Improved Dynamic Event-Triggered Robust Control for Flexible Robotic Arm Systems with Semi-Markov Jump Process
Abstract
1. Introduction
2. System Description and Preliminaries
2.1. Physical Model of Flexible Robotic Arm
2.2. Network Control Based on Dynamic Event-Triggered Scheme
3. Main Results
3.1. Stability Analysis
3.2. Co-Design of the Event-Triggered and Controller Parameters
| Algorithm 1 Dynamic Event-triggered Robust Controller Design |
| Physical constants: M, g, H, k, J; |
| Random variables: , ; |
| Initialization: (For each state i) |
| 1. Initialize Initial state ; |
| 2. Choose the lower and upper time delay in network and ; |
| 3. Choose the event-triggered parameters and ; |
| 4. is the performance index; |
| 5. Set , , , and as positive definite matrices; |
| Iteration: |
| 6. Let the iteration and step index ; |
| 7. Repeat |
| 8. The dynamic event-triggered control (18) |
| 9. IF event-triggered condition (16) is satisfied |
| 10. not trigger, ; |
| 11. let ; |
| 11. ELSE |
| 12. update the signal ; |
| 13. let , ; |
| 14. END IF |
| 15. IF exist DoS attacks; |
| 16. let ; |
| 17. ELSE |
| 18. normal signal transmission ; |
| 19. END IF |
| 20. Go to back step (8); |
| 21. End. |
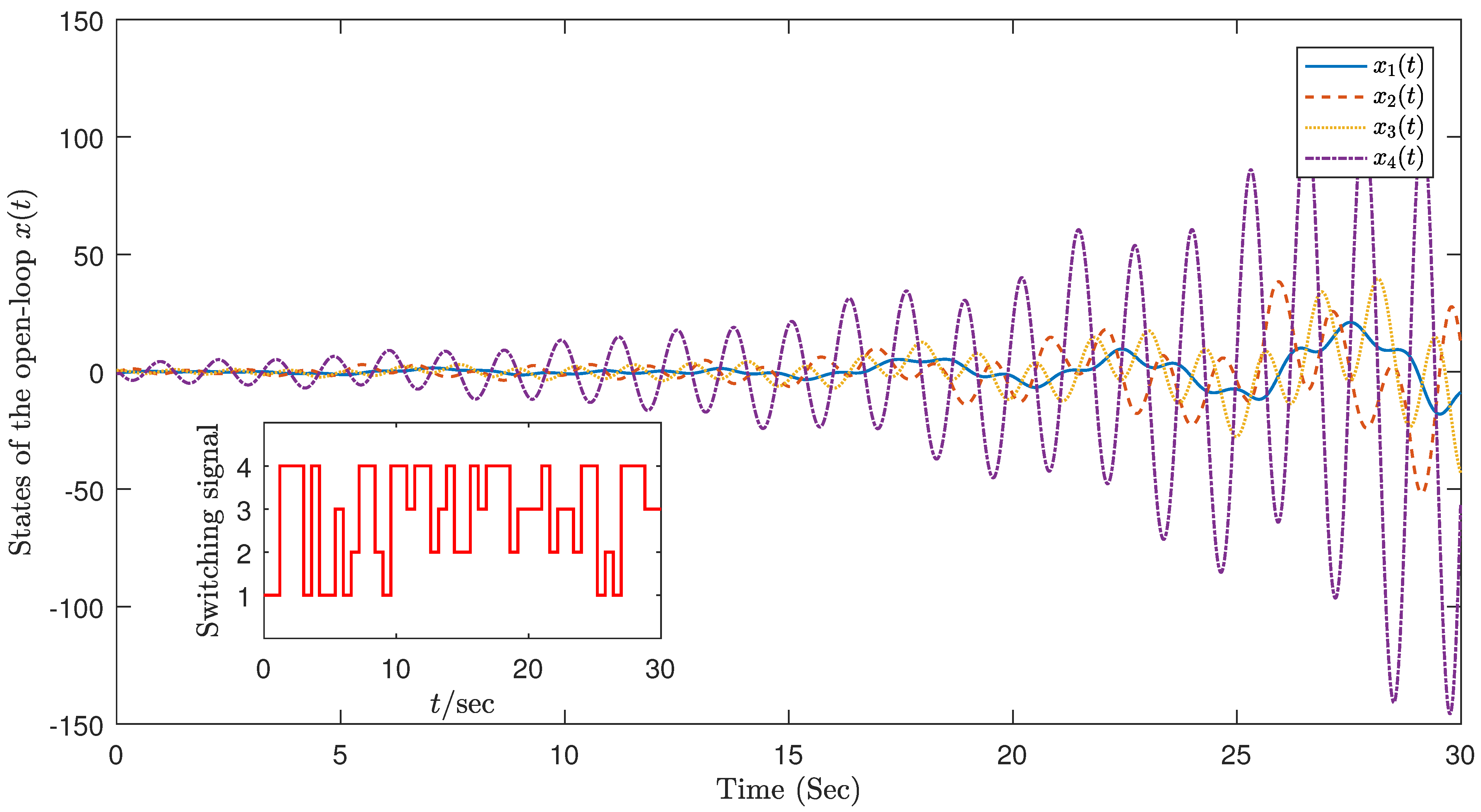
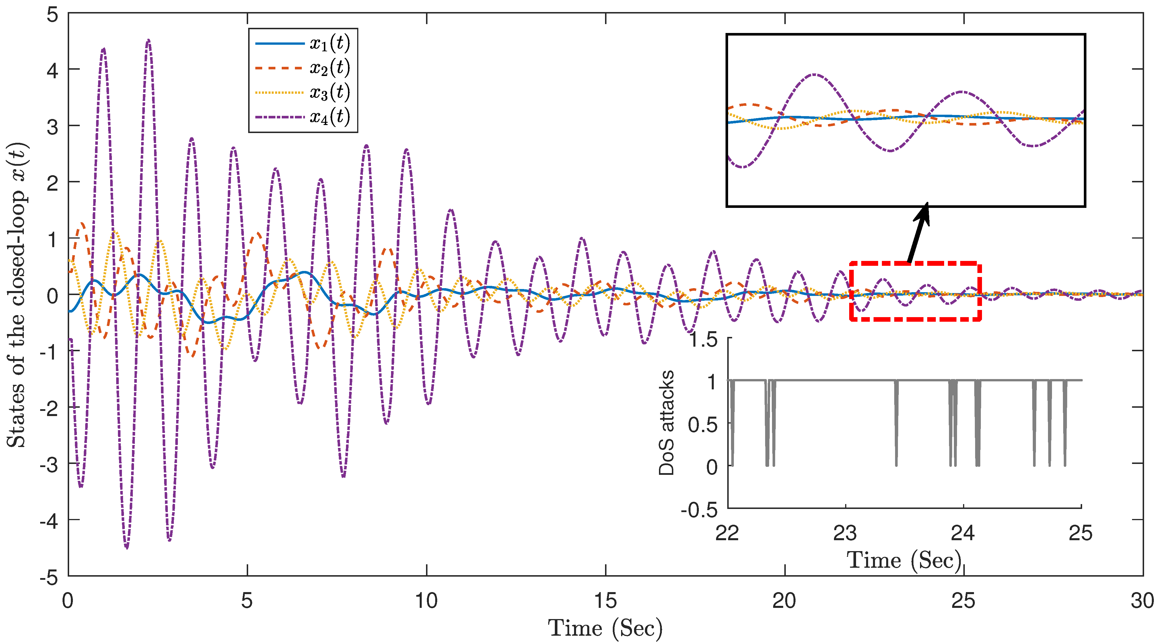
4. Simulation Results
5. Conclusions
Author Contributions
Funding
Institutional Review Board Statement
Informed Consent Statement
Data Availability Statement
Conflicts of Interest
Abbreviations
| MJSs | Markov Jump systems |
| PH | Phase-Type |
| NCSs | Networked Control Systems |
| DoS | Denial of Service |
| LMI | Linear Matrix Inequality |
| ETM | Event-triggered Mechanism |
| DETM | Dynamic Event-triggered Mechanism |
| LKF | Lyapunov–Krasovskii Functional |
References
- Yao, X.; Zhang, L.; Zheng, W.X. Uncertain disturbance rejection and attenuation for semi-Markov jump systems with application to 2-degree-freedom robot arm. IEEE Trans. Circuits Syst. Regul. Pap. 2021, 68, 3836–3845. [Google Scholar] [CrossRef]
- Liu, G.; Park, J.H.; Hua, C.; Li, Y. Hybrid dynamic event-triggered load frequency control for power systems with unreliable transmission networks. IEEE Trans. Cybern. 2022, 53, 806–817. [Google Scholar] [CrossRef]
