Real-Time Detection of Incipient Inter-Turn Short Circuit and Sensor Faults in Permanent Magnet Synchronous Motor Drives Based on Generalized Likelihood Ratio Test and Structural Analysis
Abstract
:1. Introduction
- Detection of both internal motor faults and external measurement faults, namely ITSC and encoder faults;
- Detection of the lowest level of ITSC fault, with one shorted turn in stator phase winding;
- Early detection of an ITSC fault, i.e., considering a lower fault current in the degradation path as compared to shorted turns;
- Modeling of the noise in drive system measurement signals with unknown amplitude and variance.
2. Modeling Inter-Turn Short-Circuit Fault
3. Structural Analysis for PMSM with ITSC and Encoder Faults
3.1. PMSM Mathematical Model
3.2. Structural Representation of the PMSM Model
3.3. Analytical Redundancy of the Model
- : structurally under-determined part of the model M, where fewer equations than unknown variables lie, and the degree of redundancy is negative .
- : structurally just-determined part of the model M, where equal equations and unknown variables lie, and the degree of redundancy is zero .
- : structurally over-determined part of the model M, where more equations than unknown variables lie, and the degree of redundancy is positive .
4. Diagnostic Test Design
4.1. Minimal Testable Sub-Models
- .
- M is a proper structurally over-determined set.
- For any where is a proper structurally over-determined set, it holds that
4.2. Diagnosability Index
4.3. Sequential Residuals for Detecting ITSC and Encoder Faults
- : is used for deriving based on the error between calculated and measured current of phase a winding, i.e in (3):And the sequence of obtaining these variables is as follows:where is a state variable and updated at each time-step as follows:
- and follow the same procedure mentioned for based on the error between calculated and measured currents of phase b and phase c using and , respectively.
- : is used for deriving based on the error between the calculated and measured shaft’s angular speed, i.e in (3):and the sequence of obtaining the unknown variable, , is as follows:
5. Experiments and Results
6. Diagnostic Decision
6.1. Generalized Likelihood Ratio Test
6.2. Design of Test Statistic Based on Generalized Likelihood Ratio Test
6.3. GLRT for Large Data Records
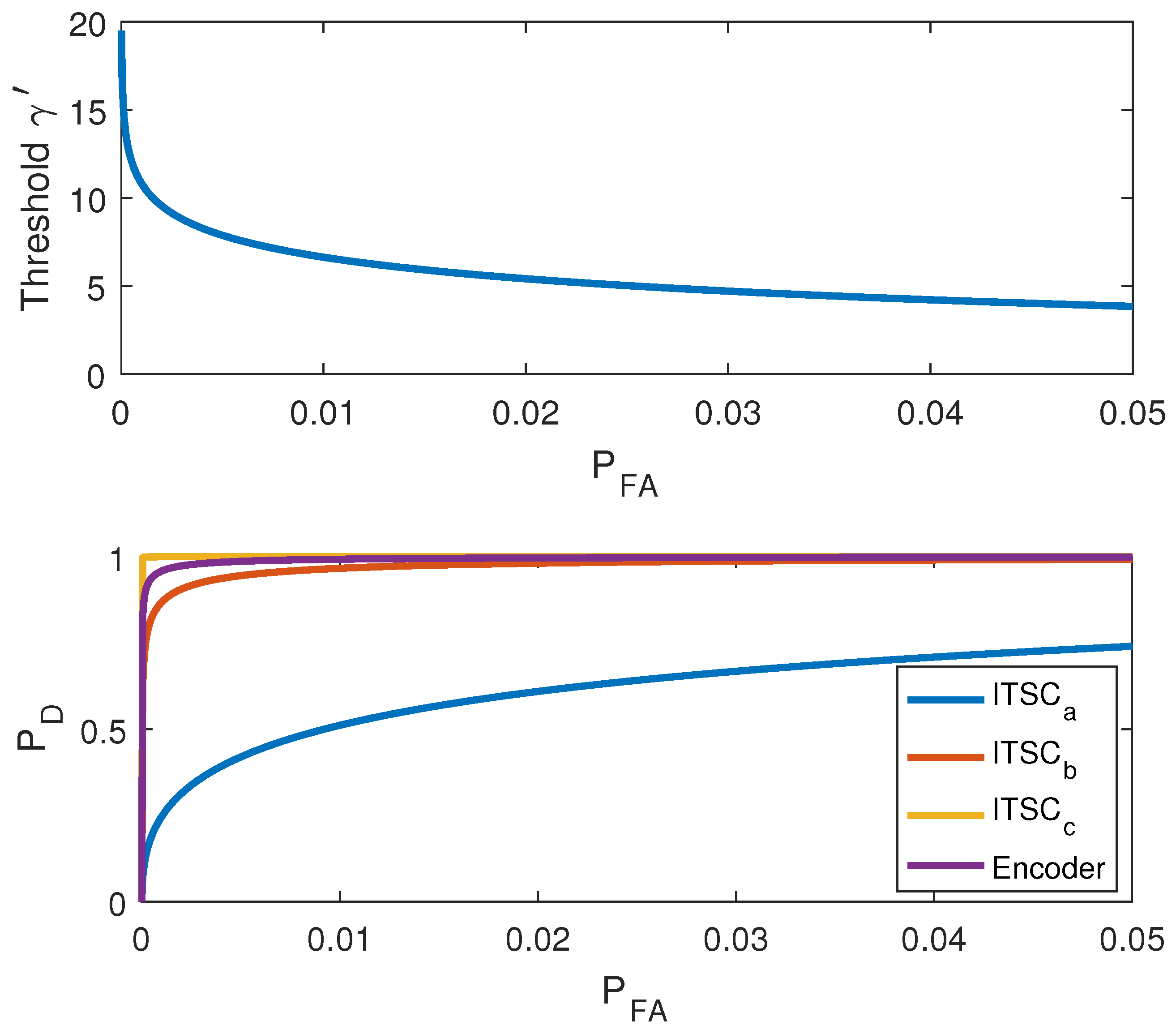
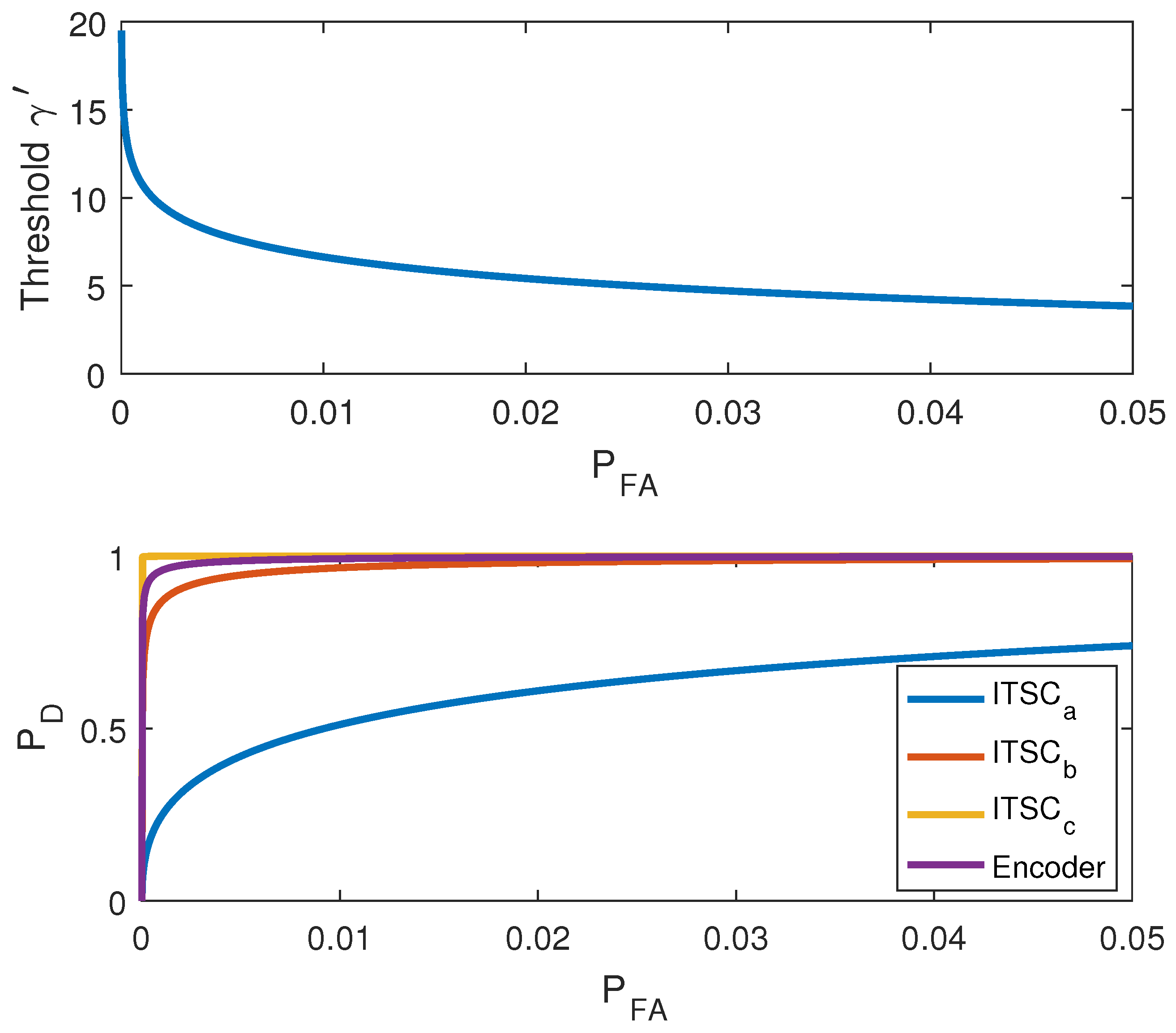
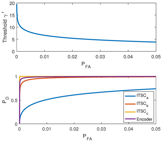
6.4. GLRT Test on Residual Response
7. Discussion
8. Conclusions
Author Contributions
