A Machine Learning Study on Internal Force Characteristics of the Anti-Slide Pile Based on the DOFS-BOTDA Monitoring Technology
Abstract
:1. Introduction
2. Case Study
2.1. Engineering Situation
2.2. Brillouin Fiber Technology and BP Neural Network
2.2.1. Principles of BOTDA Monitoring
2.2.2. BP Neural Network Algorithm
2.3. Analysis of Monitoring Data
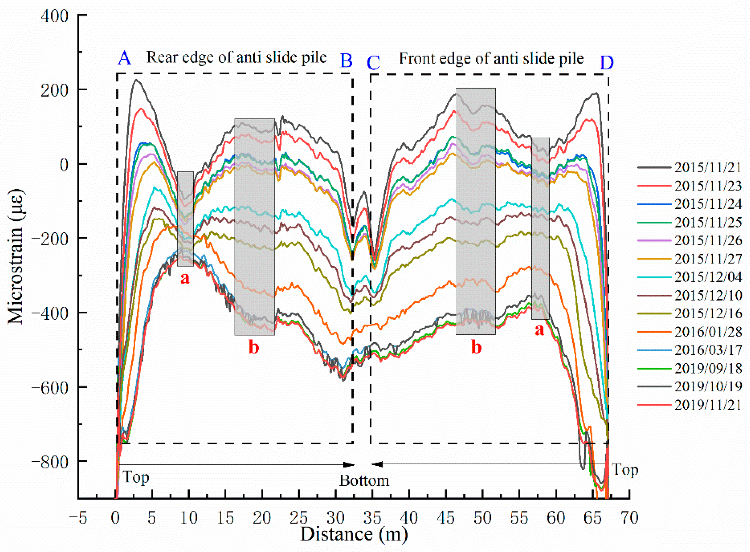
2.3.1. Analysis of Strain and Temperature Data for BOTDA Technology
2.3.2. Data Comparison of Sensor Fiber and Steel Rebar Meters
3. Analysis of Internal Force Characteristics of Anti-Slide Pile
3.1. Calculation Model of Anti-Slide Pile Internal Force
- ①
- The model satisfies the basic assumptions for calculating the bearing capacity of the normal section.
- ②
- The influence of the anti-slide pile self-weight stress is negligible.
- ③
- Stress on the reinforcement bars on the compression side is ignored.
- ④
- The stages of stress development of reinforced concrete are ignored.
3.2. Internal Force Calculation of Anti-Slide Pile Based on DOFS
3.2.1. Bending Moment Distribution
3.2.2. Fitting of Bending Moment
- ①
- Positions of 0–6 m are close to the top of the anti-slide pile, and all sensing fibers were pulled from this spot for monitoring. The closer they were to the anti-slide pile top, the more their data were affected by external factors. The calculated bending moment values were affected accordingly, producing incomplete and inaccurate fitting results.
- ②
- The lengths of the three rows of tensile reinforcement bars on the anti-slide pile differed, with tensile reinforcement bars spaced at 20 cm. When optical fibers crossed the two adjacent rows of reinforcement bars, they were usually wired diagonally downward, complicating the correspondence between the monitoring data and the depth of the anti-slide pile.
- ③
- In the construction process, it was found that the actual sliding zone depth was 0.5–1 m deeper than the design. Thus, the actual 31.5 m length of the anti-slide pile was changed from 30 m in the original design, which impacted the actual bending moment distribution of the anti-slide pile.
3.3. Internal Force Training Model of the Anti-Slide Pile Based on Machine Learning
4. Results and Discussions
5. Conclusions
- (1)
- The effect of the anti-slide pile in landslide control has been verified. It can exert a long-term anti-sliding role by analyzing monitoring data, as seen in recent years. If other measures are combined in engineering practice, landslide control may reach its apex.
- (2)
- DOFS technology based on BOTDA gives full rein to advantages of full distribution, high precision, and long distance in monitoring landslide anti-slide piles. This technology can collect strain and temperature data at any point along the optical fiber in a structure at a given time. The collected data can be processed twice to extend it in the needed direction.
