Auto-Exposure Algorithm for Enhanced Mobile Robot Localization in Challenging Light Conditions
Abstract
:1. Introduction
1.1. Optimization Metrics
1.2. Prediction Models
1.3. Gain/Exposure Balance Strategies
1.4. Control Policies
1.5. Proposed Approach
2. Materials and Methods
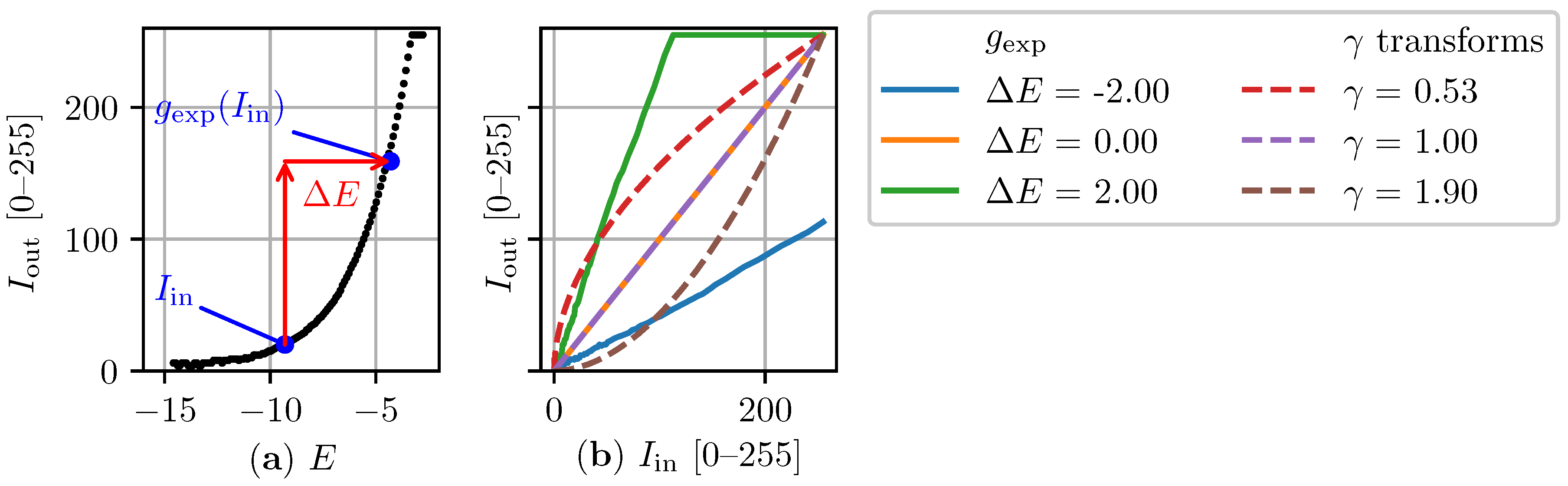
2.1. Proposed AE Algorithm
| Algorithm 1 AE for challenging light conditions. |
|
2.2. Experimental Setup
3. Results
3.1. Benchmarking Proxies of VO Performance
3.2. Convergence Analysis
3.3. VO Performance
4. Discussion
4.1. Optimization Metrics
4.2. Prediction Models
4.3. Computational Efficiency
4.4. Saturation Feedback
5. Conclusions
Supplementary Materials
Author Contributions
Funding
Institutional Review Board Statement
Informed Consent Statement
Data Availability Statement
Conflicts of Interest
Abbreviations
| AE | Auto-exposure |
| CNN | Convolutional neural network |
| HDR | High dynamic range |
| IMU | Inertial measurement unit |
| PRF | Photometric response function |
| ROI | Region of interest |
| SLAM | Simultaneous localization and mapping |
| VO | Visual odometry |
References
- Liu, P.; Zuo, X.; Larsson, V.; Pollefeys, M. MBA-VO: Motion Blur Aware Visual Odometry. In Proceedings of the 2021 IEEE/CVF International Conference on Computer Vision (ICCV), Virtual, 11–17 October 2021; pp. 5550–5559. [Google Scholar]
- Zhang, K.; Luo, W.; Zhong, Y.; Ma, L.; Stenger, B.; Liu, W.; Li, H. Deblurring by Realistic Blurring. In Proceedings of the 2020 IEEE/CVF Conference on Computer Vision and Pattern Recognition (CVPR), Virtual, 14–19 June 2020; pp. 2734–2743. [Google Scholar] [CrossRef]
- Lee, M.H.; Park, I.K. Blur Invariant Feature Descriptor Using Multidirectional Integral Projection. Electron. Telecommun. Res. Inst. 2016, 38, 502–509. [Google Scholar] [CrossRef]
- Park, S.H.; Levoy, M. Gyro-Based Multi-image Deconvolution for Removing Handshake Blur. In Proceedings of the 2014 IEEE Conference on Computer Vision and Pattern Recognition, Columbus, OH, USA, 23–28 June 2014; pp. 3366–3373. [Google Scholar] [CrossRef] [Green Version]
- Lee, H.S.; Kwon, J.; Lee, K.M. Simultaneous Localization, Mapping and Deblurring. In Proceedings of the 2011 International Conference on Computer Vision, Barcelona, Spain, 6–13 November 2011; pp. 1203–1210. [Google Scholar] [CrossRef] [Green Version]
