Ozone Detection via Deep-Ultraviolet Cavity-Enhanced Absorption Spectroscopy with a Laser Driven Light Source
Abstract
1. Introduction
2. Experimental Methods
2.1. Experimental Setup
2.2. Principle of Operation and Analysis Method
3. Results and Discussion
3.1. Mirror Reflectivity and Cavity Spectral Throughput
3.2. Sensor Accuracy for Ozone Detection
3.3. Sensor Precision for Ozone Detection
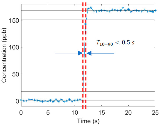
3.4. Response Time for Ozone Detection
3.5. Demonstrative Field Deployment
4. Conclusions
Author Contributions
Funding
Institutional Review Board Statement
Informed Consent Statement
Data Availability Statement
Conflicts of Interest
References
- Lu, X.; Zhang, L.; Shen, L. Meteorology and Climate Influences on Tropospheric Ozone: A Review of Natural Sources, Chemistry, and Transport Patterns. Curr. Pollut. Rep. 2019, 5, 238–260. [Google Scholar] [CrossRef]
- Nuvolone, D.; Petri, D.; Voller, F. The effects of ozone on human health. Environ. Sci. Pollut. Res. 2018, 25, 8074–8088. [Google Scholar] [CrossRef] [PubMed]
- Emberson, L. Effects of ozone on agriculture, forests and grasslands. Philos. Trans. R. Soc. A Math. Phys. Eng. Sci. 2020, 378, 20190327. [Google Scholar] [CrossRef] [PubMed]
- Colorado Department of Public Health and Environment, State of Colorado Technical Support Document for Recommended 8-Hour Ozone Designations, Air Pollution Control Division, Adopted 15 September 2016, Denver, Colorado. Available online: https://www.epa.gov/sites/default/files/2016-11/documents/co-rec-tsd.pdf (accessed on 18 April 2023).
- Thompson, T.M.; Shepherd, D.; Stacy, A.; Barna, M.G.; Schichtel, B.A. Modeling to Evaluate Contribution of Oil and Gas Emissions to Air Pollution. J. Air Waste Manag. Assoc. 2017, 67, 445–461. [Google Scholar] [CrossRef]
- Cheadle, L.C.; Oltmans, S.J.; Pétron, G.; Schnell, R.C.; Mattson, E.J.; Herndon, S.C.; Thompson, A.M.; Blake, D.R.; McClure-Begley, A. Surface ozone in the Colorado northern Front Range and the influence of oil and gas development during FRAPPE/DISCOVER-AQ in summer 2014. Elem. Sci. Anthr. 2017, 5, 61. [Google Scholar] [CrossRef]
- Gilman, J.B. Oil and Gas VOC Emissions and Chemistry, E.C.S.L. Review, Editor. 2015. Available online: https://www.google.com.hk/url?sa=i&rct=j&q=&esrc=s&source=web&cd=&cad=rja&uact=8&ved=0CAIQw7AJahcKEwioxNifqIr_AhUAAAAAHQAAAAAQAg&url=https%3A%2F%2Fcsl.noaa.gov%2Freviews%2F2015%2Fpresentations%2F42Gilman.pdf&psig=AOvVaw3pn9ObVMsM5I3dLL9ku0Pi&ust=1684892252787906 (accessed on 26 April 2023).