- (3)
- The bending moment calculation model of the anti-slide pile is established by the monitoring data from sensing fibers in the anti-slide pile. Using this model, the bending moment distribution along the anti-slide pile and its distribution form can be obtained. The internal force state of the anti-slide pile is analyzed qualitatively and evaluated quantitatively based on monitoring data obtained from the sensing fibers. The design values and calculation values of the internal force of the anti-slide pile are compared and analyzed, and the working state of the anti-slide pile is evaluated. At present, the landslide is in a stable state, and the anti-slide pile still plays a good effect in the anti-sliding function.
- (4)
- The BP neural network used in machine learning can be used to predict the bending moments of anti-slide piles. After several training iterations, a neural network model that reflects the mapping relationship between input sets and output sets can be obtained by selecting appropriate input sets and their corresponding output sets. The BP neural network model can provide a novel data analysis and prediction method for future engineering monitoring, combining engineering building and monitoring methods.
Author Contributions
Funding
Conflicts of Interest
References
- Schimmel, A.; Hübl, J. Automatic detection of debris flows and debris floods based on a combination of infrasound and seismic signals. Landslides 2016, 13, 1181–1196. [Google Scholar] [CrossRef]
- Baum, R.L.; Godt, J.W. Early warning of rainfall-induced shallow landslides and debris flows in the USA. Landslides 2010, 7, 259–272. [Google Scholar] [CrossRef]
- Urban, F.; Kadlec, J.; Vlach, R.; Kuchta, R. Design of a Pressure Sensor Based on Optical Fiber Bragg Grating Lateral Deformation. Sensors 2010, 10, 11212–11225. [Google Scholar] [CrossRef] [PubMed]
- Yu, Z.; Dai, H.; Zhang, Q.; Zhang, M.; Liu, L.; Zhang, J.; Jin, X. High-resolution distributed strain sensing system for landslide monitoring. Optik 2018, 158, 91–96. [Google Scholar] [CrossRef]
- Barrias, A.; Casas, J.R.; Villalba, S. A review of distributed optical fiber sensors for civil engineering applications. Sensors 2016, 16, 748. [Google Scholar] [CrossRef] [Green Version]
- Nie, W.B.; Zhang, L.J.; Hu, J.Y. Study on designed thrust of anti-slide pile. Chin. J. Rock Mech. Eng. 2004, 23 (Suppl. S2), 5050–5052. (In Chinese) [Google Scholar]
- Yang, M.; Su, H. A study for optical fiber multi-direction strain monitoring technology. Optik 2017, 144, 324–333. [Google Scholar] [CrossRef]
- Chen, H.; He, J.; Xue, Y.; Zhang, S. Experimental study on sinkhole collapse monitoring based on distributed Brillouin optical fiber sensor. Optik 2020, 216, 164825. [Google Scholar] [CrossRef]
- Sun, Y.; Li, Q.; Fan, C.; Yang, D.; Li, X.; Sun, A. Fiber-optic monitoring of evaporation-induced axial strain of sandstone under ambient laboratory conditions. Environ. Earth Sci. 2017, 76, 379. [Google Scholar] [CrossRef]
- Li, C.; Wu, J.; Tang, H.; Hu, X.; Liu, X.; Wang, C.; Liu, T.; Zhang, Y. Model testing of the response of stabilizing piles in landslides with upper hard and lower weak bedrock. Eng. Geol. 2016, 204, 65–76. [Google Scholar] [CrossRef]
- Liu, X.; Cai, G.; Liu, L.; Zhou, Z. Investigation of internal force of anti-slide pile on landslides considering the actual distribution of soil resistance acting on anti-slide piles. Nat. Hazards 2020, 102, 1369–1392. [Google Scholar] [CrossRef]