- Barnes, A.K.; Balda, J.C.; Escobar-Mejia, A. A semi-Markov model for control of energy storage in utility grids and microgrids with PV generation. IEEE Trans. Sustain. Energy 2015, 6, 546–556. [Google Scholar] [CrossRef]
- Zhang, J.; Zhao, X.; Zhu, F.; Karimi, H.R. Reduced-order observer design for switched descriptor systems with unknown inputs. IEEE Trans. Autom. Control 2020, 65, 287–294. [Google Scholar] [CrossRef]
- Shi, P.; Li, F. A survey on Markovian jump systems: Modeling and design. Int. J. Control Autom. Syst. 2015, 13, 1–16. [Google Scholar] [CrossRef]
- Serafini, A.R.C.; Delforno, L.; Palma, J.M.; Behrens, F.H.; Morais, C.F. Robust static output-feedback control for MJLS with non-homogeneous Markov chains: A comparative study considering a wireless sensor network with time-varying PER. Sensors 2021, 21, 6420. [Google Scholar] [CrossRef]
- Dong, S.; Wu, Z.G.; Su, H.; Shi, P.; Karimi, H.R. Asynchronous control of continuous-time nonlinear Markov jump systems subject to strict dissipativity. IEEE Trans. Autom. Control 2018, 64, 1250–1256. [Google Scholar] [CrossRef]
- Nogueira, S.L.; Siqueira, A.A.G.; Inoue, R.S.; Terra, M.H. Markov jump linear systems-based position estimation for lower limb exoskeletons. Sensors 2014, 14, 1835–1849. [Google Scholar] [CrossRef]
- Liu, Z.; Yu, J.; Zhao, L.; Ma, Y.; Xue, B.; Cheng, S. Adaptive H∞ sliding mode control for a class of uncertain Markovian jump systems with time-delay. ICIC Express Lett. 2020, 14, 319–327. [Google Scholar]
- Wang, G. Stochastic stabilization of singular systems with Markovian switchings. Appl. Math. Comput. 2015, 250, 390–401. [Google Scholar] [CrossRef]
- Zhuang, G.; Ma, Q.; Zhang, B.; Xu, S.; Xia, J. Admissibility and stabilization of stochastic singular Markovian jump systems with time delays. Syst. Control Lett. 2018, 114, 1–10. [Google Scholar] [CrossRef]
- Hou, Z.; Luo, J.; Shi, P.; Nguang, S.K. Stochastic stability of Ito differential equations with semi-Markovian jump parameters. IEEE Trans. Autom. Control 2006, 51, 1383–1387. [Google Scholar] [CrossRef]
