A Topological Sensitive Node Importance Evaluation Method in Aerospace Information Networks
Abstract
:1. Introduction
2. Related Work
3. Node Importance Evaluation Model
3.1. Node Initial Importance
3.2. Node Importance Transfer Probability Matrix
4. Network Survivability Theory
4.1. Network Structure Entropy
4.2. Satellite Network Survivability Assessment
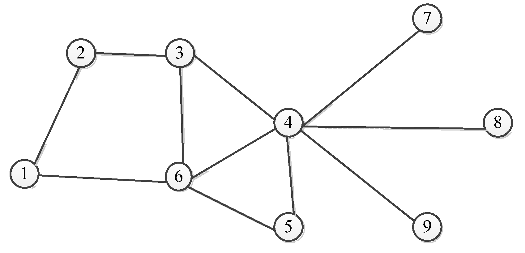
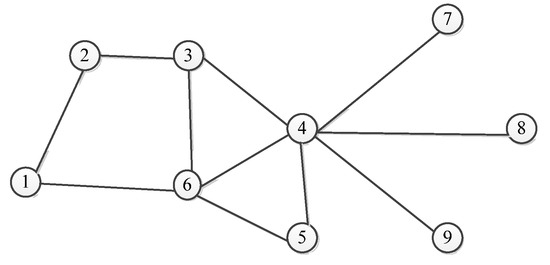
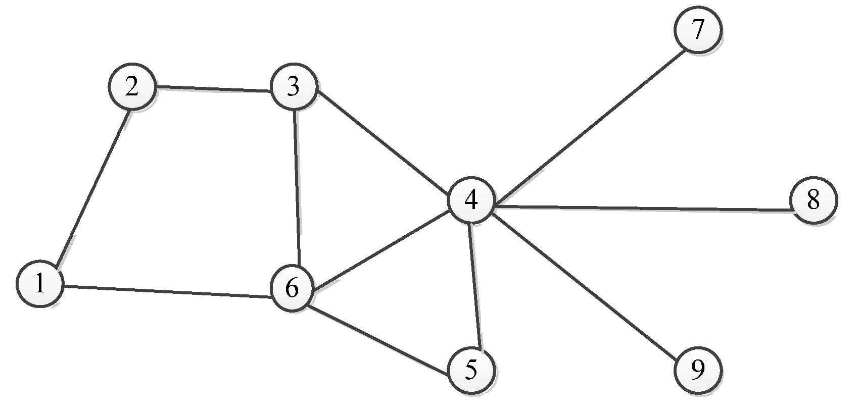
5. Experimental Simulation and Analysis
5.1. Simulation Experiment and Analysis of Node Importance
5.1.1. Node Importance Algorithm Accuracy Evaluation
5.1.2. Node Importance Algorithm Discrimination Evaluation
5.2. Network Invulnerability Simulation Experiment and Analysis
6. Summary
Author Contributions
Funding
Institutional Review Board Statement
Informed Consent Statement
Data Availability Statement
Conflicts of Interest
References
- Li, D.; Shen, X.; Gong, J.Y. On the Construction of my country’s Spatial Information Network. J. Wuhan Univ. Inf. Sci. Ed. 2015, 40, 711–715, 766. [Google Scholar]
- Wang, Y.P. Research on the Survivability of Satellite Network Topology. Master’s Dissertation, Dalian University of Technology, Dalian, China, 2018. [Google Scholar]
- Ma, J.L. Research on Optimization and Survivability of Spatial Information Network. Master’s Dissertation, Xidian University, Xi’an, China, 2018. [Google Scholar]
- Dong, F.H.; Lu, J.; Gong, X.; Li, C. Optimization Design of Invulnerability of Spatial Information Network Structure. J. Commun. 2014, 50–58. [Google Scholar]
- Fran, H.; Frisch, I.T. Analysis and Design of Survivable Networks. Commun. Technol. IEEE Trans. 1970, 18, 501–519. [Google Scholar] [CrossRef]
- Boesch, F.; Thomas, R. On graphs of invulnerable communication nets. IEEE Trans. Circuit Theory 1970, 17, 183–192. [Google Scholar] [CrossRef]
- Guo, W. Reliability evaluation method of field area communication network. Chin. J. Electron. 2000, 3–6. [Google Scholar]
- Wang, L.; Wang, X.; Wang, Y. Survivability evaluation of regional communication network based on improved jump surface node method. Mod. Electron. Technol. 2013, 13–15, 20. [Google Scholar]
- Wei, D.B.; Qin, Y.; Yu, R. Research on a method for evaluating the survivability of satellite network topology. Comput. Sci. 2016, 301–303, 310. [Google Scholar]
- Chen, J.; Zhang, Y.J. Research on the invulnerability evaluation algorithm of communication network topology. Radio Commun. Technol. 2006, 6–7, 24. [Google Scholar]
- Wang, Z.X.; Jiang, D.L.; Qi, L.; Chen, X.; Zhao, Y.B. Complex network survivability and node importance evaluation model based on redundancy. Complex Syst. Complex. Sci. 2020, 78–85. [Google Scholar]
- Wang, Z.N. Research on the Invulnerability of Network Topology. Master’s Dissertation, Dalian University of Technology, Dalian, China, 2016. [Google Scholar]
- Yuan, R.K.; Meng, X.; Li, M.; Wen, X. A network survivability assessment method for node importance. Firepower Command. Control. 2012, 40–42. [Google Scholar]
- Yu, X.G. Evaluation method of survivability of complex network based on node topology. Inf. Technol. 2010, 214–216. [Google Scholar]