- Sharafi, H.; Sojoudi, Y. Experimental and Numerical Study of Pile-Stabilized Slopes Under Surface Load Conditions. Int. J. Civ. Eng. 2016, 14, 221–232. [Google Scholar] [CrossRef]
- Wang, H.; Wang, P.; Qin, H.; Yue, J.; Zhang, J. Method to Control the Deformation of Anti-Slide Piles in Zhenzilin Landslide. Appl. Sci. 2020, 10, 2831. [Google Scholar] [CrossRef] [Green Version]
- Leung, C.K.Y.; Wan, K.T.; Chen, L. A Novel Optical Fiber Sensor for Steel Corrosion in Concrete Structures. Sensors 2008, 8, 1960–1976. [Google Scholar] [CrossRef] [PubMed] [Green Version]
- Song, C.J.; Zhou, D.P.; Xiao, S.G. Calculation of internal force of embedded anti-slide pile in high rock slope. Chin. J. Rock Mech. Eng. 2005, 24, 105–109. (In Chinese) [Google Scholar]
- Sun, A.; Wu, Z.; Huang, H. Development and evaluation of PPP-BOTDA based optical fiber three dimension strain rosette sensor. Optik 2012, 124, 744–746. [Google Scholar] [CrossRef]
- Tang, H.; Hu, X.; Xu, C.; Li, C.; Yong, R.; Wang, L. A novel approach for determining landslide pushing force based on landslide-pile interactions. Eng. Geol. 2014, 182, 15–24. [Google Scholar] [CrossRef]
- Wang, C.T.; Wang, H.; Qin, W.M.; Min, H.; Zhang, Y.F. Model test and numerical simulation study on the mechanical characteristics of the anchored slide-resistant pile for stabilizing the colluvial landslide. Rock Soil Mech. 2020, 41, 3343–3354. [Google Scholar]
- Yan, J.-F.; Shi, B.; Ansari, F.; Zhu, H.-H.; Song, Z.-P.; Nazarian, E. Analysis of the strain process of soil slope model during infiltration using BOTDA. Bull. Eng. Geol. Environ. 2017, 76, 947–959. [Google Scholar] [CrossRef]
- Di, H.; Xin, Y.; Jian, J. Review of optical fiber sensors for deformation measurement. Optik 2018, 168, 703–713. [Google Scholar] [CrossRef]
- Ooi, P.S.K.; Ramsey, T.L. Curvature and Bending Moments from Inclinometer Data. Int. J. Géoméch. 2003, 3, 64–74. [Google Scholar] [CrossRef]
- Zhang, S.; Xu, C.; Chen, J.; Jiang, J. An experimental evaluation of impact force on a fiber Bragg grating-based device for debris flow warning. Landslides 2018, 16, 65–73. [Google Scholar] [CrossRef]
- Zheng, Y.; Huang, D.; Zhu, Z.-W.; Li, W.-J. Experimental study on a parallel-series connected fiber-optic displacement sensor for landslide monitoring. Opt. Lasers Eng. 2018, 111, 236–245. [Google Scholar] [CrossRef]
- Jia, Z.; Wang, Z.; Sun, W.; Li, Z. Pipeline leakage localization based on distributed FBG hoop strain measurements and support vector machine. Optik 2019, 176, 1–13. [Google Scholar] [CrossRef]
- Pei, H.-F.; Teng, J.; Yin, J.-H.; Chen, R. A review of previous studies on the applications of optical fiber sensors in geotechnical health monitoring. Measurement 2014, 58, 207–214. [Google Scholar] [CrossRef]
- Wei, C.Q.; Deng, Q.L. Research on application of distributed optical fiber monitoring technology for subgrade settlement. J. Eng. Geol. 2020, 28, 1091–1098. (In Chinese) [Google Scholar] [CrossRef]
- Zhang, D.; Cui, H.; Shi, B. Spatial resolution of DOFS and its calibration methods. Opt. Lasers Eng. 2013, 51, 335–340. [Google Scholar] [CrossRef]
- Habel, W.R.; Krebber, K. Fiber-optic sensor applications in civil and geotechnical engineering. Photonic Sens. 2011, 1, 268–280. [Google Scholar] [CrossRef] [Green Version]
- Huang, C.-J.; Chu, C.-R.; Tien, T.-M.; Yin, H.-Y.; Chen, P.-S. Calibration and Deployment of a Fiber-Optic Sensing System for Monitoring Debris Flows. Sensors 2012, 12, 5835–5849. [Google Scholar] [CrossRef] [Green Version]
