A Fiber-Based Chromatic Dispersion Probe for Simultaneous Measurement of X-Axis and Z-Axis Displacements with Nanometric Resolutions
Abstract
1. Introduction
2. Principle and Simulation
2.1. Chromatic Dispersion and Imaging Principle
2.2. Measurement Principle of the Simultaneous Measurement of X-Axis and Z-Axis Displacements
2.3. Simulation and Discussion
3. Experiments
4. Results and Discussions
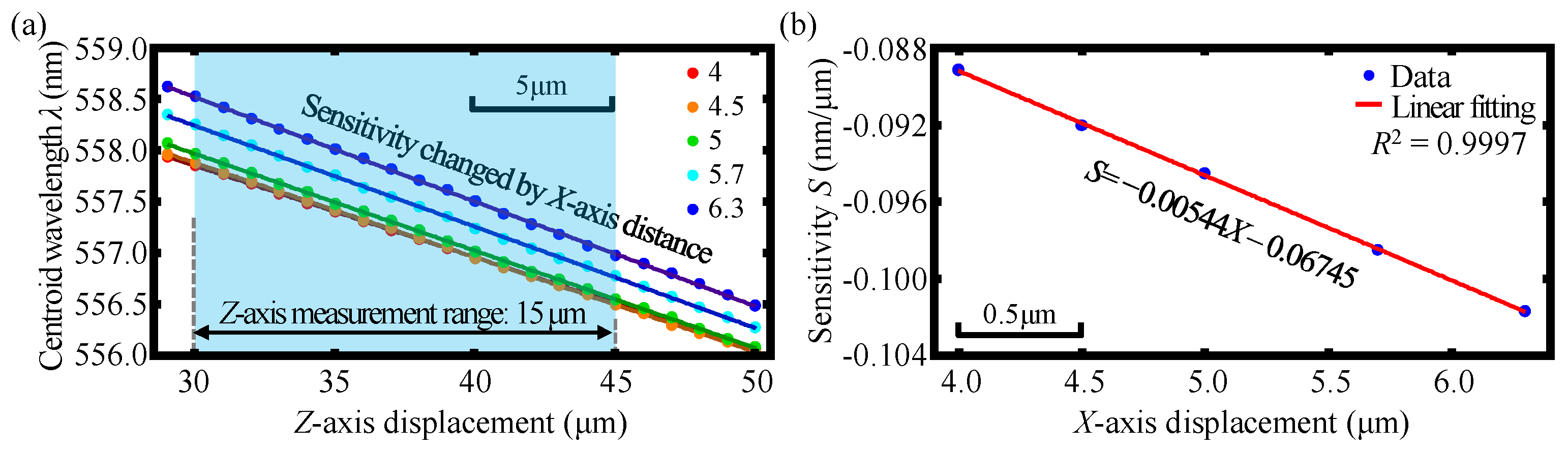
4.1. Measurement Ranges of the X- and Z-Axis
4.2. Measurement Resolutions of X- and Z-Axis
4.3. Evaluation of the Basic Performance of the Established Prototype Probe
5. Conclusions
Author Contributions
Funding
Institutional Review Board Statement
Informed Consent Statement
Data Availability Statement
Acknowledgments
Conflicts of Interest
References
- Baier, V.; Schardt, M.; Fink, M.; Jakobi, M.; Koch, A.W. MEMS-Scanner Testbench for High Field of View LiDAR Applications. Sensors 2022, 22, 39. [Google Scholar] [CrossRef] [PubMed]
- Li, H.; Ma, X.; Cui, B.; Wang, Y.; Zhang, C.; Zhao, J.; Zhang, Z.; Tang, C.; Li, E. Chip-scale demonstration of hybrid III–V/silicon photonic integration for an FBG interrogator. Optica 2017, 4, 692–700. [Google Scholar] [CrossRef]
- Liu, S.; Chen, X.; Zhang, C. Development of a broadband Mueller matrix ellipsometer as a powerful tool for nanostructure metrology. Thin Solid Films 2015, 584, 176–185. [Google Scholar] [CrossRef]
- Wu, W.; Jin, G.; Zhu, J. Optical design of the freeform reflective imaging system with wide rectangular FOV and low F-number. Results Phys. 2019, 15, 102688. [Google Scholar] [CrossRef]
- Zhao, W.; Sun, Y.; Wang, Y.; Qiu, L.; Shao, R.; Cui, H. Three-dimensional super-resolution correlation-differential confocal microscopy with nanometer axial focusing accuracy. Opt. Express 2018, 26, 15759–15768. [Google Scholar] [CrossRef]
- Zhu, J.; Cui, P.; Guo, Y.; Yang, L.; Lin, J. Pulse-to-pulse alignment based on interference fringes and the second-order temporal coherence function of optical frequency combs for distance measurement. Opt. Express 2015, 23, 13069–13081. [Google Scholar] [CrossRef]
- Brown, J.J.; Dikin, D.A.; Ruoff, R.S.; Bright, V.M. Interchangeable Stage and Probe Mechanisms for Microscale Universal Mechanical Tester. J. Microelectromech. Syst. 2012, 21, 458–466. [Google Scholar] [CrossRef]
- Yang, M.-Z.; Dai, C.-L.; Lu, D.-H. Polypyrrole Porous Micro Humidity Sensor Integrated with a Ring Oscillator Circuit on Chip. Sensors 2010, 10, 10095–10104. [Google Scholar] [CrossRef]
- Bristow, D.A.; Alleyne, A. A High Precision Motion Control System With Application to Microscale Robotic Deposition. IEEE Trans. Control Syst. Technol. 2006, 14, 1008–1020. [Google Scholar] [CrossRef]
- McDaniel, G.W.; McKelvey, K.S. A Cost-Effective System for Measuring Microscale Habitat Use of Small Mammals with High Precision. Wildl. Soc. Bull. 2006, 34, 1345–1349. [Google Scholar] [CrossRef]