- Wu, J.; Tan, S.Y.; Tan, Y.J.; Deng, H.Z. Invulnerability analysis of complex networks based on natural connectivity. Complex Syst. Complex. Sci. 2014, 77–86. [Google Scholar]
- Peng, G.S. Research on the Optimization of Invulnerability of Complex Networks Based on Natural Connectivity. Master’s Dissertation, National University of Defense Technology, Beijing, China, 2015. [Google Scholar]
- Hoque, N.; Bhattacharyya, D.K.; Kalita, J.K. MIFS-ND: A mutual information-based feature selection method. Expert Syst. Appl. 2014, 41, 6371–6385. [Google Scholar] [CrossRef]
- Yang, Y. A novel method to evaluate node importance in complex networks. Phys. A Stat. Mech. Its Appl. 2019, 526, 12118. [Google Scholar] [CrossRef]
- Ullah, A. Identifying vital nodes from local and global perspectives in complex networks. Expert Syst. Appl. 2021, 186, 115778. [Google Scholar] [CrossRef]
- Zhao, J.; Wang, Y.; Deng, Y. Identifying influential nodes in complex networks from global perspective. Chaos Solitons Fractals 2020, 133, 109637. [Google Scholar] [CrossRef]
- Yang, X.; Xiao, F. An improved gravity model to identify influential nodes in complex networks based on k-shell method. Knowl.-Based Syst. 2021, 227, 107198. [Google Scholar] [CrossRef]
- Zhang, J.N.; Li, H.W.; Zhu, Y.; Jiang, X.L. A new method for evaluating the survivability of LEO satellite communication networks. Comput. Digit. Eng. 2014, 1645–1648. [Google Scholar]
- Wu, J.; Tan, Y.J.; Deng, H.Z.; Zhu, D.Z. Research on non-uniformity of scale-free network topology. Syst. Eng. Theory Prac. 2007, 101–105. [Google Scholar] [CrossRef]
- Tan, Y.J.; Wu, J. Network structure entropy and its application in non-scaled networks. Syst. Eng. Theory Prac. 2004, 1–3. [Google Scholar]
- Wang, S.S.; Du, Y.X.; Deng, Y. A new measure of identifying influential nodes: Efficiency centrality. Commun. Nonlinear Sci. Numer. Simul. 2017, 47, 151–163. [Google Scholar] [CrossRef]
- Ren, X.L.; Lu, L.Y. A review of the ranking methods of important network nodes. Sci. Bull. 2014, 1175–1197. [Google Scholar]
- Hu, P.; Wang, F.; Mei, S. Identifying node importance in complex networks. Phys. A Stat. Mech. Its Appl. 2015, 429, 167–176. [Google Scholar] [CrossRef]
- Zeng, J.; Shao, C.; Wang, X.; Miao, F. Evaluation method for node importance based on attraction between nodes. Int. J. Mod. Phys. C 2018, 29, 1850125. [Google Scholar] [CrossRef]








| Node | Node 3 | Node 4 | Node 5 | Node 6 | Node 7 |
|---|---|---|---|---|---|
| Before deleting node 4 | 0.357 | 0.697 | 0.254 | 0.525 | 0.083 |
| After removing node 4 | 0.238 | / | 0.099 | 0.345 | 0 |
| Difference | 0.118 | / | 0.155 | 0.180 | 0.083 |
| Node | Node 1 | Node 2 | Node 3 | Node4 |
|---|---|---|---|---|
| Original | 0.140 | 0.128 | 0.357 | 0.697 |
| After removing node 1 | / | 0.063 | 0.355 | 0.345 |
| difference | / | 0.065 | 0.002 | 0.180 |
| After removing node 4 | 0.238 | 0.223 | 0.238 | / |
| difference | 0.098 | 0.095 | 0.118 | / |
| Degree Centricity | Natural Connectivity | Jump-Surface Node Method | Mutual Information Method | Our Method | |||||
|---|---|---|---|---|---|---|---|---|---|
