Accurate Prediction of Knee Angles during Open-Chain Rehabilitation Exercises Using a Wearable Array of Nanocomposite Stretch Sensors
Abstract
:1. Introduction
2. Materials and Methods
2.1. Data Collection
2.2. Modeling and Predictions
3. Results
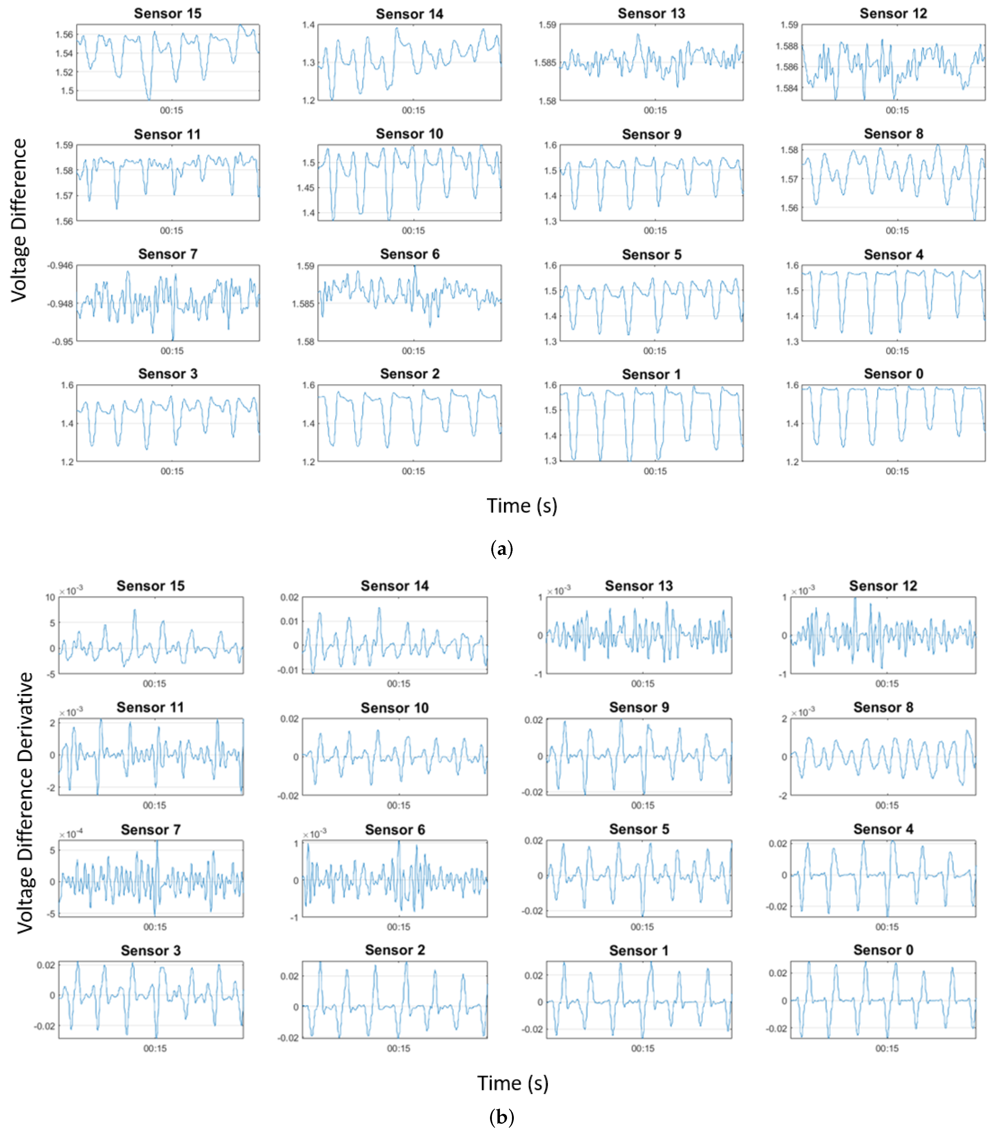
3.1. Data Collection
3.2. Modeling and Predictions
4. Discussion
Author Contributions
Funding
Institutional Review Board Statement
Informed Consent Statement
Conflicts of Interest
Appendix A
| Model Name | RMSE | R2 | Failed | ||||||
|---|---|---|---|---|---|---|---|---|---|
| Mean | SD | Max | Min | Mean | SD | Max | Min | ||
| Linear Regression | 14.18 | 3.68 | 23.78 | 9.45 | 0.79 | 0.16 | 0.93 | 0.34 | 6 |
| Gradient Boosting Regression | 14.78 | 10.27 | 33.96 | 4.54 | 0.72 | 0.37 | 0.99 | 0.09 | 1 |
| Adaptive Boosted Regression (DTR) | 7.75 | 2.51 | 14.34 | 4.11 | 0.94 | 0.04 | 0.99 | 0.85 | 1 |
| RFR | 8.34 | 2.62 | 13.54 | 4.51 | 0.93 | 0.05 | 0.98 | 0.83 | 1 |
| Multilayer Perceptron Regression | 14.50 | 5.32 | 26.58 | 8.78 | 0.67 | 0.33 | 0.93 | 0.01 | 4 |
| Ridge | 14.08 | 3.56 | 23.27 | 9.44 | 0.80 | 0.15 | 0.93 | 0.38 | 6 |
| Bayesian Ridge | 14.09 | 3.55 | 23.24 | 9.45 | 0.80 | 0.15 | 0.93 | 0.39 | 6 |
| Elastic Net | 16.26 | 6.07 | 29.40 | 9.30 | 0.69 | 0.28 | 0.93 | 0.02 | 3 |
| PLS Regression | 17.30 | 5.15 | 28.07 | 10.15 | 0.69 | 0.22 | 0.92 | 0.13 | 4 |
| K-Neighbors Regression | 10.04 | 2.44 | 14.92 | 5.38 | 0.90 | 0.05 | 0.98 | 0.81 | 1 |
| SGD Regression | 15.35 | 4.71 | 24.83 | 9.70 | 0.74 | 0.21 | 0.92 | 0.18 | 4 |
| Lasso | 14.56 | 3.32 | 22.30 | 9.42 | 0.80 | 0.08 | 0.93 | 0.63 | 4 |
| SVR | 16.33 | 7.32 | 29.31 | 8.86 | 0.70 | 0.29 | 0.93 | 0.08 | 6 |
| NuSVR | 27.23 | 7.23 | 35.85 | 15.12 | 0.31 | 0.29 | 0.77 | 0.03 | 11 |
| Bagging Regression (RFR) | 24.49 | 5.53 | 30.02 | 12.79 | 0.49 | 0.19 | 0.89 | 0.15 | 1 |
| Linear Regression (PCA) | 15.25 | 4.94 | 28.47 | 10.06 | 0.76 | 0.16 | 0.88 | 0.23 | 1 |
| RFR (PCA) | 8.24 | 2.63 | 13.71 | 4.53 | 0.93 | 0.04 | 0.98 | 0.85 | 1 |
| Adaptive Boosted Regression (RFR) | 7.57 | 2.55 | 13.58 | 4.19 | 0.94 | 0.04 | 0.99 | 0.86 | 1 |
| Model Name | RMSE | R2 | Failed | ||||||
|---|---|---|---|---|---|---|---|---|---|
| Mean | SD | Max | Min | Mean | SD | Max | Min | ||
| Linear Regression | 2.77 | 1.14 | 5.24 | 1.63 | 0.65 | 0.13 | 0.79 | 0.38 | 9 |
| Gradient Boosting Regression | 3.27 | 2.21 | 9.31 | 1.25 | 0.38 | 0.38 | 0.96 | 0.01 | 4 |
| Adaptive Boosted Regression (DTR) | 1.85 | 0.48 | 2.97 | 1.09 | 0.71 | 0.21 | 0.97 | 0.22 | 2 |
| RFR | 1.89 | 0.46 | 2.92 | 1.23 | 0.70 | 0.23 | 0.97 | 0.22 | 2 |
| Multilayer Perceptron Regression | 2.32 | 0.55 | 2.91 | 1.28 | 0.74 | 0.12 | 0.93 | 0.48 | 6 |
| Ridge | 2.75 | 1.12 | 5.17 | 1.62 | 0.65 | 0.13 | 0.79 | 0.39 | 9 |
| Bayesian Ridge | 2.74 | 1.12 | 5.17 | 1.60 | 0.66 | 0.13 | 0.79 | 0.41 | 9 |
| Elastic Net | 2.65 | 1.05 | 4.70 | 1.36 | 0.58 | 0.24 | 0.78 | 0.07 | 7 |
| PLS Regression | 2.79 | 1.12 | 5.10 | 1.35 | 0.55 | 0.22 | 0.77 | 0.12 | 7 |
| K-Neighbors Regression | 2.16 | 0.75 | 4.16 | 1.27 | 0.65 | 0.24 | 0.92 | 0.19 | 2 |
| SGD Regression | 3.48 | 2.17 | 8.86 | 1.56 | 0.54 | 0.28 | 0.80 | 0.04 | 7 |
| Lasso | 3.10 | 2.01 | 8.04 | 1.42 | 0.58 | 0.23 | 0.78 | 0.05 | 7 |
| SVR | 2.39 | 1.32 | 5.27 | 1.22 | 0.62 | 0.27 | 0.88 | 0.19 | 9 |
| NuSVR | 3.04 | 1.26 | 5.06 | 1.83 | 0.46 | 0.27 | 0.74 | 0.04 | 11 |
| Bagging Regression (RFR) | 4.05 | 2.44 | 9.92 | 1.33 | 0.36 | 0.23 | 0.71 | 0.03 | 5 |
| Linear Regression (PCA) | 2.97 | 1.35 | 5.74 | 1.38 | 0.50 | 0.24 | 0.71 | 0.01 | 4 |