- Zhang, L.; Shi, B.; Zhu, H.; Yu, X.B.; Han, H.; Fan, X. PSO-SVM-based deep displacement prediction of Majiagou landslide considering the deformation hysteresis effect. Landslides 2021, 18, 179–193. [Google Scholar] [CrossRef]
- Emami, S.N.; Yousefi, S.; Pourghasemi, H.R.; Tavangar, S.; Santosh, M. A comparative study on machine learning modeling for mass movement susceptibility mapping (a case study of Iran). Bull. Eng. Geol. Environ. 2020, 79, 5291–5308. [Google Scholar] [CrossRef]
- Ma, J.W.; Wang, Y.K.; Niu, X.X.; Jiang, S.; Liu, Z.Y. A comparative study of mutual information-based input variable selection strategies for the displacement prediction of seepage-driven landslides using optimized support vector regression. Stoch. Environ. Res. Risk Assess. 2022, 1–21. [Google Scholar] [CrossRef]
- Deng, D.M.; Liang, Y.; Wang, L.Q.; Wang, C.S.; Sun, Z.H.; Wang, C.; Dong, M.M. Displacement prediction method based on ensemble empirical mode decomposition and support vector machine regression—A case of landslides in Three Gorges Reservoir area. Rock Soil Mech. 2017, 12, 1001–1009. [Google Scholar]
- Zhou, C.; Yin, K.; Cao, Y.; Ahmed, B. Application of time series analysis and PSO–SVM model in predicting the Bazimen landslide in the Three Gorges Reservoir, China. Eng. Geol. 2016, 204, 108–120. [Google Scholar] [CrossRef]
- Bao, X.; Chen, L. Recent Progress in Brillouin Scattering Based Fiber Sensors. Sensors 2011, 11, 4152–4187. [Google Scholar] [CrossRef]
- Pham, B.T.; Jaafari, A.; Prakash, I.; Bui, D.T. A novel hybrid intelligent model of support vector machines and the MultiBoost ensemble for landslide susceptibility modeling. Bull. Eng. Geol. Environ. 2019, 78, 2865–2886. [Google Scholar] [CrossRef]
- Li, C.; Tang, H.; Ge, Y.; Hu, X.; Wang, L. Application of back-propagation neural network on bank destruction forecasting for accumulative landslides in the three Gorges Reservoir Region, China. Stoch. Environ. Res. Risk Assess. 2014, 28, 1465–1477. [Google Scholar] [CrossRef]



















Publisher’s Note: MDPI stays neutral with regard to jurisdictional claims in published maps and institutional affiliations. |
© 2022 by the authors. Licensee MDPI, Basel, Switzerland. This article is an open access article distributed under the terms and conditions of the Creative Commons Attribution (CC BY) license (https://creativecommons.org/licenses/by/4.0/).
Share and Cite
Wei, C.; Deng, Q.; Yin, Y.; Yan, M.; Lu, M.; Deng, K. A Machine Learning Study on Internal Force Characteristics of the Anti-Slide Pile Based on the DOFS-BOTDA Monitoring Technology. Sensors 2022, 22, 2085. https://doi.org/10.3390/s22062085
Wei C, Deng Q, Yin Y, Yan M, Lu M, Deng K. A Machine Learning Study on Internal Force Characteristics of the Anti-Slide Pile Based on the DOFS-BOTDA Monitoring Technology. Sensors. 2022; 22(6):2085. https://doi.org/10.3390/s22062085
Chicago/Turabian StyleWei, Chaoqun, Qinglu Deng, Yueming Yin, Mengyao Yan, Meng Lu, and Kangqing Deng. 2022. "A Machine Learning Study on Internal Force Characteristics of the Anti-Slide Pile Based on the DOFS-BOTDA Monitoring Technology" Sensors 22, no. 6: 2085. https://doi.org/10.3390/s22062085
APA StyleWei, C., Deng, Q., Yin, Y., Yan, M., Lu, M., & Deng, K. (2022). A Machine Learning Study on Internal Force Characteristics of the Anti-Slide Pile Based on the DOFS-BOTDA Monitoring Technology. Sensors, 22(6), 2085. https://doi.org/10.3390/s22062085