- Li, F.; Wu, L.; Shi, P. Stochastic stability of semi-Markovian jump systems with mode-dependent delays. Int. J. Robust Nonlinear Control 2014, 24, 3317–3330. [Google Scholar] [CrossRef]
- Li, M.; Chen, X.; Liu, M.; Zhang, Y.; Zhang, H. Asynchronous adaptive fault-tolerant sliding-mode control for T–S fuzzy singular Markovian jump systems with uncertain transition rates. IEEE Trans. Cybern. 2022, 52, 544–555. [Google Scholar] [CrossRef]
- Qi, W.; Park, J.H.; Zong, G.; Cao, J.; Cheng, J. Filter for positive stochastic nonlinear switching systems with phase-type semi-Markov parameters and application. IEEE Trans. Syst. Man Cybern. Syst. 2021, 52, 2225–2236. [Google Scholar] [CrossRef]
- Li, Y.; Kao, B.; Park, J.H.; Kao, Y.; Meng, B. Observer-based mode-independent integral sliding mode controller design for phase-type semi-Markov jump singular systems. Int. J. Robust Nonlinear Control 2019, 29, 5213–5226. [Google Scholar] [CrossRef]
- Ding, D.; Tang, Z.; Park, J.H.; Wang, Y.; Ji, Z. Dynamic self-triggered impulsive synchronization of complex networks with mismatched parameters and distributed delay. IEEE Trans. Cybern. 2023, 53, 887–899. [Google Scholar] [CrossRef]
- Zhang, L.; Chen, M.; Wu, B. Observer-based controller design for networked control systems with induced delays and data packet dropouts. ICIC Express Lett. Part Appl. 2021, 12, 243–253. [Google Scholar]
- Zhao, J.; Li, B. Finite-time H∞ robust controller design for a class of singular discrete-time Markov jump delay systems with packet loss compensation and input saturation. IEEE Access 2022, 10, 101465–101473. [Google Scholar] [CrossRef]
- Shi, Y.; Peng, X. Fault detection filters design of polytopic uncertain discrete-time singular Markovian jump systems with time-varying delays. J. Frankl. Inst. 2020, 357, 7343–7367. [Google Scholar] [CrossRef]
- Åarzén, K.E. A simple event-based PID controller. ICIC Proc. Vol. 1999, 32, 8687–8692. [Google Scholar] [CrossRef]
- Yue, D.; Tian, E.; Han, Q.L. A delay system method for designing event-triggered controllers of networked control systems. IEEE Trans. Autom. Control 2012, 58, 475–481. [Google Scholar] [CrossRef]