| RFR (PCA) | 1.86 | 0.49 | 3.02 | 1.21 | 0.71 | 0.21 | 0.97 | 0.26 | 2 |
| Adaptive Boosted Regression (RFR) | 1.80 | 0.46 | 2.86 | 1.11 | 0.73 | 0.20 | 0.97 | 0.29 | 1 |
Abbreviations
| OCKF | open chain knee flexion |
| RFR | random forest regressor |
| DTR | decision tree regressor |
| SGD | stochastic gradient descent |
| PLS | partial least squares |
| SVR | support vector regression |
| PCA | principal component analysis |
| VR | virtual reality |
| PT | physical therapist |
References
- Kurtz, S.M.; Ong, K.L.; Lau, E.; Bozic, K.J. Impact of the economic downturn on total joint replacement demand in the United States: Updated projections to 2021. J. Bone Jt. Surg. 2014, 96, 624–630. [Google Scholar]
- Inacio, M.C.; Paxton, E.W.; Graves, S.E.; Namba, R.S.; Nemes, S. Projected increase in total knee arthroplasty in the United States—An alternative projection model. Osteoarthr. Cartil. 2017, 25, 1797–1803. [Google Scholar] [CrossRef] [Green Version]
- Kurtz, S.; Ong, K.; Lau, E.; Mowat, F.; Halpern, M. Projections of Primary and Revision Hip and Knee Arthroplasty in the United States from 2005 to 2030. J. Bone Jt. Surg. 2007, 89, 780–785. [Google Scholar] [CrossRef]
- Sloan, M.; Premkumar, A.; Sheth, N.P. Future Demand for Total Joint Arthroplasty Drives Renewed Interest in Arthroplasty Fellowship. HSS J. 2020, 16, 210–215. [Google Scholar] [CrossRef]
- Herzog, M.M.; Marshall, S.W.; Lund, J.L.; Pate, V.; Mack, C.D.; Spang, J.T. Trends in Incidence of ACL Reconstruction and Concomitant Procedures Among Commercially Insured Individuals in the United States, 2002–2014. Sport. Health 2018, 10, 523–531. [Google Scholar] [CrossRef]
- Landry, M.D.; Ricketts, T.C.; Verrier, M.C. The precarious supply of physical therapists across Canada: Exploring national trends in health human resources (1991 to 2005). Hum. Resour. Health 2007, 5, 23. [Google Scholar] [CrossRef] [Green Version]
- Jesus, T.S.; Landry, M.D.; Hoenig, H.; Dussault, G.; Koh, G.C.; Fronteira, I. Is Physical Rehabilitation Need Associated With the Rehabilitation Workforce Supply? An Ecological Study Across 35 High-Income Countries. Int. J. Health Policy Manag. 2020, 2017, 1–9. [Google Scholar] [CrossRef]
- Lo, K.; Curtis, H.; Keating, J.L.; Bearman, M. Physiotherapy clinical educators’ perceptions of student fitness to practise. BMC Med. Educ. 2017, 17, 16. [Google Scholar] [CrossRef] [Green Version]
- Lavernia, C.J.; D’Apuzzo, M.R.; Hernandez, V.H.; Lee, D.J.; Rossi, M.D. Postdischarge Costs in Arthroplasty Surgery. J. Arthroplast. 2006, 21, 144–150. [Google Scholar] [CrossRef]
- Tran, V.; Doctor, D.; Nelson, C. The cost of postoperative home health extended care rehabilitation facilities for total joint replacement patients. In Proceedings of the American Academy of Orthopaedic Surgeons Annual Meeting, Anaheim, CA, USA, 4–8 February 1999. [Google Scholar]
- Wang, W.L.; Rondon, A.J.; Tan, T.L.; Wilsman, J.; Purtill, J.J. Self-Directed Home Exercises vs Outpatient Physical Therapy After Total Knee Arthroplasty: Value and Outcomes Following a Protocol Change. J. Arthroplast. 2019, 34, 2388–2391. [Google Scholar] [CrossRef]
- Joice, M.G.; Bhowmick, S.; Amanatullah, D.F. Perioperative physiotherapy in total knee arthroplasty. Orthopedics 2017, 40, e765–e773. [Google Scholar] [CrossRef] [Green Version]
- Kairy, D.; Tousignant, M.; Leclerc, N.; Côté, A.M.; Levasseur, M. The patient’s perspective of in-home telerehabilitation physiotherapy services following total knee arthroplasty. Int. J. Environ. Res. Public Health 2013, 10, 3998–4011. [Google Scholar] [CrossRef]