- Cai, Y.; Xie, B.; Wen, Z.; Fan, K.-C. A miniature laser diode interferometer with self-compensation of retroreflector’s motion errors for displacement feedback of small-sized micro/nano motion stages. Measurement 2021, 186, 110172. [Google Scholar] [CrossRef]
- Lu, S.; Yan, P.; Zhang, B. Long stroke displacement measurement with reduced coupling error supporting high precision control of a beam flexure-based micro-stage. Rev. Sci. Instrum. 2020, 91, 073701. [Google Scholar] [CrossRef] [PubMed]
- Kim, Y.-S.; Dagalakis, N.G.; Choi, Y.-M. Optical fiber Fabry-Pérot micro-displacement sensor for MEMS in-plane motion stage. Microelectron. Eng. 2018, 187–188, 6–13. [Google Scholar] [CrossRef]
- Li, H.; Zhu, B.; Chen, Z.; Zhang, X. Realtime in-plane displacements tracking of the precision positioning stage based on computer micro-vision. Mech. Syst. Signal Process. 2019, 124, 111–123. [Google Scholar] [CrossRef]
- Ya’akobovitz, A.; Krylov, S.; Hanein, Y. Nanoscale displacement measurement of electrostatically actuated micro-devices using optical microscopy and digital image correlation. Sens. Actuators A Phys. 2010, 162, 1–7. [Google Scholar] [CrossRef]
- Peng, Y.; Ito, S.; Shimizu, Y.; Azuma, T.; Gao, W.; Niwa, E. A Cr-N thin film displacement sensor for precision positioning of a micro-stage. Sens. Actuators A Phys. 2014, 211, 89–97. [Google Scholar] [CrossRef]
- Adachi, K.; Matsukuma, H.; Sugawara, T.; Shimizu, Y.; Gao, W.; Niwa, E.; Sasaki, Y. Integration of a Cr–N Thin-Film Displacement Sensor into an XY Micro-stage for Closed-Loop Nano-positioning. Nanomanuf. Metrol. 2019, 2, 131–139. [Google Scholar] [CrossRef]
- Xu, H.G.; Ono, T.; Esashi, M. Precise motion control of a nanopositioning PZT microstage using integrated capacitive displacement sensors. J. Micromechanics Microeng. 2006, 16, 2747–2754. [Google Scholar] [CrossRef]
- Ji, L.; Zhu, Y.; Moheimani, S.O.R.; Yuce, M.R. A micromachined 2DOF nanopositioner with integrated capacitive displacement sensor. In Proceedings of the SENSORS, 2010 IEEE, Waikoloa, HI, USA, 1–4 November 2010; pp. 1464–1467. [Google Scholar]
- Yang, S.; Huang, C. A Hall Sensor-Based Three-Dimensional Displacement Measurement System for Miniature Magnetically Levitated Rotor. IEEE Sens. J. 2009, 9, 1872–1878. [Google Scholar] [CrossRef]
- Gao, W.; Saito, Y.; Muto, H.; Arai, Y.; Shimizu, Y. A three-axis autocollimator for detection of angular error motions of a precision stage. CIRP Ann. 2011, 60, 515–518. [Google Scholar] [CrossRef]
- Gao, W.; Kimura, A. A Three-axis Displacement Sensor with Nanometric Resolution. CIRP Ann. 2007, 56, 529–532. [Google Scholar] [CrossRef]
- Mirko, H.; Jörg, R. Error motion compensating tracking interferometer for the position measurement of objects with rotational degree of freedom. Opt. Eng. 2015, 54, 054101. [Google Scholar]