- Liu, D.; Yang, G.H. Dynamic event-triggered control for linear time-invariant systems with-gain performance. Int. J. Robust Nonlinear Control 2019, 29, 507–518. [Google Scholar] [CrossRef]
- Girard, A. Dynamic triggering mechanisms for event-triggered control. IEEE Trans. Autom. Control 2014, 60, 1992–1997. [Google Scholar] [CrossRef]
- Sathishkumar, M.; Liu, Y.-C. Resilient finite-time distributed event-triggered consensus of multi-agent systems with multiple cyber-attacks. Commun. Nonlinear Sci. Numer. Simul. 2023, 116, 106876. [Google Scholar]
- Sathishkumar, M.; Liu, Y.-C. Resilient annular finite-time bounded and adaptive event-triggered control for networked switched systems with deception attacks. IEEE Access 2021, 9, 92288–92299. [Google Scholar] [CrossRef]
- Yan, Z.; Lai, X.; Meng, Q.; Wu, M. A novel robust control method for motion control of uncertain single-link flexible-joint manipulator. IEEE Trans. Syst. Man Cybern. Syst. 2019, 51, 1671–1678. [Google Scholar] [CrossRef]
- Zheng, S.; Shi, P.; Zhang, H. Semiglobal periodic event-triggered output regulation for nonlinear multiagent systems. IEEE Trans. Autom. Control 2023, 68, 393–399. [Google Scholar] [CrossRef]
- Wang, A.; Liu, L.; Qiu, J.; Feng, G. Event-triggered robust adaptive fuzzy control for a class of nonlinear systems. IEEE Trans. Fuzzy Syst. 2018, 27, 1648–1658. [Google Scholar] [CrossRef]
- Zhang, J.; Peng, C.; Du, D.; Zheng, M. Adaptive event-triggered communication scheme for networked control systems with randomly occurring nonlinearities and uncertainties. Neurocomputing 2016, 174, 475–482. [Google Scholar] [CrossRef]
- Zhao, N.; Zhao, X.; Xu, N.; Zhang, L. Resilient event-triggered control of connected automated vehicles under cyber attacks. IEEE/CAA J. Autom. Sin. 2023, 1–3. [Google Scholar] [CrossRef]
- Zhang, H.; Zhao, N.; Wang, S.; Agarwal, R.K. Improved Event-Triggered Dynamic Output Feedback Control for Networked T–S Fuzzy Systems with Actuator Failure and Deception Attacks. IEEE Trans. Cybern. 2023, 1–11. [Google Scholar] [CrossRef]
- Gu, K.; Chen, J.; Kharitonov, V.L. Stability of Time-Delay Systems; Springer Science & Business Media: Boston, MA, USA, 2003. [Google Scholar]