Funding
Data Availability Statement
Conflicts of Interest
References
- Hang, J.; Wu, H.; Zhang, J.; Ding, S.; Huang, Y.; Hua, W. Cost function-based open-phase fault diagnosis for PMSM drive system with model predictive current control. IEEE Trans. Power Electron. 2020, 36, 2574–2583. [Google Scholar] [CrossRef]
- Wang, X.; Wang, Z.; Xu, Z.; He, J.; Zhao, W. Diagnosis and tolerance of common electrical faults in T-type three-level inverters fed dual three-phase PMSM drives. IEEE Trans. Power Electron. 2019, 35, 1753–1769. [Google Scholar] [CrossRef]
- Zeng, C.; Huang, S.; Yang, Y.; Wu, D. Inter-turn fault diagnosis of permanent magnet synchronous machine based on tooth magnetic flux analysis. IET Electr. Power Appl. 2018, 12, 837–844. [Google Scholar] [CrossRef]
- Ebrahimi, B.M.; Roshtkhari, M.J.; Faiz, J.; Khatami, S.V. Advanced eccentricity fault recognition in permanent magnet synchronous motors using stator current signature analysis. IEEE Trans. Ind. Electron. 2013, 61, 2041–2052. [Google Scholar] [CrossRef]
- Awadallah, M.A.; Morcos, M.M.; Gopalakrishnan, S.; Nehl, T.W. Detection of stator short circuits in VSI-fed brushless DC motors using wavelet transform. IEEE Trans. Energy Convers. 2006, 21, 1–8. [Google Scholar] [CrossRef]
- Cruz, S.M.; Cardoso, A.M. Multiple reference frames theory: A new method for the diagnosis of stator faults in three-phase induction motors. IEEE Trans. Energy Convers. 2005, 20, 611–619. [Google Scholar] [CrossRef]
- Vaseghi, B.; Nahid-Mobarakh, B.; Takorabet, N.; Meibody-Tabar, F. Inductance identification and study of PM motor with winding turn short circuit fault. IEEE Trans. Magn. 2011, 47, 978–981. [Google Scholar] [CrossRef]
- Choi, S.; Haque, M.S.; Tarek, M.T.B.; Mulpuri, V.; Duan, Y.; Das, S.; Garg, V.; Ionel, D.M.; Masrur, M.A.; Mirafzal, B.; et al. Fault diagnosis techniques for permanent magnet ac machine and drives—A review of current state of the art. IEEE Trans. Transp. Electrif. 2018, 4, 444–463. [Google Scholar] [CrossRef]
- Liang, H.; Chen, Y.; Liang, S.; Wang, C. Fault detection of stator inter-turn short-circuit in PMSM on stator current and vibration signal. Appl. Sci. 2018, 8, 1677. [Google Scholar] [CrossRef] [Green Version]
- Seshadrinath, J.; Singh, B.; Panigrahi, B.K. Vibration analysis based interturn fault diagnosis in induction machines. IEEE Trans. Ind. Inform. 2013, 10, 340–350. [Google Scholar] [CrossRef]
- Hang, J.; Zhang, J.; Cheng, M.; Huang, J. Online interturn fault diagnosis of permanent magnet synchronous machine using zero-sequence components. IEEE Trans. Power Electron. 2015, 30, 6731–6741. [Google Scholar] [CrossRef]
