Kinesthetic Feedback for Understanding Program Execution
Abstract
1. Introduction
2. Materials and Methods
2.1. Experimental Protocol and System Overview
2.2. Narrative
2.3. Visual Only (Computer Animation)
2.4. Kinesthetic + Visual (Robot)
2.4.1. Robot Block
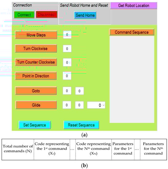
2.4.2. Graphical User Interface
2.4.3. Workspace Area
2.4.4. Procedure
2.4.5. Data Analysis
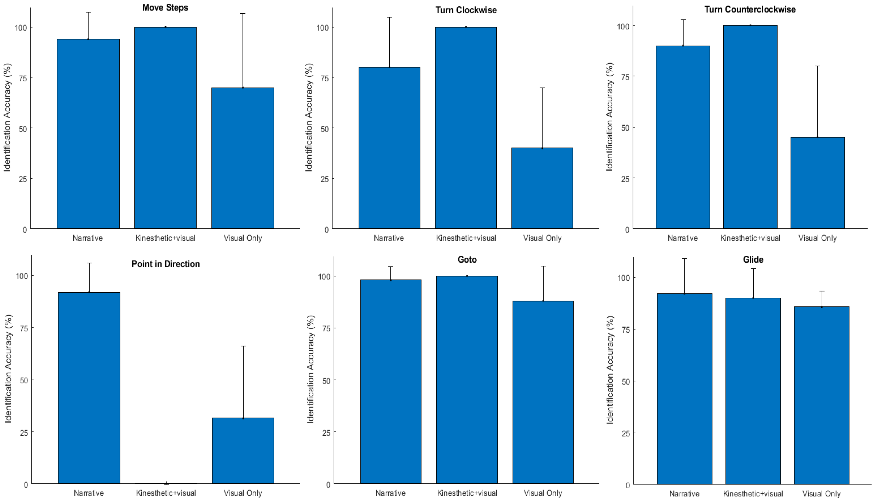
3. Results
4. Discussion and Future Work
Author Contributions
Funding
Institutional Review Board Statement
Informed Consent Statement
Data Availability Statement
Conflicts of Interest
References
- United States Census Bureau. Available online: https://www.census.gov/quickfacts/fact/table/US/PST045221 (accessed on 10 April 2023).
- U.S. Bureau of Labor Statistics. Available online: https://www.bls.gov/opub/btn/volume-10/why-computer-occupations-are-behind-strong-stem-employment-growth.htm (accessed on 28 December 2022).
- Grover, S. Robotics and Engineering for Middle and High School Students to Develop Computational Thinking. In Proceedings of the Annual Meeting of the American Educational Research Association, New Orleans, LA, USA, 8–12 April 2011. [Google Scholar]
- Henderson, P.B.; Cortina, T.J.; Hazzan, O.; Wing, J.M. Computational Thinking. In Proceedings of the 38th SIGCSE Technical Symposium on Computer Science Education, Covington, KY, USA, 7–11 March 2007; pp. 195–196. [Google Scholar]
- Weintrop, D.; Beheshti, E.; Horn, M.; Oron, K.; Jona, K.; Trouille, L.; Wilensky, U. Defining Computational Thinking for Mathematics and Science Classrooms. J. Sci. Educ. Technol. 2016, 25, 127–147. [Google Scholar] [CrossRef]
- Blakemore, L. Does Teaching Computer Programming within Key Stage 1 of the Primary Curriculum Enhance Children’s Problem Solving Skills; University of Sheffield: Sheffield, UK, 2017. [Google Scholar]
- Fessakis, G.; Gouli, E.; Mavroudi, E. Problem Solving by 5–6 Years Old Kindergarten Children in a Computer Programming Environment: A Case Study. Comput. Educ. 2013, 63, 87–97. [Google Scholar] [CrossRef]
- Fesakis, G.; Serafeim, K. Influence of the Familiarization with “Scratch” on Future Teachers’ Opinions and Attitudes about Programming and ICT in Education. ACM SIGCSE Bull. 2009, 41, 258–262. [Google Scholar] [CrossRef]
- Kay, R.H.; Knaack, L. A Case for Ubiquitous, Integrated Computing in Teacher Education. Technol. Pedagog. Educ. 2005, 14, 391–412. [Google Scholar] [CrossRef]
- Armoni, M. The Nature of CS in K--12 Curricula: The Roots of Confusion. ACM Inroads 2011, 2, 19–20. [Google Scholar] [CrossRef]
- Caspersen, M.E.; Kolling, M. STREAM: A First Programming Process. ACM Trans. Comput. Educ. 2009, 9, 1–29. [Google Scholar] [CrossRef]
- Gökçearslan, S.; Alper, A. The Effect of Locus of Control on Learners’ Sense of Community and Academic Success in the Context of Online Learning Communities. Internet High. Educ. 2015, 27, 64–73. [Google Scholar] [CrossRef]
- McCracken, M.; Almstrum, V.; Diaz, D.; Guzdial, M.; Hagan, D.; Kolikat, Y.B.-D.; Laxer, C.; Thomas, L.; Utting, I.; Wilusz, T. A Multi-National, Multi-Institutional Study of Assessment of Programming Skills of First-Year CS Students. In Proceedings of the Working Group Reports from ITiCSE on Innovation and Technology in Computer Science Education, Kent, UK, 24–30 June 2001; pp. 125–180. [Google Scholar]
- Beaubouef, T.; Mason, J. Why the High Attrition Rate for Computer Science Students: Some Thoughts and Observations. ACM SIGCSE Bull. 2005, 37, 103–106. [Google Scholar] [CrossRef]