- Park, P.; Ko, J.W.; Jeong, C. Reciprocally convex approach to stability of systems with time-varying delays. Automatica 2011, 47, 235–238. [Google Scholar] [CrossRef]
- Kushner, H.J. Stochastic Stability and Control; Technical Report; Brown Univ Providence RI: Providence, RI, USA, 1967. [Google Scholar]










| Hardware | Type |
|---|---|
| CPU | Intel(Core) i5-12400F |
| GPU | NVIDIA T400 4GB GDDR6 |
| Memory stick | Kingston FURY 16GB |
| Hard disk | Kingston 1TB SSD |
| Software | Type |
| Operating system | Windows 10 |
| MATLAB | Matlab 2016b |
| Parameter | Unit | Numerical Value |
|---|---|---|
| [1, 10] | ||
| k | 20 | |
| J | 1 | |
| s | 0.01 | |
| M | 5 | |
| s | 0.1 | |
| H | m | 1 |
| * | 0.6 | |
| * | 2 | |
| * | 0.95 |
Disclaimer/Publisher’s Note: The statements, opinions and data contained in all publications are solely those of the individual author(s) and contributor(s) and not of MDPI and/or the editor(s). MDPI and/or the editor(s) disclaim responsibility for any injury to people or property resulting from any ideas, methods, instructions or products referred to in the content. |
© 2023 by the authors. Licensee MDPI, Basel, Switzerland. This article is an open access article distributed under the terms and conditions of the Creative Commons Attribution (CC BY) license (https://creativecommons.org/licenses/by/4.0/).
Share and Cite
Zhang, H.; Chen, Z.; Ao, W.; Shi, P. Improved Dynamic Event-Triggered Robust Control for Flexible Robotic Arm Systems with Semi-Markov Jump Process. Sensors 2023, 23, 5523. https://doi.org/10.3390/s23125523
Zhang H, Chen Z, Ao W, Shi P. Improved Dynamic Event-Triggered Robust Control for Flexible Robotic Arm Systems with Semi-Markov Jump Process. Sensors. 2023; 23(12):5523. https://doi.org/10.3390/s23125523
Chicago/Turabian StyleZhang, Huiyan, Zixian Chen, Wengang Ao, and Peng Shi. 2023. "Improved Dynamic Event-Triggered Robust Control for Flexible Robotic Arm Systems with Semi-Markov Jump Process" Sensors 23, no. 12: 5523. https://doi.org/10.3390/s23125523
APA StyleZhang, H., Chen, Z., Ao, W., & Shi, P. (2023). Improved Dynamic Event-Triggered Robust Control for Flexible Robotic Arm Systems with Semi-Markov Jump Process. Sensors, 23(12), 5523. https://doi.org/10.3390/s23125523