- Zanardelli, W.G.; Strangas, E.G.; Aviyente, S. Identification of intermittent electrical and mechanical faults in permanent-magnet AC drives based on time—Frequency analysis. IEEE Trans. Ind. Appl. 2007, 43, 971–980. [Google Scholar] [CrossRef]
- Akin, B.; Choi, S.; Orguner, U.; Toliyat, H.A. A simple real-time fault signature monitoring tool for motor-drive-embedded fault diagnosis systems. IEEE Trans. Ind. Electron. 2010, 58, 1990–2001. [Google Scholar] [CrossRef]
- Espinosa, A.G.; Rosero, J.A.; Cusido, J.; Romeral, L.; Ortega, J.A. Fault detection by means of Hilbert–Huang transform of the stator current in a PMSM with demagnetization. IEEE Trans. Energy Convers. 2010, 25, 312–318. [Google Scholar] [CrossRef] [Green Version]
- Obeid, N.H.; Battiston, A.; Boileau, T.; Nahid-Mobarakeh, B. Early intermittent interturn fault detection and localization for a permanent magnet synchronous motor of electrical vehicles using wavelet transform. IEEE Trans. Transp. Electrif. 2017, 3, 694–702. [Google Scholar] [CrossRef]
- Rosero, J.A.; Romeral, L.; Ortega, J.A.; Rosero, E. Short-circuit detection by means of empirical mode decomposition and Wigner–Ville distribution for PMSM running under dynamic condition. IEEE Trans. Ind. Electron. 2009, 56, 4534–4547. [Google Scholar] [CrossRef]
- Liu, X.Q.; Zhang, H.Y.; Liu, J.; Yang, J. Fault detection and diagnosis of permanent-magnet DC motor based on parameter estimation and neural network. IEEE Trans. Ind. Electron. 2000, 47, 1021–1030. [Google Scholar]
- Awadallah, M.; Morcos, M. Diagnosis of stator short circuits in brushless dc motors by monitoring phase voltages. IEEE Trans. Energy Convers. 2005, 20, 246–247. [Google Scholar] [CrossRef]
- Nyanteh, Y.; Edrington, C.; Srivastava, S.; Cartes, D. Application of artificial intelligence to real-time fault detection in permanent-magnet synchronous machines. IEEE Trans. Ind. Appl. 2013, 49, 1205–1214. [Google Scholar] [CrossRef]
- Mazzoletti, M.A.; Bossio, G.R.; De Angelo, C.H.; Espinoza-Trejo, D.R. A model-based strategy for interturn short-circuit fault diagnosis in PMSM. IEEE Trans. Ind. Electron. 2017, 64, 7218–7228. [Google Scholar] [CrossRef]
- Forstner, G.; Kugi, A.; Kemmetmüller, W. A magnetic equivalent circuit based modeling framework for electric motors applied to a pmsm with winding short circuit. IEEE Trans. Power Electron. 2020, 35, 12285–12295. [Google Scholar] [CrossRef]
