Investigation of the Temperature Actions of Bridge Cables Based on Long-Term Measurement and the Gradient Boosted Regression Trees Method
Abstract
1. Introduction
2. Research Background
2.1. Description of the Bridge and Segment Test
2.2. Experiment Process
2.3. Sensor Arrangement
3. The Cross-Sectional Distribution and the Time-History Curve of Cables
3.1. The Cross-Sectional Distribution of Cables
3.2. The Time-History Curve of Cable Temperature
3.3. Annual Cycle Variation in Uniform Temperatures on a Cable Section
3.4. Daily Cycle Variation in Uniform Temperatures of Cable Section
3.4.1. Statistical Analysis of Daily Cycle Variation
3.4.2. Theoretical Method of Extreme Value Analysis
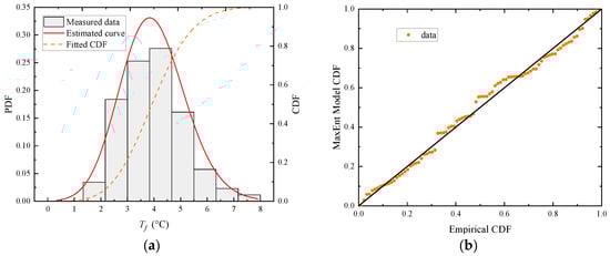
3.4.3. Extreme Value Analysis of Daily Cycle Variation
4. Relationship between the Cable Temperature and Environmental Variables
4.1. Regression via the Gradient Boosted Regression Trees (GBRT) Algorithm
4.1.1. Description of the GBRT Algorithm
4.1.2. Construction of the Prediction Model
4.2. Training and Testing of Tu Prediction Model
4.3. Hyperparameter Optimization
4.4. Testing of the GBRT
4.5. Representative Values of Temperature Actions of Cables
5. Conclusions
- No temperature gradient distribution is noted inside the cable, suggesting a uniform temperature distribution on the cross-section. The temperature on the cable cross-section can be decomposed into a daily uniform temperature (Tu) and a daily fluctuating temperature (Tf) to portray the annual cycle and daily cycle variation patterns of cable temperatures, respectively.
- For the annual cycle variation pattern, the time-history curve of Tu,d (daily average uniform temperature) can be fitted to the Fourier formula. Due to the effect of Tu,d, the cable contracts and expands seasonally. The daily cycle of temperature variations can be represented by the fluctuation temperature envelope curve with an exceedance probability of 0.01, and the variation in the cable’s fluctuating temperatures is more noticeable throughout the year. Therefore, to accurately determine the temperature deformation of the cable, it is important to consider both the daily temperature fluctuations and the annual cycle of uniform temperatures.
- This study establishes the use of the GBRT model to predict Tu in the cable considering four environmental variables (air temperature, solar radiation intensity, wind speed, and wind direction) at the bridge site. As for Tu prediction, the prediction accuracy of the GBRT model is significantly higher than that of the univariate linear regression (ULR) model that considers a single environmental factor only.
- A complete EVA method based on the machine learning simulation and one-year measured data is proposed for determining the representative values of temperature effects. This method can compensate for the deficiency of measured data and determine the representative values of bridges’ temperature effects quickly and efficiently. For the measured stayed-cable segment, the representative maximum uniform temperatures are 38.82 °C and 39.51 °C and the representative values of the minimum uniform temperature are 1.12 °C and 0.27 °C for the 50- and 100-year return periods, respectively.