- Ren, M.; Liang, J.; Li, L.; Wei, B.; Wang, L.; Tang, Z. Accurate three-dimensional shape and deformation measurement at microscale using digital image correlation. Rev. Sci. Instrum. 2015, 86, 075102. [Google Scholar] [CrossRef]
- Khorshad, A.A.; Hassani, K.; Tavassoly, M.T. Nanometer displacement measurement using Fresnel diffraction. Appl. Opt. 2012, 51, 5066–5072. [Google Scholar] [CrossRef] [PubMed]
- Wang, X.; Guo, X.; Wang, Y.; Jiang, C.; Jiang, J.; Zhang, Z. All-fiber differential interferometer for nanometric displacement measurement. Opt. Commun. 2020, 475, 126283. [Google Scholar] [CrossRef]
- Cazacu, S.; Martins, J.M.; Rego, G.; Santos, S.F.; Santos, J.L.; Baptista, J.M. Micro-displacement measurement using a long period fiber grating in a self-referenced fiber optic intensity sensor. In Proceedings of the 17th Annual Meeting of the IEEE Lasers and Electro-Optics Society, 2004, LEOS 2004, Rio Grande, Puerto Rico, 7–11 November 2004; 2004; Volume 261, pp. 262–263. [Google Scholar]
- Rahman, H.A.; Harun, S.W.; Yasin, M.; Ahmad, H. Fiber-Optic Salinity Sensor Using Fiber-Optic Displacement Measurement With Flat and Concave Mirror. IEEE J. Sel. Top. Quantum Electron. 2012, 18, 1529–1533. [Google Scholar] [CrossRef]
- Puangmali, P.; Althoefer, K.; Seneviratne, L.D. Mathematical Modeling of Intensity-Modulated Bent-Tip Optical Fiber Displacement Sensors. IEEE Trans. Instrum. Meas. 2010, 59, 283–291. [Google Scholar] [CrossRef]
- Lin, D.; Jiang, X.; Xie, F.; Zhang, W.; Zhang, L.; Bennion, I. High stability multiplexed fibre interferometer and its application on absolute displacement measurement and on-line surface metrology. Opt. Express 2004, 12, 5729–5734. [Google Scholar] [CrossRef]
- Suganuma, F.; Shimamoto, A.; Tanaka, K. Development of a differential optical-fiber displacement sensor. Appl. Opt. 1999, 38, 1103–1109. [Google Scholar] [CrossRef]
- Ghaffar, A.; Hou, Y.-L.; Liu, W.-Y.; Dharejo, F.A.; Zhang, H.-X.; Jia, P.; Yanyun, H.; Liu, J.; Yunjun, Z.; Nasir, Z. Two-dimensional displacement optical fiber sensor based on macro-bending effect. Opt. Laser Technol. 2019, 120, 105688. [Google Scholar] [CrossRef]
- Qi, L.; Zhao, C.-L.; Wang, Y.; Kang, J.; Zhang, Z.; Jin, S. Compact micro-displacement sensor with high sensitivity based on a long-period fiber grating with an air-cavity. Opt. Express 2013, 21, 3193–3200. [Google Scholar] [CrossRef] [PubMed]
- Bravo, M.; Pinto, A.M.R.; Lopez-Amo, M.; Kobelke, J.; Schuster, K. High precision micro-displacement fiber sensor through a suspended-core Sagnac interferometer. Opt. Lett. 2012, 37, 202–204. [Google Scholar] [CrossRef] [PubMed]
- Chen, C.; Shimizu, Y.; Sato, R.; Matsukuma, H.; Gao, W. An off-axis differential method for improvement of a femtosecond laser differential chromatic confocal probe. Appl. Sci. 2020, 10, 7235. [Google Scholar] [CrossRef]
- Mizutani, Y.; Groves, R.M. Multi-Functional Measurement Using a Single FBG Sensor. Exp. Mech. 2011, 51, 1489–1498. [Google Scholar] [CrossRef]