- Gilman, J.B.; Lerner, B.M.; Kuster, W.C.; de Gouw, J.A. Source Signature of Volatile Organic Compounds from Oil and Natural Gas Operations in Northeastern Colorado. Environ. Sci. Technol. 2013, 47, 1297–1305. [Google Scholar] [CrossRef]
- Albertson, J.D.; Harvey, T.; Foderaro, G.; Zhu, P.P.; Zhou, X.C.; Ferrari, S.; Amin, M.S.; Modrak, M.; Brantley, H.; Thoma, E.D. A Mobile Sensing Approach for Regional Surveillance of Fugitive Methane Emissions in Oil and Gas Production. Environ. Sci. Technol. 2016, 50, 2487–2497. [Google Scholar] [CrossRef]
- McHale, L.E.; Martinez, B.; Miller, T.W.; Yalin, A.P. Open-path cavity ring-down methane sensor for mobile monitoring of natural gas emissions. Opt. Express 2019, 27, 20084–20097. [Google Scholar] [CrossRef] [PubMed]
- Caulton, D.R.; Li, Q.; Bou-Zeid, E.; Fitts, J.P.; Golston, L.M.; Pan, D.; Lu, J.; Lane, H.M.; Buchholz, B.; Guo, X.H.; et al. Quantifying uncertainties from mobile-laboratory-derived emissions of well pads using inverse Gaussian methods. Atmos. Chem. Phys. 2018, 18, 15145–15168. [Google Scholar] [CrossRef]
- Golston, L.M.; Aubut, N.F.; Frish, M.B.; Yang, S.T.; Talbot, R.W.; Gretencord, C.; McSpiritt, J.; Zondlo, M.A. Natural Gas Fugitive Leak Detection Using an Unmanned Aerial Vehicle: Localization and Quantification of Emission Rate. Atmosphere 2018, 9, 333. [Google Scholar] [CrossRef]
- Sun, K.; Tao, L.; Miller, D.J.; Khan, M.A.; Zondlo, M.A. On-Road Ammonia Emissions Characterized by Mobile, Open-Path Measurements. Environ. Sci. Technol. 2014, 48, 3943–3950. [Google Scholar] [CrossRef] [PubMed]
- Arfire, A.; Marjovi, A.; Martinoli, A. Mitigating Slow Dynamics of Low-Cost Chemical Sensors for Mobile Air Quality Monitoring Sensor Networks. In Proceedings of the 2016 International Conference on Embedded Wireless Systems and Networks, Graz, Austria, 15–17 February 2016; pp. 159–167. [Google Scholar]
- Marjovi, A.; Arfire, A.; Martinoli, A. High Resolution Air Pollution Maps in Urban Environments Using Mobile Sensor Networks. In Proceedings of the 2015 International Conference on Distributed Computing in Sensor Systems (DCOSS), Fortaleza, Brazil, 10–12 June 2015; pp. 11–20. [Google Scholar]
- Lee, J.K.; Christen, A.; Ketler, R.; Nesic, Z. A mobile sensor network to map carbon dioxide emissions in urban environments. Atmos. Meas. Tech. 2017, 10, 645–665. [Google Scholar] [CrossRef]
- Hannun, R.A.; Swanson, A.K.; Bailey, S.A.; Hanisco, T.F.; Bui, T.P.; Bourgeois, I.; Peischl, J.; Ryerson, T.B. A cavity-enhanced ultraviolet absorption instrument for high-precision, fast-time-response ozone measurements. Atmos. Meas. Tech. 2020, 13, 6877–6887. [Google Scholar] [CrossRef]
- Sui, N.; Wei, X.; Cao, S.; Zhang, P.; Zhou, T.; Zhang, T. Nanoscale Bimetallic AuPt-Functionalized Metal Oxide Chemiresistors: Ppb-Level and Selective Detection for Ozone and Acetone. ACS Sens. 2022, 7, 2178–2187. [Google Scholar] [CrossRef]
- Snyder, E.G.; Watkins, T.H.; Solomon, P.A.; Thoma, E.D.; Williams, R.W.; Hagler, G.S.W.; Shelow, D.; Hindin, D.A.; Kilaru, V.J.; Preuss, P.W. The Changing Paradigm of Air Pollution Monitoring. Environ. Sci. Technol. 2013, 47, 11369–11377. [Google Scholar] [CrossRef]