- Fitouri, M.; Bensalem, Y.; Abdelkrim, M.N. Modeling and detection of the short-circuit fault in PMSM using Finite Element Analysis. IFAC-PapersOnLine 2016, 49, 1418–1423. [Google Scholar] [CrossRef]
- Krysander, M. Design and Analysis of Diagnosis Systems Using Structural Methods. Ph.D. Thesis, Department of Electrical Engineering, Linköping University, Linköping, Sweden, 2006. [Google Scholar]
- Krysander, M.; Åslund, J.; Nyberg, M. An efficient algorithm for finding minimal overconstrained subsystems for model-based diagnosis. IEEE Trans. Syst. Man Cybern.-Part A Syst. Hum. 2007, 38, 197–206. [Google Scholar] [CrossRef]
- Krysander, M.; Frisk, E. Sensor placement for fault diagnosis. IEEE Trans. Syst. Man Cybern.-Part A Syst. Hum. 2008, 38, 1398–1410. [Google Scholar] [CrossRef]
- Svard, C.; Nyberg, M. Residual generators for fault diagnosis using computation sequences with mixed causality applied to automotive systems. IEEE Trans. Syst. Man Cybern.-Part A Syst. Hum. 2010, 40, 1310–1328. [Google Scholar] [CrossRef] [Green Version]
- Svärd, C.; Nyberg, M.; Frisk, E. Realizability constrained selection of residual generators for fault diagnosis with an automotive engine application. IEEE Trans. Syst. Man Cybern. Syst. 2013, 43, 1354–1369. [Google Scholar] [CrossRef] [Green Version]
- Svärd, C.; Nyberg, M.; Frisk, E.; Krysander, M. Automotive engine FDI by application of an automated model-based and data-driven design methodology. Control. Eng. Pract. 2013, 21, 455–472. [Google Scholar] [CrossRef] [Green Version]
- Sundström, C.; Frisk, E.; Nielsen, L. Selecting and utilizing sequential residual generators in FDI applied to hybrid vehicles. IEEE Trans. Syst. Man Cybern. Syst. 2013, 44, 172–185. [Google Scholar] [CrossRef] [Green Version]
- Liu, Z.; Ahmed, Q.; Rizzoni, G.; He, H. Fault detection and isolation for lithium-ion battery system using structural analysis and sequential residual generation. In Proceedings of the ASME 2014 Dynamic Systems and Control Conference, American Society of Mechanical Engineers Digital Collection, San Antonio, TX, USA, 22–24 October 2014. [Google Scholar]
- Zhang, J.; Yao, H.; Rizzoni, G. Fault diagnosis for electric drive systems of electrified vehicles based on structural analysis. IEEE Trans. Veh. Technol. 2016, 66, 1027–1039. [Google Scholar] [CrossRef]
- Ebrahimi, S.H.; Choux, M.; Huynh, V.K. Diagnosis of Sensor Faults in PMSM and Drive System Based on Structural Analysis. In Proceedings of the 2021 IEEE International Conference on Mechatronics (ICM), Kashiwa, Japan, 7–9 March 2021; pp. 1–6. [Google Scholar]