Author Contributions
Funding
Institutional Review Board Statement
Informed Consent Statement
Data Availability Statement
Acknowledgments
Conflicts of Interest
References
- Granata, M.F.; Longo, G.; Recupero, A.; Arici, M. Construction sequence analysis of long-span cable-stayed bridges. Eng. Struct. 2018, 174, 267–281. [Google Scholar] [CrossRef]
- Cao, Y.; Yim, J.; Zhao, Y.; Wang, M.L. Temperature effects on cable stayed bridge using health monitoring system: A case study. Struct. Health Monit. 2011, 10, 523–537. [Google Scholar]
- Shi, Z.; Yu, W.; Gu, J.; Li, J.; Zhong, M. Mechanical behaviour of a novel floor system with horizontal K-shaped brace in Long-span High-speed railway steel truss Cable-stayed bridge. Eng. Struct. 2021, 249, 113270. [Google Scholar] [CrossRef]
- Wang, Z.W.; Zhang, W.M.; Zhang, Y.F.; Liu, Z. Temperature Prediction of Flat Steel Box Girders of Long-Span Bridges Utilizing In Situ Environmental Parameters and Machine Learning. J. Bridge Eng. 2022, 27, 04022004. [Google Scholar] [CrossRef]
- Bayraktar, A.; Akköse, M.; Taş, Y.; Erdiş, A.; Kurşun, A. Long-term strain behavior of in-service cable-stayed bridges under temperature variations. J. Civ. Struct. Health Monit. 2022, 12, 833–844. [Google Scholar] [CrossRef]
- Yang, D.H.; Yi, T.H.; Li, H.N.; Zhang, Y.F. Correlation-based estimation method for cable-stayed bridge girder deflection variability under thermal action. J. Perform. Constr. Facil. 2018, 32, 04018070. [Google Scholar] [CrossRef]
- Zhou, Y.; Sun, L. Insights into temperature effects on structural deformation of a cable-stayed bridge based on structural health monitoring. Struct. Health Monit. 2019, 18, 778–791. [Google Scholar] [CrossRef]
- Yang, D.H.; Yi, T.H.; Li, H.N.; Zhang, Y.F. Monitoring and analysis of thermal effect on tower displacement in cable-stayed bridge. Measurement 2018, 115, 249–257. [Google Scholar] [CrossRef]
- Cai, C.; Huang, S.; He, X.; Zhou, T.; Zou, Y. Investigation of concrete box girder positive temperature gradient patterns considering different climatic regions. Structures 2022, 35, 591–607. [Google Scholar] [CrossRef]
- Deng, Y.; Li, A.; Liu, Y.; Chen, S. Investigation of temperature actions on flat steel box girders of long-span bridges with temperature monitoring data. Adv. Struct. Eng. 2018, 21, 2099–2113. [Google Scholar] [CrossRef]
- Zhang, C.; Liu, Y.; Liu, J.; Yuan, Z.; Zhang, G.; Ma, Z. Validation of long-term temperature simulations in a steel-concrete composite girder. Structures 2020, 27, 1962–1976. [Google Scholar] [CrossRef]
- Peng, G.; Nakamura, S.; Zhu, X.; Wu, Q.; Wang, H. An experimental and numerical study on temperature gradient and thermal stress of CFST truss girders under solar radiation. Comput. Concr. 2017, 20, 605–616. [Google Scholar]
- Lou, P.; Zhu, J.; Dai, G.; Yan, B.; Engineering, M. Experimental study on bridge—Track system temperature actions for Chinese high-speed railway. Arch. Civ. Mech. Eng. 2018, 18, 451–464. [Google Scholar] [CrossRef]
