K.; Raptis, I. Point-of-need based on planar optical interferometry. Botechnol. Adv. 2016, 34, 209–233. [Google Scholar] [CrossRef] [PubMed]
- Kitsara, M.; Misiakos, K.; Raptis, I.; Makarona, E. Integrated optical frequency-resolved Mach-Zehnder interferometers for label-free affinity sensing. Opt. Express 2010, 18, 8193–8206. [Google Scholar] [CrossRef]
- Misiakos, K.; Raptis, I.; Salapatas, A.; Makarona, E.; Bostials, A.; Hoekman, M.; Stoffer, R.; Jobst, G. Broad-band Mach-Zehnder interferometers as high performance refractive index sensors: Theory and monolithic implementation. Opt. Express 2014, 22, 8856–8870. [Google Scholar] [CrossRef]
- Misiakos, K.; Raptis, I.; Makarona, E.; Botsialas, A.; Salapatas, A.; Oikonomou, P.; Psarouli, A.; Petrou, P.S.; Kakabakos, S.E.; Tukkiniemi, K.; et al. All-silicon monolithic Mach-Zehnder interferometer as a refractive index and bio-chemical sensor. Opt. Express 2014, 22, 26803–26813. [Google Scholar] [CrossRef]
- Angelopoulou, Μ.; Botsialas, A.; Salapatas, A.; Petrou, P.S.; Haasnoot, W.; Makarona, E.; Jobst, G.; Goustouridis, D.; Siafaka-Kapadai, A.; Raptis, I.; et al. Assessment of goat milk adulteration with a label-free monolithically integrated optoelectronic biosensor. Anal. Bioanal. Chem. 2015, 407, 3995–4004. [Google Scholar] [CrossRef]
- Psarouli, A.; Botsialas, A.; Salapatas, A.; Stefanitsis, G.; Nikita, D.; Jobst, G.; Chaniotakis, N.; Goustouridis, D.; Makarona, E.; Petrou, P.S.; et al. Fast label-free detection of C-reactive protein using broad-band Mach-Zehnder interferometers integrated on silicon chip. Talanta 2017, 165, 458–465. [Google Scholar] [CrossRef]
- Pagkali, V.; Petrou, P.S.; Salapatas, A.; Makarona, E.; Peters, J.; Haasnoot, W.; Jobst, G.; Economou, A.; Misiakos, K.; Raptis, I.; et al. Detection of ochratoxin A in beer samples with a label-free monolithically integrated optoelectronic biosensor. J. Hazard. Mater. 2017, 323, 75–83. [Google Scholar] [CrossRef] [PubMed]
- Anastasopoulou, M.; Malainou, A.; Salapatas, A.; Chronis, N.; Raptis, I.; Misiakos, K. Label-free detection of the IL-6 and IL-8 interleukines through monolithic silicon photonic chips and simultaneous dual polarization optics. Sensor Actuat. B-Chem. 2018, 256, 304–309. [Google Scholar] [CrossRef]
- Misiakos, K.; Makarona, E.; Hoekman, M.; Fyrogenis, R.; Tukkiniemi, K.; Jobst, G.; Petrou, P.S.; Kakabakos, S.E.; Salapatas, A.; Goustouridis, D.; et al. All-Silicon Spectrally Resolved Interferometric Circuit for Multiplexed Diagnostics: A Monolithic Lab-on-a-Chip Integrating All Active and Passive Components. ACS Photonics 2019, 6, 1694–1705. [Google Scholar] [CrossRef]
- Angelopoulou, M.; Makarona, E.; Salapatas, A.; Misiakos, K.; Synolaki, E.; Ioannidis, A.; Chatzipanagiotou, S.; Ritvosf, M.A.; Pasternack, A.; Ritvosf, O.; et al. Directly immersible silicon photonic probes: Application to rapid SARS-CoV-2 serological testing. Biosens. Bioelectron. 2022, 215, 114570. [Google Scholar] [CrossRef] [PubMed]
- Makarona, E.; Salapatas, A.; Raptis, I.; Petrou, P.; Kakabakos, S.; Stavra, E.; Malainou, A.; Misiakos, K. Broadband Young interferometry for simultaneous dual polarization bioanalytics. J. Opt. Soc. Am. B 2017, 34, 1691–1698. [Google Scholar] [CrossRef]
- Stavra, E.; Malainou, A.; Salapatas, A.; Botsialas, A.; Petrou, P.; Raptis, I.; Makarona, E.; Kakabakos, S.E.; Misiakos, K. Monolithically-Integrated Young Interferometers for Label-Free and Multiplexed Detection of Biomolecules. In Silicon Photonics XI, Proceedings of SPIE Photonic West, San Francisco, CA, USA, 13–18 February 2016; Reed, G.T., Kinghts, A.P., Eds.; SPIE: Bellingham, WA, USA, 2016. [Google Scholar]
- Lukosz, W. Integrated optical chemical and direct biochemical sensors. Sens. Actuat. B Chem. 1995, 29, 37–50. [Google Scholar] [CrossRef]
- Stamm, C.; Lukosz, W. Integrated optical difference interferometer as immunosensor. Sens. Actuat. B Chem. 1996, 31, 203–207. [Google Scholar] [CrossRef]