- Oatis, C.A.; Li, W.; Dirusso, J.M.; Hoover, M.J.; Johnston, K.K.; Butz, M.K.; Phillips, A.L.; Nanovic, K.M.; Cummings, E.C.; Rosal, M.C.; et al. Variations in Delivery and Exercise Content of Physical Therapy Rehabilitation Following Total Knee Replacement Surgery: A Cross-Sectional Observation Study HHS Public Access. Int. J. Phys. Med. Rehabil. 2014, 5. [Google Scholar] [CrossRef] [Green Version]
- Naeemabadi, M.; Fazlali, H.; Najafi, S.; Dinesen, B.; Hansen, J. Telerehabilitation for Patients With Knee Osteoarthritis: A Focused Review of Technologies and Teleservices. JMIR Biomed. Eng. 2020, 5, e16991. [Google Scholar] [CrossRef]
- Yee, M.J.; Mubarak, N.M.; Abdullah, E.C.; Khalid, M.; Walvekar, R.; Karri, R.R.; Nizamuddin, S.; Numan, A. Carbon Nanomaterials Based Films for Strain Sensing Application—A Review. Nano-Struct. Nano-Objects 2019, 18, 100312. [Google Scholar]
- Lu, Y.; Biswas, M.C.; Guo, Z.; Jeon, J.W.; Wujcik, E.K. Recent developments in bio-monitoring via advanced polymer nanocomposite-based wearable strain sensors. Biosens. Bioelectron. 2019, 123, 167–177. [Google Scholar] [CrossRef]
- Abd, M.A.; Al-Saidi, M.; Lin, M.; Liddle, G.; Mondal, K.; Engeberg, E.D. Surface Feature Recognition and Grasped Object Slip Prevention with a Liquid Metal Tactile Sensor for a Prosthetic Hand. In Proceedings of the IEEE RAS and EMBS International Conference on Biomedical Robotics and Biomechatronics, New York, NY, USA, 29 November–1 December 2020; pp. 1174–1179. [Google Scholar] [CrossRef]
- Abd, M.A.; Paul, R.; Aravelli, A.; Bai, O.; Lagos, L.; Lin, M.; Engeberg, E.D. Hierarchical Tactile Sensation Integration from Prosthetic Fingertips Enables Multi-Texture Surface Recognition. Sensors 2021, 21, 4324. [Google Scholar] [CrossRef]
- Park, Y.L.; Chen, B.R.; Wood, R.J. Design and fabrication of soft artificial skin using embedded microchannels and liquid conductors. IEEE Sens. J. 2012, 12, 2711–2718. [Google Scholar] [CrossRef]
- Ying, B.; Chen, R.Z.; Zuo, R.; Li, J.; Liu, X. An Anti-Freezing, Ambient-Stable and Highly Stretchable Ionic Skin with Strong Surface Adhesion for Wearable Sensing and Soft Robotics. Adv. Funct. Mater. 2021, 31, 2104665. [Google Scholar]
- Kazanskiy, N.L.; Butt, M.A.; Khonina, S.N. Recent Advances in Wearable Optical Sensor Automation Powered by Battery versus Skin-like Battery-Free Devices for Personal Healthcare—A Review. Nanomaterials 2022, 12, 334. [Google Scholar]
- Leal-Junior, A.G.; Frizera-Neto, A.; Pontes, M.J.; Botelho, T.R. Hysteresis compensation technique applied to polymer optical fiber curvature sensor for lower limb exoskeletons. Meas. Sci. Technol. 2017, 28, 125103. [Google Scholar]
- Rezende, A.; Alves, C.; Marques, I.; Silva, M.A.; Naves, E. Polymer optical fiber goniometer: A new portable, low cost and reliable sensor for joint analysis. Sensors 2018, 18, 4293. [Google Scholar] [CrossRef] [Green Version]
- Donno, M.; Palange, E.; Di Nicola, F.; Member, S.; Bucci, G.; Ciancetta, F. A New Flexible Optical Fiber Goniometer for Dynamic Angular Measurements: Application to Human Joint Movement Monitoring. IEEE Trans. Instrum. Meas. 2008, 57, 1614–1620. [Google Scholar] [CrossRef]
- Liu, Q.; Chen, J.; Li, Y.; Shi, G. High-Performance Strain Sensors with Fish-Scale-Like Graphene-Sensing Layers for Full-Range Detection of Human Motions. ACS Nano 2016, 10, 7901–7906. [Google Scholar] [CrossRef]
- Gholami, M.; Rezaei, A.; Cuthbert, T.J.; Napier, C.; Menon, C. Lower Body Kinematics Monitoring in Running Using Fabric-Based Wearable Sensors and Deep Convolutional Neural Networks. Sensors 2019, 19, 5325. [Google Scholar] [CrossRef] [Green Version]