- Castell, N.; Dauge, F.R.; Schneider, P.; Vogt, M.; Lerner, U.; Fishbain, B.; Broday, D.; Bartonova, A. Can commercial low-cost sensor platforms contribute to air quality monitoring and exposure estimates? Environ. Int. 2017, 99, 293–302. [Google Scholar] [CrossRef]
- Wing, R.; Godin-Beekmann, S.; Steinbrecht, W.; McGee, T.J.; Sullivan, J.T.; Khaykin, S.; Sumnicht, G.; Twigg, L. Evaluation of the new DWD ozone and temperature lidar during the Hohenpeißenberg Ozone Profiling Study (HOPS) and comparison of results with previous NDACC campaigns. Atmos. Meas. Tech. 2021, 14, 3773–3794. [Google Scholar] [CrossRef]
- Axelsson, H.; Edner, H.; Galle, B.; Ragnarson, P.; Rudin, M. Differential Optical Absorption Spectroscopy (DOAS) Measurements of Ozone in the 280–290 nm Wavelength Region. Appl. Spectrosc. 1990, 44, 1654–1658. [Google Scholar] [CrossRef]
- Fiedler, S.E.; Hese, A.; Ruth, A.A. Incoherent broad-band cavity-enhanced absorption spectroscopy. Chem. Phys. Lett. 2003, 371, 284–294. [Google Scholar] [CrossRef]
- Berden, G.; Engeln, R. Cavity Ring-Down Spectroscopy, Techniques and Applications; John Wiley & Sons: New York, NY, USA, 2009. [Google Scholar]
- Gao, R.S.; Ballard, J.; Watts, L.A.; Thornberry, T.D.; Ciciora, S.J.; McLaughlin, R.J.; Fahey, D.W. A compact, fast UV photometer for measurement of ozone from research aircraft. Atmos. Meas. Tech. 2012, 5, 2201–2210. [Google Scholar] [CrossRef]
- Proffitt, M.H.; McLaughlin, R.J. Fast-response dual-beam UV-absorption ozone photometer suitable for use on stratospheric balloons. Rev. Sci. Instrum. 1983, 54, 1719–1728. [Google Scholar] [CrossRef]
- Washenfelder, R.A.; Wagner, N.L.; Dube, W.P.; Brown, S.S. Measurement of Atmospheric Ozone by Cavity Ring-down Spectroscopy. Environ. Sci. Technol. 2011, 45, 2938–2944. [Google Scholar] [CrossRef]
- Kalnajs, L.E.; Avallone, L.M. A Novel Lightweight Low-Power Dual-Beam Ozone Photometer Utilizing Solid-State Optoelectronics. J. Atmos. Ocean. Technol. 2010, 27, 869–880. [Google Scholar] [CrossRef]
- Gomez, A.L.; Rosen, E.P. Fast response cavity enhanced ozone monitor. Atmos. Meas. Tech. 2013, 6, 487–494. [Google Scholar] [CrossRef]
- Islam, M.; Ciaffoni, L.; Hancock, G.; Ritchie, G.A.D. Demonstration of a novel laser-driven light source for broadband spectroscopy between 170 nm and 2.1 mu m. Analyst 2013, 138, 4741–4745. [Google Scholar] [CrossRef] [PubMed]
- Sachsenhauser, M. Insights from Industry: Laser-Driven Light Sources and the Future of Photonics Innovation. Available online: https://www.azooptics.com/Article.aspx?ArticleID=2258 (accessed on 26 April 2023).
- Energetiq. High Brightness, Broadband Light Source with Fiber-Coupled Output. Available online: https://www.energetiq.com/eq99xfc-fiber-coupled-broadband-light-source (accessed on 26 April 2023).
- Washenfelder, R.A.; Attwood, A.R.; Flores, J.M.; Zarzana, K.J.; Rudich, Y.; Brown, S.S. Broadband cavity-enhanced absorption spectroscopy in the ultraviolet spectral region for measurements of nitrogen dioxide and formaldehyde. Atmos. Meas. Tech. 2016, 9, 41–52. [Google Scholar] [CrossRef]
- Energetiq, H. Laser-Driven Light Source LDLS. Available online: https://www.hamamatsu.com/content/dam/hamamatsu-photonics/sites/documents/99_SALES_LIBRARY/etd/LDLS_TLSZ1038E.pdf (accessed on 26 April 2023).