- Lukosz, W.; Stamm, C.; Moser, H.R.; Ryf, R.; Dübendorfer, J. Difference interferometer with new phase-measurement method as integrated-optical refractometer, humidity sensor and biosensor. Sens. Actuat. B Chem. 1997, 39, 316–323. [Google Scholar] [CrossRef]
- Gut, K.; Karasiński, P.; Wójcik, W.; Rogoziński, R.; Opilski, Z.; Opilski, A. Applicability of interference TE0-TM0 modes and TE0-TE1 modes to the construction of waveguide sensors. Opt. Appl. 1999, 29, 101–110. [Google Scholar]
- Zinoviev, K.E.; González-Guerrero, A.B.; Domínguez, C.; Lechuga, L.M. Integrated Bimodal Waveguide Interferometric Biosensor for Label-Free Analysis. J. Light. Technol. 2011, 29, 1926–1930. [Google Scholar] [CrossRef]
- Gut, K. A suggestion of utilizing bimodal layers of the polymer SU8 for the purpose of monitoring the changes in the refractive index. Opt. Appl. 2012, 42, 407–416. [Google Scholar]
- Qi, Z.; Xia, S.; Matsuda, N. Spectropolarimetric interferometer based on single-mode glass waveguides. Opt. Express 2008, 16, 2245–2251. [Google Scholar] [CrossRef]
- Gut, K. Broad-band difference interferometer as a refractive index sensor. Opt. Express 2017, 25, 31111–31121. [Google Scholar] [CrossRef]
- Gut, K.; Opilski, Z. Spectropolarimetric analyses of optical single mode SU8 waveguide layers. Bull. Pol. Acad. Sci. Tech. 2015, 63, 349–352. [Google Scholar] [CrossRef]
- Gut, K. Study of a broadband difference interferometer based on low-cost polymer slab waveguides. Nanomaterials 2019, 9, 729. [Google Scholar] [CrossRef]
- Findakly, T. Glass Waveguides By Ion Exchange: A Review. Opt. Eng. 1985, 24, 242244. [Google Scholar] [CrossRef]
- Ramaswamy, R.V.; Srivasava, R. Ion-exchanged waveguides: A review. J. Light. Technol. 1988, 6, 984–1002. [Google Scholar] [CrossRef]
- Tervonen, A.; West, B.R.; Honkanen, S. Ion-exchanged glass waveguide technology: A review. Opt. Eng. 2011, 50, 071107. [Google Scholar]
- Righini, G.C.; Liñares, J. Active and Quantum Integrated Photonic Elements by Ion Exchange in Glass. Appl. Sci. 2021, 11, 5222. [Google Scholar] [CrossRef]
- Honkanen, S.; Broquin, J.E. Integrated Photonics on Glass: A Review of the Ion-Exchange Technology Achievements. Appl. Sci. 2021, 11, 4472. [Google Scholar]
- Berneschi, S.; Pelli, S. Towards a Glass New World: The Role of Ion-Exchange in Modern Technology. Appl. Sci. 2021, 11, 4610. [Google Scholar] [CrossRef]
- Błahut, M. Numerical characteristics of the polarimetric interferometer made by K+-Na+ ion exchange. Opt. Appl. 1997, 27, 3–11. [Google Scholar]
- Adams, M.J. An Introduction to Optical Waveguides; John Wiley and Sons: New York, NY, USA, 1981. [Google Scholar]
- Filmetrics. Available online: https://www.filmetrics.com/refractive-index-database/BK7/Float-Glass (accessed on 28 April 2023).











Disclaimer/Publisher’s Note: The statements, opinions and data contained in all publications are solely those of the individual author(s) and contributor(s) and not of MDPI and/or the editor(s). MDPI and/or the editor(s) disclaim responsibility for any injury to people or property resulting from any ideas, methods, instructions or products referred to in the content. |
© 2023 by the authors. Licensee MDPI, Basel, Switzerland. This article is an open access article distributed under the terms and conditions of the Creative Commons Attribution (CC BY) license (https://creativecommons.org/licenses/by/4.0/).
Share and Cite
Gut, K.; Błahut, M. Influence of Ion Exchange Process Parameters on Broadband Differential Interference. Sensors 2023, 23, 6092. https://doi.org/10.3390/s23136092
Gut K, Błahut M. Influence of Ion Exchange Process Parameters on Broadband Differential Interference. Sensors. 2023; 23(13):6092. https://doi.org/10.3390/s23136092
Chicago/Turabian StyleGut, Kazimierz, and Marek Błahut. 2023. "Influence of Ion Exchange Process Parameters on Broadband Differential Interference" Sensors 23, no. 13: 6092. https://doi.org/10.3390/s23136092
APA StyleGut, K., & Błahut, M. (2023). Influence of Ion Exchange Process Parameters on Broadband Differential Interference. Sensors, 23(13), 6092. https://doi.org/10.3390/s23136092