- Kaučič, B.; Asič, T. Improving Introductory Programming with Scratch? In Proceedings of the 2011 Proceedings of the 34th International Convention MIPRO, Opatija, Croatia, 23–27 May 2011; pp. 1095–1100. [Google Scholar]
- Ozoran, D.; Cagiltay, N.E.; Topalli, D. Using Scratch in Introduction to Programming Course for Engi-Neering Students. In Proceedings of the 2nd International Engineering Education Conference (IEEC2012), Antalya, Turkey, 31 October–3 November 2012; pp. 125–132. [Google Scholar]
- Topali, D.; Cagiltay, N.E. Improving Programming Skills in Engineering Education through Problem-Based Game Projects with Scratch. Comput. Educ. 2018, 120, 64–74. [Google Scholar] [CrossRef]
- Garner, S. Learning to Program from Scratch. In Proceedings of the 2009 Ninth IEEE International Conference on Advanced Learning Technologies, Riga, Latvia, 15–17 July 2009; pp. 451–452. [Google Scholar]
- Maloney, J.H.; Peppler, K.; Kafai, Y.; Resnick, M.; Rusk, N. Programming by Choice: Urban Youth Learning Programming with Scratch. In Proceedings of the SIGCSE ’08: Proceedings of the 39th SIGCSE Technical Symposium on Computer Science Education, Portland, OR, USA, 12–15 March 2008; pp. 367–371. [Google Scholar]
- Doherty, L.; Kumar, V. Teaching Programming Through Games. In Proceedings of the 2009 International Workshop on Technology for Education, Banglore, India, 4–6 August 2009; pp. 111–113. [Google Scholar]
- Šerbec, I.N.; Kaučič, B.; Rugelj, J. Pair Programming as a Modern Method of Teaching Computer Science. Int. J. Emerg. Technol. Learn. 2008, 3, 45–49. [Google Scholar]
- Anwar, S.; Bascou, N.A.; Menekse, M. A Systematic Review of Studies on Educational Robotics. J. Pre-College Eng. Educ. Res. 2019, 9, 2. [Google Scholar] [CrossRef]
- Eguchi, A. Understanding Machine Learning Through AI-Powered Educational Robotics—Pilot Study with Undergraduate Students. In Proceedings of the International Conference on Robotics in Education (RiE), Bratislava, Slovakia, 27–29 April 2022; pp. 52–62. [Google Scholar]
- Papadakis, S.; Vaiopoulou, J.; Sifaki, E.; Stamovlasis, D.; Kalogiannakis, M. Attitudes towards the Use of Educational Robotics: Exploring Pre-Service and In-Service Early Childhood Teacher Profiles. Educ. Sci. 2021, 11, 204. [Google Scholar] [CrossRef]
- Benitti, F.B.V. Exploring the Educational Potential of Robotics in Schools: A Systematic Review. Comput. Educ. 2012, 58, 978–988. [Google Scholar] [CrossRef]
- Barker, B.S.; Ansorge, J. Robotics as Means to Increase Achievement Scores in an Informal Learning Environment. J. Res. Technol. Educ. 2007, 39, 229–243. [Google Scholar] [CrossRef]
- Nugent, G.; Barker, B.; Grandgenett, N.; Adamchuk, V. The Use of Digital Manipulatives in K-12: Robotics, GPS/GIS and Programming. In Proceedings of the 2009 39th IEEE Frontiers in Education Conference, San Antonio, TX, USA, 18–21 October 2009; pp. 1–6. [Google Scholar]
- Sullivan, F.R. Robotics and Science Literacy: Thinking Skills, Science Process Skills and Systems Understanding. J. Res. Sci. Teach. 2008, 45, 373–394. [Google Scholar] [CrossRef]
- Afari, E.; Khine, M.S. Robotics as an Educational Tool: Impact of Lego Mindstorms. Int. J. Inf. Educ. Technol. 2017, 7, 437–442. [Google Scholar] [CrossRef]
- Barak, M.; Zadok, Y. Robotics Projects and Learning Concepts in Science, Technology and Problem Solving. Int. J. Technol. Des. Educ. 2009, 19, 289–307. [Google Scholar] [CrossRef]