- Ocvirk, G.; Tang, T.; Jed Harrison, D. Optimization of confocal epifluorescence microscopy for microchip-based miniaturized total analysis systems. Analyst 1998, 123, 1429–1434. [Google Scholar] [CrossRef]
- Kimura, S.; Wilson, T. Confocal scanning optical microscope using single-mode fiber for signal detection. Appl. Opt. 1991, 30, 2143–2150. [Google Scholar] [CrossRef]
- Goodman, J.W. Introduction to Fourier Optics; McGraw-Hill: New York, NY, USA, 1968. [Google Scholar]
- Barrell, K.F.; Pask, C. Optical Fibre Excitation by Lenses. Opt. Acta: Int. J. Opt. 1979, 26, 91–108. [Google Scholar] [CrossRef]
- Snyder, A.W. Asymptotic Expressions for Eigenfunctions and Eigenvalues of a Dielectric or Optical Waveguide. IEEE Trans. Microw. Theory Tech. 1969, 17, 1130–1138. [Google Scholar] [CrossRef]
- Snyder, A.; Love, J. Optical Waveguide Theory; Springer Science & Business Media: Berlin/Heidelberg, Germany, 1983; Volume 190. [Google Scholar]












| Items | Symbol | Value |
|---|---|---|
| Lens materials | - | K9 |
| Surface radii of the lens L4 | R1 | ∞ |
| R2 | 15.5 mm | |
| Sellmeier coefficients | B1 | 1.03961212 |
| B2 | 0.231792344 | |
| B3 | 1.01046945 | |
| C1 | 0.00600069867 | |
| C2 | 0.0200179144 | |
| C3 | 103.560653 |
Disclaimer/Publisher’s Note: The statements, opinions and data contained in all publications are solely those of the individual author(s) and contributor(s) and not of MDPI and/or the editor(s). MDPI and/or the editor(s) disclaim responsibility for any injury to people or property resulting from any ideas, methods, instructions or products referred to in the content. |
© 2022 by the authors. Licensee MDPI, Basel, Switzerland. This article is an open access article distributed under the terms and conditions of the Creative Commons Attribution (CC BY) license (https://creativecommons.org/licenses/by/4.0/).
Share and Cite
Zhao, R.; Chen, C.; Xiong, X.; Chen, Y.-L.; Ju, B.-F. A Fiber-Based Chromatic Dispersion Probe for Simultaneous Measurement of X-Axis and Z-Axis Displacements with Nanometric Resolutions. Sensors 2023, 23, 51. https://doi.org/10.3390/s23010051
Zhao R, Chen C, Xiong X, Chen Y-L, Ju B-F. A Fiber-Based Chromatic Dispersion Probe for Simultaneous Measurement of X-Axis and Z-Axis Displacements with Nanometric Resolutions. Sensors. 2023; 23(1):51. https://doi.org/10.3390/s23010051
Chicago/Turabian StyleZhao, Ran, Chong Chen, Xin Xiong, Yuan-Liu Chen, and Bing-Feng Ju. 2023. "A Fiber-Based Chromatic Dispersion Probe for Simultaneous Measurement of X-Axis and Z-Axis Displacements with Nanometric Resolutions" Sensors 23, no. 1: 51. https://doi.org/10.3390/s23010051
APA StyleZhao, R., Chen, C., Xiong, X., Chen, Y.-L., & Ju, B.-F. (2023). A Fiber-Based Chromatic Dispersion Probe for Simultaneous Measurement of X-Axis and Z-Axis Displacements with Nanometric Resolutions. Sensors, 23(1), 51. https://doi.org/10.3390/s23010051