- Li, Y.Q.; Zhu, W.B.; Yu, X.G.; Huang, P.; Fu, S.Y.; Hu, N.; Liao, K. Multifunctional Wearable Device Based on Flexible and Conductive Carbon Sponge/Polydimethylsiloxane Composite. ACS Appl. Mater. Interfaces 2016, 8, 33189–33196. [Google Scholar] [CrossRef]
- Amjadi, M.; Yoon, Y.J.; Park, I. Ultra-stretchable and skin-mountable strain sensors using carbon nanotubes–Ecoflex nanocomposites. Nanotechnology 2015, 26, 744–747. [Google Scholar] [CrossRef]
- Luhrs, C.C.; Daskam, C.D.; Gonzalez, E.; Phillip, J. Fabrication of a low density carbon fiber foam and its characterization as a strain gauge. Materials 2014, 7, 3699–3714. [Google Scholar] [CrossRef] [Green Version]
- Singha, K.; Kumar, J.; Pandit, P. Recent advancements in wearable & smart textiles: An overview. Mater. Today Proc. 2019, 16, 1518–1523. [Google Scholar] [CrossRef]
- Shyr, T.W.; Shie, J.W.; Jiang, C.H.; Li, J.J. A textile-based wearable sensing device designed for monitoring the flexion angle of elbow and knee movements. Sensors 2014, 14, 4050–4059. [Google Scholar] [CrossRef] [Green Version]
- Gholami, M.; Ejupi, A.; Rezaei, A.; Ferrone, A.; Menon, C. Estimation of Knee Joint Angle Using a Fabric-Based Strain Sensor and Machine Learning: A Preliminary Investigation. In Proceedings of the 2018 7th IEEE International Conference on Biomedical Robotics and Biomechatronics (Biorob), Enschede, The Netherlands, 26–29 August 2018. [Google Scholar] [CrossRef]
- Levens, A.; Inman, V.T.; Blosser, J. Transverse rotation of the segments of the lower extremity in locomotion. J. Bone Jt. Surg. 1948, 30, 859–872. [Google Scholar]
- Lützner, J.; Kirschner, S.; Günther, K.P.; Harman, M.K. Patients with no functional improvement after total knee arthroplasty show different kinematics. Int. Orthop. 2012, 36, 1841. [Google Scholar] [CrossRef] [Green Version]
- Matsuzaki, T.; Matsumoto, T.; Muratsu, H.; Kubo, S.; Matsushita, T.; Kawakami, Y.; Ishida, K.; Oka, S.; Kuroda, R.; Kurosaka, M. Kinematic factors affecting postoperative knee flexion after cruciate-retaining total knee arthroplasty. Int. Orthop. 2013, 37, 803. [Google Scholar] [CrossRef] [Green Version]
- Nicoll, D.; Rowley, D.I. Internal rotational error of the tibial component is a major cause of pain after total knee replacement. J. Bone Jt. Surg. Ser. B 2010, 92, 1238–1244. [Google Scholar] [CrossRef]
- Meccia, B.; Komistek, R.D.; Mahfouz, M.; Dennis, D. Abnormal axial rotations in TKA contribute to reduced weightbearing flexion knee. Clin. Orthop. Relat. Res. 2014, 472, 248–253. [Google Scholar] [CrossRef]
- Gardner, C.; Johnson, O.; Fullwood, D.; Hansen, G.; Adams, B. Piezoresistive Effect in Nickel Nanostrand-Polymer Composites. In Proceedings of the TMS 2009 Annual Meeting & Exhibition, San Francisco, CA, USA, 15–19 February 2009. [Google Scholar]
- Johnson, O.; Gardner, C.; Fullwood, D.; Adams, B.; Hansen, G.; Kalidindi, S. Textures of Dispersion of Nickel Nanostrand Composites, and Modeling of Piezoresistive Behavior. In Proceedings of the Materials Science & Technology, Pittsburgh, PA, USA, 25–29 October 2009. [Google Scholar]
- Calkins, T.B.; Fullwood, D.T.; Ghosh, S.; Hyatt, T.B.; Johnson, O.K.; Hansen, N.; Hansen, G. Applications For A Nano-composite High Displacement Strain Gauge. In Proceedings of the 42nd ISTC, Salt Lake City, UT, USA, 11–14 October 2010. [Google Scholar]
- Johnson, O.K.; Gardner, C.J.; Fullwood, D.T.; Adams, B.L.; Hansen, N.; Hansen, G. The colossal piezoresistive effect in nickel nanostrand polymer composites and a quantum tunneling model. Comput. Mater. Contin. 2010, 15, 87–111. [Google Scholar] [CrossRef]