- Hussain, S.; Lindh, J.; Shukur, G. The Effect of LEGO Training on Pupils’ School Performance in Mathematics, Problem Solving Ability and Attitude: Swedish Data. J. Educ. Technol. Soc. 2006, 9, 182–194. [Google Scholar]
- Williams, D.C.; Ma, Y.; Prejean, L.; Ford, M.J.; Guolin, L. Acquisition of Physics Content Knowledge and Scientific Inquiry Skills in a Robotics Summer Camp. J. Res. Technol. Educ. 2007, 40, 201–216. [Google Scholar] [CrossRef]
- Leite, W.L.; Svinicki, M.; Shi, Y. Attempted Validation of the Scores of the VARK: Learning Styles Inventory With Multitrait–Multimethod Confirmatory Factor Analysis Models. Educ. Psychol. Meas. 2010, 70, 323–339. [Google Scholar] [CrossRef]
- Agostinhi, S.; Sharon, T.-F.; Ginns, P.; Howard, S.J.; Leahy, W.; Pass, F. Giving Learning a Helping Hand: Finger Tracing of Temperature Graphs on an IPad. Educ. Psychol. Rev. 2015, 27, 427–443. [Google Scholar] [CrossRef]
- Hu, F.; Ginns, P.; Bobis, J. Getting the Point: Tracing Worked Examples Enhances Learning. Learn. Instr. 2015, 35, 85–93. [Google Scholar] [CrossRef]
- Bara, F.; Gentaz, E.; Cole, P.; Liliane, S.-C. The Visuo-Haptic and Haptic Exploration of Letters Increases the Kindergarten-Children’s Understanding of the Alphabetic Principle. Cogn. Dev. 2004, 19, 433–449. [Google Scholar] [CrossRef]
- Podbros, L.Z.; Wyke, M.A.; Waters, J.M. Vision and Kinesthesis in Spatial Short-Term Memory. Percept. Mot. Skills 1981, 53, 459–466. [Google Scholar] [CrossRef]
- Kurniawan, O.; Lee, N.T.S.; Datta, S.S.; Leong, P.K. Effectiveness of Physical Robot Versus Robot Simulator in Teaching Introductory Programming. In Proceedings of the 2018 IEEE International Conference on Teaching, Assessment, and Learning for Engineering (TALE), Wollongong, Australia, 4–7 December 2018; pp. 486–493. [Google Scholar]
- Novak, M.; Schwan, S. Does Touching Real Objects Affect Learning? Educ. Psychol. Rev. 2020, 33, 637–665. [Google Scholar] [CrossRef]
- Pololu Robotics and Electronics. Available online: https://www.pololu.com/product/4976 (accessed on 31 December 2022).
- Filimon, F. Are All Spatial Reference Frames Egocentric? Reinterpreting Evidence for Allocentric, Object-Centered, or World-Centered Reference Frames. Front. Hum. Neurosci. 2015, 9, 648. [Google Scholar] [CrossRef]
- Gill, S.; Pawluk, D.T.V. Design of a “Cobot Tactile Display” for Accessing Virtual Diagrams by Blind and Visually Impaired Users. Sensors 2022, 22, 4468. [Google Scholar] [CrossRef]











| Instruction | Function |
|---|---|
| Move # Steps | Move forward (±) # steps from the current location |
| Turn Clockwise # | Rotate in a clockwise direction # degrees from the current direction faced |
| Turn Counterclockwise # | Rotate in a counterclockwise direction # degrees from the current direction faced |
| Point in Direction # | Point in a specific direction # degrees on a Cartesian coordinate system irrespective of the current orientation |
| Go to #, # | Move to a particular planar location (±x and ±y) in a Cartesian coordinate system |
| Glide #, #, # | Move to a particular planar location (±x and ±y) in a Cartesian coordinate system, taking t seconds to complete the movement |
| Position | Zone |
|---|---|
| x < −90 and y > 70 | Top Left (TL) |
| −90 >= x <= 90 and y > 70 | Top Middle (TM) |
| x > 90 and y > 70 | Top Right (TR) |
| x < −90 and −70 >= y <= 70 | Center Left (CL) |