- Ebrahimi, S.H.; Choux, M.; Huynh, V.K. Detection and Discrimination of Inter-Turn Short Circuit and Demagnetization Faults in PMSMs Based on Structural Analysis. In Proceedings of the 2021 22nd IEEE International Conference on Industrial Technology (ICIT), Valencia, Spain, 10–12 March 2021; Volume 1, pp. 184–189. [Google Scholar]
- Wang, B.; Wang, J.; Griffo, A.; Sen, B. Stator turn fault detection by second harmonic in instantaneous power for a triple-redundant fault-tolerant PM drive. IEEE Trans. Ind. Electron. 2018, 65, 7279–7289. [Google Scholar] [CrossRef] [Green Version]
- Ebrahimi, S.H.; Choux, M.; Huynh, V.K. Modeling Stator Winding Inter-Turn Short Circuit Faults in PMSMs including Cross Effects. In Proceedings of the 2020 International Conference on Electrical Machines (ICEM), Gothenburg, Sweden, 23–26 August 2020; Volume 1, pp. 1397–1403. [Google Scholar]
- Bouzid, M.B.K.; Champenois, G. New expressions of symmetrical components of the induction motor under stator faults. IEEE Trans. Ind. Electron. 2012, 60, 4093–4102. [Google Scholar] [CrossRef]
- Blanke, M.; Kinnaert, M.; Lunze, J.; Staroswiecki, M. Diagnosis and Fault Tolerant Control; Springer: Berlin, Germany, 2006. [Google Scholar]
- Krysander, M.; Åslund, J.; Frisk, E. A structural algorithm for finding testable sub-models and multiple fault isolability analysis. In Proceedings of the 21st International Workshop on Principles of Diagnosis (DX-10), Portland, OR, USA, 13–16 October 2010; pp. 17–18. [Google Scholar]
- Dulmage, A.L.; Mendelsohn, N.S. Coverings of bipartite graphs. Can. J. Math. 1958, 10, 517–534. [Google Scholar] [CrossRef]
- Zhang, J.; Rizzoni, G. Selection of residual generators in structural analysis for fault diagnosis using a diagnosability index. In Proceedings of the 2017 IEEE Conference on Control Technology and Applications (CCTA), Mauna Lani Resort, HI, USA, 27–30 August 2017; pp. 1438–1445. [Google Scholar]
- Hamming, R.W. Error detecting and error correcting codes. Bell Syst. Tech. J. 1950, 29, 147–160. [Google Scholar] [CrossRef]
- Kay, S.M. Fundamentals of Statistical Signal Processing, Volume II: Detection Theory; Prentice Hall PTR: Hoboken, NJ, USA, 1998. [Google Scholar]
- Kay, S.M. Fundamentals of Statistical Signal Processing, Volume I: Estimation Theory; Prentice Hall PTR: Hoboken, NJ, USA, 1993. [Google Scholar]
- Elbouchikhi, E.; Amirat, Y.; Feld, G.; Benbouzid, M. Generalized likelihood ratio test based approach for stator-fault detection in a pwm inverter-fed induction motor drive. IEEE Trans. Ind. Electron. 2018, 66, 6343–6353. [Google Scholar] [CrossRef]