- Liu, J.; Liu, Y.; Jiang, L.; Zhang, N. Long-term field test of temperature gradients on the composite girder of a long-span cable-stayed bridge. Adv. Struct. Eng. 2019, 22, 2785–2798. [Google Scholar] [CrossRef]
- Liu, J.; Liu, Y.; Yan, X.; Zhang, G. Statistical Investigation on the Temperature Actions of CFST Truss Based on Long-Term Measurement. J. Bridge Eng. 2021, 26, 04021045. [Google Scholar] [CrossRef]
- Wang, J.; Zhang, J.; Xu, R.; Yang, Z. Evaluation of thermal effects on cable forces of a long-span prestressed concrete cable–stayed bridge. J. Perform. Constr. Facil. 2019, 33, 04019072. [Google Scholar] [CrossRef]
- Yue, Z.X.; Ding, Y.L.; Zhao, H.W. Deep learning-based minute-scale digital prediction model of temperature-induced deflection of a cable-stayed bridge: Case study. J. Bridge Eng. 2021, 26, 05021004. [Google Scholar] [CrossRef]
- Hassan, M.; Nassef, A.; El Damatty, A. Determination of optimum post-tensioning cable forces of cable-stayed bridges. Eng. Struct. 2012, 44, 248–259. [Google Scholar] [CrossRef]
- Kim, S.W.; Jeon, B.G.; Kim, N.S.; Park, J.C. Vision-based monitoring system for evaluating cable tensile forces on a cable-stayed bridge. Struct. Health Monit. 2013, 12, 440–456. [Google Scholar] [CrossRef]
- Song, C.; Xiao, R.; Sun, B. Optimization of cable pre-tension forces in long-span cable-stayed bridges considering the counterweight. Eng. Struct. 2018, 172, 919–928. [Google Scholar] [CrossRef]
- Mehrabi, A.B. Performance of cable-stayed bridges: Evaluation methods, observations, and a rehabilitation case. J. Perform. Constr. Facil. 2016, 30, C4014007. [Google Scholar] [CrossRef]
- Morgan, V. The thermal rating of overhead-line conductors Part I. The steady-state thermal model. Electr. Power Syst. Res. 1982, 5, 119–139. [Google Scholar] [CrossRef]
- Westgate, R.; Koo, K.Y.; Brownjohn, J. Effect of solar radiation on suspension bridge performance. J. Bridge Eng. 2015, 20, 04014077. [Google Scholar] [CrossRef]
- Zhang, W.M.; Tian, G.M.; Liu, Z. Analytical study of uniform thermal effects on cable configuration of a suspension bridge during construction. J. Bridge Eng. 2019, 24, 04019104. [Google Scholar] [CrossRef]
- Liu, J.; Liu, Y.; Zhang, G. Experimental analysis of temperature gradient patterns of concrete-filled steel tubular members. J. Bridge Eng. 2019, 24, 04019109. [Google Scholar] [CrossRef]
- Hou, N.; Sun, L.; Chen, L. Cable reliability assessments for cable-stayed bridges using identified tension forces and monitored loads. J. Bridge Eng. 2020, 25, 05020003. [Google Scholar] [CrossRef]
- TB 10095-2020; National Railway Administration of the People’s Republic of China. Code for Design on Railway Cable-Stayed Bridge. Railway Publishing House: Beijing, China, 2020. (In Chinese)
- EN 1991-1-5; Eurocode 1: Actions on structures-Part 1-5: General actions—Thermal actions. European Committee for Standardization (CEN): Brussels, Belgium, 2003.
- AASHTO. AASHTO LRFD Bridge Design Specifications, 8th ed.; AASHTO: Washington, DC, USA, 2017. [Google Scholar]
- AS 5100.5-2017; Bridge Design–Concrete. Standards Australia: Sydney, Australia, 2017.