| Node | Important Degree | Node | Important Degree | Node | Important Degree | Node | Important Degree | Node | Important Degree |
| 2 | 0.2000 | 4 | 0.1436 | 2 | 0.2406 | 4 | 0.8109 | 2 | 0.2142 |
| 4 | 0.2000 | 2 | 0.1202 | 4 | 0.2256 | 2 | 0.4054 | 1 | 0.1064 |
| 1 | 0.1344 | 8 | 0.1012 | 1 | 0.1662 | 8 | −0.4055 | 4 | 0.0884 |
| 8 | 0.1344 | 1 | 0.0742 | 8 | 0.1488 | 1 | −0.8109 | 8 | 0.0152 |
| Figure 2 | 1 | 2 | 4 | 8 | 9 | 10 | 11 |
|---|---|---|---|---|---|---|---|
| Our method | 0.1064 | 0.2142 | 0.0884 | 0.0152 | 0.0152 | 0.0152 | 0.0152 |
| Degree centricity | 0.1344 | 0.2000 | 0.2000 | 0.1344 | 0.1344 | 0.1344 | 0.1344 |
| Natural connectivity | 0.0742 | 0.1202 | 0.1436 | 0.1012 | 0.1012 | 0.1012 | 0.1012 |
| Jump-surface node method | 0.1662 | 0.2406 | 0.2256 | 0.1488 | 0.1488 | 0.1488 | 0.1488 |
| Mutual information Method | −0.8109 | 0.4054 | 0.8109 | −0.4055 | −0.4055 | −0.4055 | −0.4055 |
| Figure 3 | 1 | 2 | 4 | 8 | 9 | 10 | 11 |
|---|---|---|---|---|---|---|---|
| Our method | 0.0277 | 0.0642 | 0.0479 | 0.0037 | 0.0152 | 0.0149 | 0.0169 |
| Degree centricity | 0.1344 | 0.2000 | 0.2000 | 0.0667 | 0.1344 | 0.1344 | 0.1344 |
| Natural connectivity | 0.0879 | 0.1396 | 0.1266 | 0.0396 | 0.0835 | 0.0838 | 0.0810 |
| Jump-surface node method | 0.1662 | 0.2410 | 0.2304 | 0.0828 | 0.1590 | 0.1593 | 0.1597 |
| Mutual information Method | −0.8109 | 0.4054 | 1.5040 | −1.099 | −0.4055 | −0.4055 | −0.4055 |
| Node 2 | Node 1 | Node 4 | Node 8 | No Failure Node | |
|---|---|---|---|---|---|
| Our method | 1.5676 | 1.6711 | 2.1025 | 2.2469 | 2.2662 |
| Natural connectivity | 0.9917 | 1.0376 | 0.9683 | 1.0106 | 1.1119 |
| Jump-surface node method | 1.4800 | 1.5960 | 1.5100 | 1.6280 | 1.8270 |
Disclaimer/Publisher’s Note: The statements, opinions and data contained in all publications are solely those of the individual author(s) and contributor(s) and not of MDPI and/or the editor(s). MDPI and/or the editor(s) disclaim responsibility for any injury to people or property resulting from any ideas, methods, instructions or products referred to in the content. |
© 2022 by the authors. Licensee MDPI, Basel, Switzerland. This article is an open access article distributed under the terms and conditions of the Creative Commons Attribution (CC BY) license (https://creativecommons.org/licenses/by/4.0/).
Share and Cite
Yang, P.; Hu, S.; Zhou, S.; Zhang, J. A Topological Sensitive Node Importance Evaluation Method in Aerospace Information Networks. Sensors 2023, 23, 266. https://doi.org/10.3390/s23010266
Yang P, Hu S, Zhou S, Zhang J. A Topological Sensitive Node Importance Evaluation Method in Aerospace Information Networks. Sensors. 2023; 23(1):266. https://doi.org/10.3390/s23010266
Chicago/Turabian StyleYang, Peng, Shuang Hu, Shijie Zhou, and Jiaying Zhang. 2023. "A Topological Sensitive Node Importance Evaluation Method in Aerospace Information Networks" Sensors 23, no. 1: 266. https://doi.org/10.3390/s23010266
APA StyleYang, P., Hu, S., Zhou, S., & Zhang, J. (2023). A Topological Sensitive Node Importance Evaluation Method in Aerospace Information Networks. Sensors, 23(1), 266. https://doi.org/10.3390/s23010266