- Molina, L.T.; Molina, M.J. Absolute absorption cross sections of ozone in the 185- to 350-nm wavelength range. J. Geophys. Res. Atmos. 1986, 91, 14501–14508. [Google Scholar] [CrossRef]
- Thalman, R.; Zarzana, K.J.; Tolbert, M.A.; Volkamer, R. Rayleigh scattering cross-section measurements of nitrogen, argon, oxygen and air. J. Quant. Spectrosc. Radiat. Transf. 2014, 147, 171–177. [Google Scholar] [CrossRef]
- Rothman, L.S.; Gordon, I.E.; Babikov, Y.; Barbe, A.; Benner, D.C.; Bernath, P.F.; Birk, M.; Bizzocchi, L.; Boudon, V.; Brown, L.R.; et al. The HITRAN2012 molecular spectroscopic database. J. Quant. Spectrosc. Radiat. Transf. 2013, 130, 4–50. [Google Scholar] [CrossRef]
- Bogumil, K.; Orphal, J.; Homann, T.; Voigt, S.; Spietz, P.; Fleischmann, O.C.; Vogel, A.; Hartmann, M.; Kromminga, H.; Bovensmann, H.; et al. Measurements of molecular absorption spectra with the SCIAMACHY pre-flight model: Instrument characterization and reference data for atmospheric remote-sensing in the 230–2380 nm region. J. Photochem. Photobiol. A Chem. 2003, 157, 167–184. [Google Scholar] [CrossRef]
- Lee, B.C.; Huang, W.; Tao, L.; Yamamoto, N.; Gallimore, A.D.; Yalin, A.P. A cavity ring-down spectroscopy sensor for real-time Hall thruster erosion measurements. Rev. Sci. Instrum. 2014, 85, 053111. [Google Scholar] [CrossRef] [PubMed]
- Huang, H.F.; Lehmann, K.K. Long-term stability in continuous wave cavity ringdown spectroscopy experiments. Appl. Opt. 2010, 49, 1378–1387. [Google Scholar] [CrossRef] [PubMed]
- Werle, P.; Mucke, R.; Slemr, F. The Limits of Signal Averaging in Atmospheric Trace-Gas Monitoring by Tunable Diode-Laser Absorption-Spectroscopy (Tdlas). Appl. Phys. B Photophysics Laser Chem. 1993, 57, 131–139. [Google Scholar] [CrossRef]
- Lack, D.A.; Richardson, M.S.; Law, D.; Langridge, J.M.; Cappa, C.D.; McLaughlin, R.J.; Murphy, D.M. Aircraft Instrument for Comprehensive Characterization of Aerosol Optical Properties, Part 2: Black and Brown Carbon Absorption and Absorption Enhancement Measured with Photo Acoustic Spectroscopy. Aerosol Sci. Technol. 2012, 46, 555–568. [Google Scholar] [CrossRef]
- Thorlabs. LEDs on Metal-Core PCBs Deep UV LEDs (265–340 nm). Available online: https://www.thorlabs.com/newgrouppage9.cfm?objectgroup_id=6071 (accessed on 26 April 2023).
- de Gouw, J.A.; Gilman, J.B.; Kim, S.W.; Alvarez, S.L.; Dusanter, S.; Graus, M.; Griffith, S.M.; Isaacman-VanWertz, G.; Kuster, W.C.; Lefer, B.L.; et al. Chemistry of Volatile Organic Compounds in the Los Angeles Basin: Formation of Oxygenated Compounds and Determination of Emission Ratios. J. Geophys. Res. Atmos. 2018, 123, 2298–2319. [Google Scholar] [CrossRef]







Disclaimer/Publisher’s Note: The statements, opinions and data contained in all publications are solely those of the individual author(s) and contributor(s) and not of MDPI and/or the editor(s). MDPI and/or the editor(s) disclaim responsibility for any injury to people or property resulting from any ideas, methods, instructions or products referred to in the content. |
© 2023 by the authors. Licensee MDPI, Basel, Switzerland. This article is an open access article distributed under the terms and conditions of the Creative Commons Attribution (CC BY) license (https://creativecommons.org/licenses/by/4.0/).
Share and Cite
Puga, A.; Yalin, A. Ozone Detection via Deep-Ultraviolet Cavity-Enhanced Absorption Spectroscopy with a Laser Driven Light Source. Sensors 2023, 23, 4989. https://doi.org/10.3390/s23114989
Puga A, Yalin A. Ozone Detection via Deep-Ultraviolet Cavity-Enhanced Absorption Spectroscopy with a Laser Driven Light Source. Sensors. 2023; 23(11):4989. https://doi.org/10.3390/s23114989
Chicago/Turabian StylePuga, Anthony, and Azer Yalin. 2023. "Ozone Detection via Deep-Ultraviolet Cavity-Enhanced Absorption Spectroscopy with a Laser Driven Light Source" Sensors 23, no. 11: 4989. https://doi.org/10.3390/s23114989
APA StylePuga, A., & Yalin, A. (2023). Ozone Detection via Deep-Ultraviolet Cavity-Enhanced Absorption Spectroscopy with a Laser Driven Light Source. Sensors, 23(11), 4989. https://doi.org/10.3390/s23114989