- Johnson, O.; Mara, N.; Kaschner, G.; Mason, T.; Fullwood, D.; Adams, B. Multi-scale Model for the Extreme Piezoresistivity in Silicone/Nickel “Nanostrand”/Nickel Coated Carbon Fiber Nanocomposite. Metall. Mater. Trans. A 2010, 42, 3898–3906. [Google Scholar] [CrossRef]
- Johnson, O.K.; Kaschner, G.C.; Mason, T.A.; Fullwood, D.T.; Hansen, G. Optimization of nickel nanocomposite for large strain sensing applications. Sens. Actuators A Phys. 2011, 166, 40–47. [Google Scholar] [CrossRef]
- Johnson, T.M.; Fullwood, D.T.; Hansen, G. Strain monitoring of carbon fiber composite via embedded nickel nano-particles. Compos. Part B Eng. 2012, 43, 1155–1163. [Google Scholar]
- Koecher, M.C.; Pande, J.H.; Merkley, S.S.; Henderson, S.; Fullwood, D.T. Evaluation of nickel nanostrands as strain sensors in CFRP. In Proceedings of the SAMPE 2012 Conference, Baltimore, MD, USA, 21–24 May 2012. [Google Scholar]
- Remington, T.D.; Merrell, A.; Stolworthy, D.; McArthur, D.; Fullwood, D.; Bowden, A.; Hansen, N. Biomechanical applications of nano-composite strain gauges. In Proceedings of the SAMPE 2013 Conference, Long Beach, CA, USA, 6–9 June 2012. [Google Scholar]
- Koecher, M.; Yeager, J.D.; Park, T.; Fullwood, D.; Colton, J.S.; Mara, N.; Hansen, N. Characterization of nickel nanostrand nanocomposites through dielectric spectroscopy and nanoindentation. Polym. Eng. Sci. 2013, 53, 2666–2673. [Google Scholar]
- Remington, D. Biomechanical Applications and Modeling of Quantum Nano-Composite Strain Gauges. Ph.D. Thesis, Brigham Young University, Provo, UT, USA, 2014. [Google Scholar]
- Adam Bilodeau, R.; Fullwood, D.T.; Colton, J.S.; Yeager, J.D.; Bowden, A.E.; Park, T. Evolution of nano-junctions in piezoresistive nanostrand composites. Compos. Part B Eng. 2015, 72, 45–52. [Google Scholar] [CrossRef] [Green Version]
- Hansen, N.; Adams, D.O.; Fullwood, D.T. Evaluation and development of electrical conductivity models for nickel nanostrand polymer composites. Polym. Eng. Sci. 2015, 55, 549–557. [Google Scholar]
- Koecher, M.C.; Pande, J.H.; Merkley, S.; Henderson, S.; Fullwood, D.T.; Bowden, A.E. Piezoresistive in-situ strain sensing of composite laminate structures. Compos. Part B Eng. 2015, 69, 534–541. [Google Scholar]
- Baradoy, D.A. Composition Based Modaling of Silicone Nano-Composite Strain Gauges. Ph.D. Thesis, Brigham Young University, Provo, UT, USA, 2015. [Google Scholar]
- Martineau, A.D. Estimation of Knee Kinematics Using Non-Monotonic Nanocomposite High-Deflection Strain Gauges. Ph.D. Thesis, Brigham Young University, Provo, UT, USA, 2018. [Google Scholar]
- Clayton, M. Modeling Piezoresistive Effects in Flexible Sensors. Ph.D. Thesis, Brigham Young University, Provo, UT, USA, 2019. [Google Scholar]
- Mitchell, U.H.; Lee, H.; Dennis, H.E.; Seeley, M.K. Quality of knee strengthening exercises performed at home deteriorates after one week. BMC Musculoskelet. Disord. 2022, 23, 164. [Google Scholar]
- Wood, D.S.; Jensen, K.; Fullwood, D.; Seeley, M.; Mitchell, U.; Christensen, W.; Bowden, A. General Method of Measuring Skin Strain of the Anterior Knee using Linear Strain Theory and Application. CMBBE, 2021; under review. [Google Scholar]
- Winter, D.A. Biomechanics and Motor Control of Human Movement; John Wiley & Sons: Hoboken, NJ, USA, 2009. [Google Scholar]
- Pedregosa, F.; Varoquaux, G.; Gramfort, A.; Michel, V.; Thirion, B.; Grisel, O.; Blondel, M.; Prettenhofer, P.; Weiss, R.; Dubourg, V.; et al. Scikit-learn: Machine learning in Python. J. Mach. Learn. Res. 2011, 12, 2825–2830. [Google Scholar]