- Tapeh, A.T.G.; Naser, M.Z. Artificial intelligence, machine learning, and deep learning in structural engineering: A scientometrics review of trends and best practices. Arch. Comput. Methods Eng. 2023, 30, 115–159. [Google Scholar] [CrossRef]
- Akinosho, T.D.; Oyedele, L.O.; Bilal, M.; Ajayi, A.O.; Delgado, M.D. Deep learning in the construction industry: A review of present status and future innovations. J. Build. Eng. 2020, 32, 101827. [Google Scholar] [CrossRef]
- Dogan, A.; Birant, D. Machine learning and data mining in manufacturing. Expert. Syst. Appl. 2021, 166, 114060. [Google Scholar] [CrossRef]
- Ma, R.; Cui, C.; Ma, M.; Chen, A. Performance-based design of bridge structures under vehicle-induced fire accidents: Basic framework and a case study. Eng. Struct. 2019, 197, 109390. [Google Scholar] [CrossRef]
- Zhang, H.; Liu, Y.; Deng, Y. Temperature gradient modeling of a steel box-girder suspension bridge using Copulas probabilistic method and field monitoring. Adv. Struct. Eng. 2021, 24, 947–961. [Google Scholar] [CrossRef]
- Petrov, V.; Lucas, C.; Soares, C.G. Maximum entropy estimates of extreme significant wave heights from satellite altimeter data. Ocean. Eng. 2019, 187, 106205. [Google Scholar] [CrossRef]
- Dai, G.; Wang, F.; Chen, Y.F.; Ge, H.; Rao, H. Modelling of extreme uniform temperature for high-speed railway bridge piers using maximum entropy and field monitoring. Adv. Struct. Eng. 2023, 26, 302–315. [Google Scholar] [CrossRef]
- Rockinger, M.; Jondeau, E. Entropy densities with an application to autoregressive conditional skewness and kurtosis. J. Econom. 2002, 106, 119–142. [Google Scholar] [CrossRef]
- Xia, Y.; Chen, B.; Zhou, X.Q.; Xu, Y.L. Field monitoring and numerical analysis of Tsing Ma Suspension Bridge temperature behavior. Struct. Control. Health Monit. 2013, 20, 560–575. [Google Scholar] [CrossRef]
- Rao, H.; Shi, X.; Rodrigue, A.K.; Feng, J.; Xia, Y.; Elhoseny, M. Feature selection based on artificial bee colony and gradient boosting decision tree. Appl. Soft Comput. 2019, 74, 634–642. [Google Scholar] [CrossRef]
- Sun, R.; Wang, G.; Zhang, W.; Hsu, L.T.; Ochieng, W.Y. A gradient boosting decision tree based GPS signal reception classification algorithm. Appl. Soft Comput. 2020, 86, 105942. [Google Scholar] [CrossRef]
- Su, M.; Zhong, Q.; Peng, H.; Li, S. Selected machine learning approaches for predicting the interfacial bond strength between FRPs and concrete. Constr. Build. Mater. 2021, 270, 121456. [Google Scholar] [CrossRef]
- Géron, A. Hands-on Machine Learning with Scikit-Learn, Keras, and TensorFlow; O’Reilly Media, Inc.: California, CA, USA, 2022. [Google Scholar]


























| Season | Minimum Fluctuating Temperature, Tf | Maximum Fluctuating Temperature, Tf | ||
|---|---|---|---|---|
| Main Time of Occurrence | Percentage of All Data | Main Time of Occurrence | Percentage of All Data | |
| Hot season | 5:30–7:00 | 65.57% | 13:00–15:00 | 70.49% |
| Cold season | 6:00–7:30 | 51.87% | 13:00–15:00 | 73.76% |
| Number | Featured Engineering | Units |
|---|---|---|
| 1~48 | Air temperature for the past 48 h | °C |
| 49~96 | Solar radiation intensity for the past 48 h | W/m2 |
| 97~144 | Wind speed for the past 48 h | m/s |
| 145~192 | Wind direction for the past 48 h | ° |
| 193 | Date | - |
| 194 | Time | - |