- Aubert, B.; Regnier, J.; Caux, S.; Alejo, D. Kalman-filter-based indicator for online interturn short circuits detection in permanent-magnet synchronous generators. IEEE Trans. Ind. Electron. 2014, 62, 1921–1930. [Google Scholar] [CrossRef]
- Cruz, S.M.; Cardoso, A.M. Stator winding fault diagnosis in three-phase synchronous and asynchronous motors, by the extended Park’s vector approach. IEEE Trans. Ind. Appl. 2001, 37, 1227–1233. [Google Scholar] [CrossRef]















| Symbol | Parameter | Value | Unit |
|---|---|---|---|
| Rated dc bus voltage | 280 | V | |
| Rated rms phase current | 5 | A | |
| Rated Output Torque | 7 | N·m | |
| Rated speed | 1500 | rpm | |
| Phase resistance | 0.8 | ||
| Stator inductance | 8.5 | mH | |
| J | Rotor inertia | 0.0026 | kg · m2 |
| b | Rotor damping factor | 0.00382 | N · m · s/rad |
| Flux linkage of PMs | 0.3509 | Wb-turn | |
| p | Pole-pairs | 2 |
Publisher’s Note: MDPI stays neutral with regard to jurisdictional claims in published maps and institutional affiliations. |
© 2022 by the authors. Licensee MDPI, Basel, Switzerland. This article is an open access article distributed under the terms and conditions of the Creative Commons Attribution (CC BY) license (https://creativecommons.org/licenses/by/4.0/).
Share and Cite
Hasan Ebrahimi, S.; Choux, M.; Huynh, V.K. Real-Time Detection of Incipient Inter-Turn Short Circuit and Sensor Faults in Permanent Magnet Synchronous Motor Drives Based on Generalized Likelihood Ratio Test and Structural Analysis. Sensors 2022, 22, 3407. https://doi.org/10.3390/s22093407
Hasan Ebrahimi S, Choux M, Huynh VK. Real-Time Detection of Incipient Inter-Turn Short Circuit and Sensor Faults in Permanent Magnet Synchronous Motor Drives Based on Generalized Likelihood Ratio Test and Structural Analysis. Sensors. 2022; 22(9):3407. https://doi.org/10.3390/s22093407
Chicago/Turabian StyleHasan Ebrahimi, Saeed, Martin Choux, and Van Khang Huynh. 2022. "Real-Time Detection of Incipient Inter-Turn Short Circuit and Sensor Faults in Permanent Magnet Synchronous Motor Drives Based on Generalized Likelihood Ratio Test and Structural Analysis" Sensors 22, no. 9: 3407. https://doi.org/10.3390/s22093407
APA StyleHasan Ebrahimi, S., Choux, M., & Huynh, V. K. (2022). Real-Time Detection of Incipient Inter-Turn Short Circuit and Sensor Faults in Permanent Magnet Synchronous Motor Drives Based on Generalized Likelihood Ratio Test and Structural Analysis. Sensors, 22(9), 3407. https://doi.org/10.3390/s22093407