- Amjadi, M.; Kyung, K.U.; Park, I.; Sitti, M. Stretchable, Skin-Mountable, and Wearable Strain Sensors and Their Potential Applications: A Review. Adv. Funct. Mater. 2016, 26, 1678–1698. [Google Scholar]
- Bakhshi, S.; Mahoor, M.H.; Davidson, B.S. Development of a body joint angle measurement system using IMU sensors. In Proceedings of the 2011 Annual International Conference of the IEEE Engineering in Medicine and Biology Society, Boston, MA, USA, 30 August–3 September 2011; pp. 6923–6926. [Google Scholar] [CrossRef]
- Cooper, G.; Sheret, I.; McMillian, L.; Siliverdis, K.; Sha, N.; Hodgins, D.; Kenney, L.; Howard, D. Inertial sensor-based knee flexion/extension angle estimation. J. Biomech. 2009, 42, 2678–2685. [Google Scholar] [CrossRef] [Green Version]
- Fennema, M.C.; Bloomfield, R.A.; Lanting, B.A.; Birmingham, T.B.; Teeter, M.G. Repeatability of measuring knee flexion angles with wearable inertial sensors. Knee 2019, 26, 97–105. [Google Scholar] [CrossRef] [Green Version]
- Watanabe, T.; Saito, H. Tests of wireless wearable sensor system in joint angle measurement of lower limbs. In Proceedings of the 2011 Annual International Conference of the IEEE Engineering in Medicine and Biology Society, Boston, MA, USA, 30 August–3 September 2011; pp. 5469–5472. [Google Scholar] [CrossRef]
- Ajdaroski, M.; Tadakala, R.; Nichols, L.; Esquivel, A. Validation of a Device to Measure Knee Joint Angles for a Dynamic Movement. Sensors 2020, 20, 1747. [Google Scholar] [CrossRef] [Green Version]
- Mohamed, A.A.; Baba, J.; Beyea, J.; Landry, J.; Sexton, A.; McGibbon, C.A. Comparison of strain-gage and fiber-optic goniometry for measuring knee kinematics during activities of daily living and exercise. J. Biomech. Eng. 2012, 134, 084502. [Google Scholar] [CrossRef] [PubMed]
- Nakamoto, H.; Yamaji, T.; Hirata, I.; Ootaka, H.; Kobayashi, F. Joint angle measurement by stretchable strain sensor. J. Ambient. Intell. Humaniz. Comput. 2018, 9, 1–6. [Google Scholar] [CrossRef]
- Avellar, L.; Leal-Junior, A.; Marques, C.; Frizera, A. Performance Analysis of a Lower Limb Multi Joint Angle Sensor Using CYTOP Fiber: Influence of Light Source Wavelength and Angular Velocity Compensation. Sensors 2020, 20, 326. [Google Scholar] [CrossRef] [Green Version]
- Tousignant, M.; Moffet, H.; Biossy, P.; Corriveau, H.; Cabana, F.; Marquis, F. A randomized controlled trial of home telerehabilitation for post-knee arthroplasty. J. Telemed. Telecare 2011, 17, 195–198. [Google Scholar] [PubMed]
- Moffet, H.; Tousignant, M.; Nadeau, S.; Mérette, C.; Boissy, P.; Corriveau, H.; Marquis, F.F.F.; Cabana, F.F.; Ranger, P.; Belzile, É.L.; et al. In-home telerehabilitation compared with faceto-face rehabilitation after total knee arthroplasty: A noninferiority randomized controlled trial. J. Bone Jt. Surg. Am. Vol. 2015, 97, 1129–1141. [Google Scholar] [CrossRef] [Green Version]
- Xie, S.H.; Wang, Q.; Wang, L.Q.; Wang, L.; Song, K.P.; He, C.Q. Effect of internet-based rehabilitation programs on improvement of pain and physical function in patients with knee osteoarthritis: Systematic review and meta-analysis of randomized controlled trials. J. Med. Internet Res. 2021, 23, e21542. [Google Scholar] [CrossRef]
- Jansson, M.M.; Rantala, A.; Miettunen, J.; Pikkarainen, M.; Puhto, A.P.; Pikkarainen, M. The effects and safety of telerehabilitation in patients with lower-limb joint replacement: A systematic review and narrative synthesis. J. Telemed. Telecare 2022, 28, 96–114. [Google Scholar] [CrossRef]