| Hyperparameters | Meanings | Search Ranges | Optimal Values |
|---|---|---|---|
| n_estimators | Number of trees | (150, 500) | 220 |
| learning_rate | Shrinkage coefficient of each tree | (0.01, 0.2) | 0.14 |
| subsample | Subsample ratio of training samples | (0.1, 1) | 0.8 |
| max_depth | Maximum depth of a tree | (2, 20) | 7 |
| Dataset | MAE | R2 |
|---|---|---|
| Training set | 0.053 | 0.998 |
| Test set | 0.381 | 0.986 |
| Year | Temperature Tu (°C) | Year | Temperature Tu (°C) | Year | Temperature Tu (°C) | |||
|---|---|---|---|---|---|---|---|---|
| Maximum Temperature | Minimum Temperature | Maximum Temperature | Minimum Temperature | Maximum Temperature | Minimum Temperature | |||
| 1987 | 35.84 | 5.01 | 1999 | 35.63 | 1.91 | 2011 | 37.35 | 4.89 |
| 1988 | 35.68 | 6.39 | 2000 | 36.51 | 4.25 | 2012 | 36.79 | 3.75 |
| 1989 | 35.03 | 5.86 | 2001 | 37.02 | 5.99 | 2013 | 36.60 | 5.35 |
| 1990 | 35.14 | 5.89 | 2002 | 38.89 | 4.27 | 2014 | 37.65 | 4.53 |
| 1991 | 37.18 | 1.39 | 2003 | 37.75 | 5.45 | 2015 | 36.49 | 5.74 |
| 1992 | 36.06 | 3.30 | 2004 | 37.56 | 4.59 | 2016 | 37.11 | 0.33 |
| 1993 | 36.04 | 3.57 | 2005 | 37.41 | 2.75 | 2017 | 38.05 | 7.39 |
| 1994 | 35.41 | 4.95 | 2006 | 37.06 | 4.45 | 2018 | 36.95 | 3.74 |
| 1995 | 36.39 | 4.78 | 2007 | 36.91 | 6.41 | 2019 | 38.81 | 8.45 |
| 1996 | 36.92 | 4.29 | 2008 | 36.62 | 5.54 | 2020 | 37.32 | 5.28 |
| 1997 | 35.13 | 5.55 | 2009 | 36.81 | 4.69 | |||
| 1998 | 36.56 | 5.53 | 2010 | 37.14 | 2.37 | |||
| The Exceeding Probability | 2% | 1% |
|---|---|---|
| The return period | 50-year | 100-year |
| Maximum uniform temperature Tu,max (°C) | 38.82 | 39.51 |
| Minimum uniform temperature Tu,min (°C) | 1.12 | 0.27 |
Disclaimer/Publisher’s Note: The statements, opinions and data contained in all publications are solely those of the individual author(s) and contributor(s) and not of MDPI and/or the editor(s). MDPI and/or the editor(s) disclaim responsibility for any injury to people or property resulting from any ideas, methods, instructions or products referred to in the content. |
© 2023 by the authors. Licensee MDPI, Basel, Switzerland. This article is an open access article distributed under the terms and conditions of the Creative Commons Attribution (CC BY) license (https://creativecommons.org/licenses/by/4.0/).
Share and Cite
Wang, F.; Dai, G.; Liu, Y.; Ge, H.; Rao, H. Investigation of the Temperature Actions of Bridge Cables Based on Long-Term Measurement and the Gradient Boosted Regression Trees Method. Sensors 2023, 23, 5675. https://doi.org/10.3390/s23125675
Wang F, Dai G, Liu Y, Ge H, Rao H. Investigation of the Temperature Actions of Bridge Cables Based on Long-Term Measurement and the Gradient Boosted Regression Trees Method. Sensors. 2023; 23(12):5675. https://doi.org/10.3390/s23125675
Chicago/Turabian StyleWang, Fen, Gonglian Dai, Yonglu Liu, Hao Ge, and Huiming Rao. 2023. "Investigation of the Temperature Actions of Bridge Cables Based on Long-Term Measurement and the Gradient Boosted Regression Trees Method" Sensors 23, no. 12: 5675. https://doi.org/10.3390/s23125675
APA StyleWang, F., Dai, G., Liu, Y., Ge, H., & Rao, H. (2023). Investigation of the Temperature Actions of Bridge Cables Based on Long-Term Measurement and the Gradient Boosted Regression Trees Method. Sensors, 23(12), 5675. https://doi.org/10.3390/s23125675