| −90 >= x <= 90 and −70 >= y <= 70 | Center Middle (CM) |
| x > 90 and −70 >= y <= 70 | Center Right (CR) |
| x < −90 and y < −70 | Bottom Left (BL) |
| −90 >= x <= 90 and y < −70 | Bottom Middle (BM) |
| x > 90 and y < −70 | Bottom Right (BR) |
| Question Number | Statement |
|---|---|
| 1 | I thought this method was easy to use |
| 2 | I did not feel very confident using this method |
| 3 | I thought this method helped me understand the program quickly |
| 4 | I thought this method was very cumbersome to use |
| 5 | I thought this method was fun to use |
| 6 | I felt very confident using this method |
| 7 | I thought this method was not very helpful in understanding the program |
| 8 | I thought this method was boring to use |
| Narrative (µ ± σ) | Kinesthetic + Visual (µ ± σ) | Visual Only (µ ± σ) | ANOVA (F, p) | Bonferroni Pairwise Comparison | |
|---|---|---|---|---|---|
| Move Steps | 94 ± 13.50 | 100 ± 0 | 70 ± 36.82 | F(2, 18) = 4.71, p = 0.023 | |
| Turn Clockwise | 80 ± 24.94 | 100 ± 0 | 40 ± 29.81 | F(2, 18) = 13.70, p < 0.001 | *** (∆µ = 60, p < 0.001) |
| Turn Counterclockwise | 90.0 ± 12.91 | 100 ± 0 | 45.0 ± 34.96 | F(2, 18) = 15.58, p < 0.001 | ** (∆µ = 45, p = 0.03) *** (∆µ = 55, p = 0.002) |
| Point in Direction | 92 ± 13.98 | 0 ± 0 | 31.5 ± 36.65 | F(2, 18) = 58.77, p < 0.001 | * (∆µ = 92, p < 0.001) ** (∆µ = 60.5, p < 0.001) |
| Goto | 98 ± 6.33 | 100 ± 0 | 88 ± 16.87 | F(2, 18) = 4.04, p = 0.04 | |
| Glide | 95.6 ± 13.33 | 88.9 ± 14.53 | 85.9 ± 8.13 | F(2, 16) = 1.80, p = 0.20 |
| Question Number | Narrative (µ ± σ) | Kinesthetic + Visual (µ ± σ) | Visual Only (µ ± σ) |
|---|---|---|---|
| 1/4 (Ease of Use) | 2.85 ± 1.11 | 3.85 ± 0.75 | 3.10 ± 0.70 |
| 2/6 (Confidence Level) | 2.45 ± 1.17 | 3.40 ± 0.77 | 2.35 ± 1.29 |
| 3/7 (Understanding) | 3.33 ± 0.92 | 3.75 ± 0.49 | 3.45 ± 0.83 |
| 5/8 (Fun to Use) | 3.35 ± 0.85 | 4.05 ± 0.55 | 3.45 ± 1.09 |
| Question Number | Statement |
|---|---|
| 1 | The ease of use for understanding a program |
| 2 | Your confidence in understanding a program |
| 3 | The speed of understanding a program |
| 4 | How fun it was for understanding a program |
| 5 | Your overall preference |
Disclaimer/Publisher’s Note: The statements, opinions and data contained in all publications are solely those of the individual author(s) and contributor(s) and not of MDPI and/or the editor(s). MDPI and/or the editor(s) disclaim responsibility for any injury to people or property resulting from any ideas, methods, instructions or products referred to in the content. |
© 2023 by the authors. Licensee MDPI, Basel, Switzerland. This article is an open access article distributed under the terms and conditions of the Creative Commons Attribution (CC BY) license (https://creativecommons.org/licenses/by/4.0/).
Share and Cite
Gill, S.; Goolsby, B.J.; Pawluk, D.T.V. Kinesthetic Feedback for Understanding Program Execution. Sensors 2023, 23, 5159. https://doi.org/10.3390/s23115159
Gill S, Goolsby BJ, Pawluk DTV. Kinesthetic Feedback for Understanding Program Execution. Sensors. 2023; 23(11):5159. https://doi.org/10.3390/s23115159
Chicago/Turabian StyleGill, Satinder, Bryson J. Goolsby, and Dianne T. V. Pawluk. 2023. "Kinesthetic Feedback for Understanding Program Execution" Sensors 23, no. 11: 5159. https://doi.org/10.3390/s23115159
APA StyleGill, S., Goolsby, B. J., & Pawluk, D. T. V. (2023). Kinesthetic Feedback for Understanding Program Execution. Sensors, 23(11), 5159. https://doi.org/10.3390/s23115159