- Correia, F.D.; Nogueira, A.; Magalhães, I.; Guimarães, J.; Moreira, M.; Barradas, I.; Teixeira, L.; Tulha, J.; Seabra, R.; Lains, J.; et al. Home-based Rehabilitation with A Novel Digital Biofeedback System versus Conventional In-person Rehabilitation after Total Knee Replacement: A feasibility study. Sci. Rep. 2018, 8, 11299. [Google Scholar] [CrossRef] [Green Version]
- Piqueras, M.; Marco, E.; Coll, M.; Escalada, F.; Ballester, A.; Cinca, C.; Belmonte, R.; Muniesa, J.M. Effectiveness of an interactive virtual telerehabilitation system in patients after total knee arthroplasty: A randomized controlled trial. J. Rehabil. Med. 2013, 45, 392–396. [Google Scholar] [CrossRef] [Green Version]
- Ficklscherer, A.; Stapf, J.; Meissner, K.M.; Niethammer, T.; Lahner, M.; Wagenhäuser, M.; Müller, P.E.; Pietschmann, M.F. Testing the feasibility and safety of the Nintendo Wii gaming console in orthopedic rehabilitation: A pilot randomized controlled study. Arch. Med. Sci. 2016, 12, 1273–1278. [Google Scholar] [CrossRef] [Green Version]
- Fung, V.; Ho, A.; Shaffer, J.; Chung, E.; Gomez, M. Use of Nintendo Wii Fit TM in the rehabilitation of outpatients following total knee replacement: A preliminary randomised controlled trial. Physiotherapy 2012, 98, 183–188. [Google Scholar] [CrossRef] [PubMed]
- Christiansen, C.L.; Bade, M.J.; Davidson, B.S.; Dayton, M.R.; Stevens-Lapsley, J.E. Effects of weight-bearing biofeedback training on functional movement patterns following total knee arthroplasty: A randomized controlled trial. J. Orthop. Sport. Phys. Ther. 2015, 45, 647–655. [Google Scholar] [CrossRef] [Green Version]
- Jin, C.; Feng, Y.; Ni, Y.; Shan, Z. Virtual reality intervention in postoperative rehabilitation after total knee arthroplasty: A prospective and randomized controlled clinical trial. Int. J. Clin. Exp. Med. 2018, 11, 6119–6124. [Google Scholar]
- Li, J.; Wu, T.; Xu, Z.; Gu, X. A pilot study of post-total knee replacement gait rehabilitation using lower limbs robot-assisted training system. Eur. J. Orthop. Surg. Traumatol. 2014, 24, 203–208. [Google Scholar] [CrossRef] [PubMed]
- Lim, M.A.; Pranata, R. Teleorthopedic: A Promising Option During and After the Coronavirus Disease 2019 (COVID-19) Pandemic. Front. Surg. 2020, 7, 62. [Google Scholar] [CrossRef]
- Eichler, S.; Rabe, S.; Salzwedel, A.; Müller, S.; Stoll, J.; Tilgner, N.; John, M.; Wegscheider, K.; Mayer, F.; Völler, H. Effectiveness of an interactive telerehabilitation system with home-based exercise training in patients after total hip or knee replacement: Study protocol for a multicenter, superiority, no-blinded randomized controlled trial. Trials 2017, 18, 438. [Google Scholar] [CrossRef] [Green Version]
- Zhao, Y.; Horemuz, M.; Sjöberg, L.E. Stochastic modelling and analysis of IMU sensor errors. Arch. Fotogram. Kartogr. Teledetekcji 2011, 22, 437–449. [Google Scholar]
- Walchko, K.J.; Mason, P.A. Inertial navigation. In Proceedings of the 2002 Florida Conference on Recent Advances in Robotics, Gainesville, FL, USA, 10–11 May 2002; pp. 1–9. [Google Scholar]
- Byra, J.; Czernicki, K. The Effectiveness of Virtual Reality Rehabilitation in Patients with Knee and Hip Osteoarthritis. J. Clin. Med. 2020, 9, 2639. [Google Scholar] [CrossRef]
- Haladjian, J.; Bredies, K.; Brugge, B. KneeHapp textile: A smart textile system for rehabilitation of knee injuries. In Proceedings of the 2018 IEEE 15th International Conference on Wearable and Implantable Body Sensor Networks, Las Vegas, NV, USA, 4–7 March 2018. [Google Scholar] [CrossRef]
- Merriaux, P.; Dupuis, Y.; Boutteau, R.; Vasseur, P.; Savatier, X. A Study of Vicon System Positioning Performance. Sensors 2017, 17, 1591. [Google Scholar] [CrossRef]
- Keizer, M.N.; Otten, E. Technical note: Sensitivity analysis of the SCoRE and SARA methods for determining rotational axes during tibiofemoral movements using optical motion capture. J. Exp. Orthop. 2020, 7, 6. [Google Scholar] [CrossRef] [Green Version]
- Taylor, W.R.; Ehrig, R.M.; Duda, G.N.; Schell, H.; Seebeck, P.; Heller, M.O. On the influence of soft tissue coverage in the determination of bone kinematics using skin markers. J. Orthop. Res. 2005, 23, 726–734. [Google Scholar] [CrossRef] [PubMed]
- Akbarshahi, M.; Schache, A.G.; Fernandez, J.W.; Baker, R.; Banks, S.; Pandy, M.G. Non-invasive assessment of soft-tissue artifact and its effect on knee joint kinematics during functional activity. J. Biomech. 2010, 43, 1292–1301. [Google Scholar] [CrossRef] [PubMed]








| Gender | Age | Height (cm) | Weight (kg) | BMI |
|---|---|---|---|---|
| M | 30 | 185 | 93 | 27.2 |
| M | 29 | 189 | 101.7 | 28.5 |
| M | 33 | 179.5 | 87.6 | 27.2 |
| M | 29 | 181 | 74.3 | 22.7 |
| M | 21 | 183 | 72.8 | 21.7 |
| M | 47 | 179 | 71.3 | 22.3 |
| F | 22 | 161.5 | 58.4 | 22.4 |
| M | 24 | 182.5 | 65.9 | 19.8 |
| F | 40 | 174 | 74.8 | 24.7 |
| F | 25 | 180 | 77.8 | 24.0 |
| F | 24 | 165 | 54.2 | 19.9 |
| F | 21 | 168 | 60 | 21.3 |
| F | 21 | 168 | 59.1 | 20.9 |
| F | 26 | 162.75 | 48.5 | 18.3 |
| M | 20 | 187.5 | 71.3 | 20.3 |
| F | 31 | 163.5 | 68.8 | 25.7 |
| M | 28 | 177 | 93.8 | 29.9 |
| F | 23 | 166 | 93.5 | 33.9 |
| Device | Flexion/Extension | Int./Ext. Rotation | Number of Participants | ||
|---|---|---|---|---|---|
| RMSE | RMSE | ||||
| A | 18.525 | 0.723 | 5.528 | 0.271 | 14 |
| B | 5.744 | 0.975 | 2.714 | 0.862 | 3 |
| C | 13.577 | 0.859 | 2.285 | 0.676 | 1 |
Publisher’s Note: MDPI stays neutral with regard to jurisdictional claims in published maps and institutional affiliations. |
© 2022 by the authors. Licensee MDPI, Basel, Switzerland. This article is an open access article distributed under the terms and conditions of the Creative Commons Attribution (CC BY) license (https://creativecommons.org/licenses/by/4.0/).
Share and Cite
Wood, D.S.; Jensen, K.; Crane, A.; Lee, H.; Dennis, H.; Gladwell, J.; Shurtz, A.; Fullwood, D.T.; Seeley, M.K.; Mitchell, U.H.; et al. Accurate Prediction of Knee Angles during Open-Chain Rehabilitation Exercises Using a Wearable Array of Nanocomposite Stretch Sensors. Sensors 2022, 22, 2499. https://doi.org/10.3390/s22072499
Wood DS, Jensen K, Crane A, Lee H, Dennis H, Gladwell J, Shurtz A, Fullwood DT, Seeley MK, Mitchell UH, et al. Accurate Prediction of Knee Angles during Open-Chain Rehabilitation Exercises Using a Wearable Array of Nanocomposite Stretch Sensors. Sensors. 2022; 22(7):2499. https://doi.org/10.3390/s22072499
Chicago/Turabian StyleWood, David S., Kurt Jensen, Allison Crane, Hyunwook Lee, Hayden Dennis, Joshua Gladwell, Anne Shurtz, David T. Fullwood, Matthew K. Seeley, Ulrike H. Mitchell, and et al. 2022. "Accurate Prediction of Knee Angles during Open-Chain Rehabilitation Exercises Using a Wearable Array of Nanocomposite Stretch Sensors" Sensors 22, no. 7: 2499. https://doi.org/10.3390/s22072499
APA StyleWood, D. S., Jensen, K., Crane, A., Lee, H., Dennis, H., Gladwell, J., Shurtz, A., Fullwood, D. T., Seeley, M. K., Mitchell, U. H., Christensen, W. F., & Bowden, A. E. (2022). Accurate Prediction of Knee Angles during Open-Chain Rehabilitation Exercises Using a Wearable Array of Nanocomposite Stretch Sensors. Sensors, 22(7), 2499. https://doi.org/10.3390/s22072499