- Pretto, A.; Menegatti, E.; Bennewitz, M.; Burgard, W.; Pagello, E. A Visual Odometry Framework Robust to Motion Blur. In Proceedings of the 2009 IEEE International Conference on Robotics and Automation, Kobe, Japan, 12–17 May 2009; pp. 2250–2257, ISSN: 1050-4729. [Google Scholar] [CrossRef]
- Jin, H.; Favaro, P.; Cipolla, R. Visual Tracking in the Presence of Motion Blur. In Proceedings of the 2005 IEEE Computer Society Conference on Computer Vision and Pattern Recognition (CVPR’05), San Diego, CA, USA, 20–26 June 2005; Volume 2, pp. 18–25. [Google Scholar] [CrossRef] [Green Version]
- Meilland, M.; Comport, A.; Rives, P. Real-time Dense Visual Tracking under Large Lighting Variations. In British Machine Vision Conference; British Machine Vision Association: Dundee, UK, 2011; pp. 45.1–45.11. [Google Scholar] [CrossRef] [Green Version]
- Aladem, M.; Baek, S.; Rawashdeh, S.A. Evaluation of Image Enhancement Techniques for Vision-Based Navigation under Low Illumination. J. Robot. 2019, 2019, 5015741. [Google Scholar] [CrossRef]
- Alismail, H.; Kaess, M.; Browning, B.; Lucey, S. Direct Visual Odometry in Low Light Using Binary Descriptors. IEEE Robot. Autom. Lett. 2017, 2, 444–451. [Google Scholar] [CrossRef]
- Vonikakis, V.; Chrysostomou, D.; Kouskouridas, R.; Gasteratos, A. Improving the Robustness in Feature Detection by Local Contrast Enhancement. In Proceedings of the 2012 IEEE International Conference on Imaging Systems and Techniques, Manchester, UK, 16–17 July 2012; pp. 158–163. [Google Scholar] [CrossRef]
- Neves, A.J.R.; Cunha, B.; Pinho, O.J.; Pinheiro, I. Autonomous Configuration of Parameters in Robotic Digital Cameras. In Iberian Conference on Pattern Recognition and Image Analysis, ibPRIA; Springer: Pvoa de Varzim, Portugal, 2009. [Google Scholar]
- Lu, H.; Zhang, H.; Yang, S.; Zheng, Z. Camera Parameters Auto-Adjusting Technique for Robust Robot Vision. In Proceedings of the 2010 IEEE International Conference on Robotics and Automation, Anchorage, AK, USA, 3–7 May 2010; pp. 1518–1523. [Google Scholar] [CrossRef]
- Berthold, O.; Hafner, V.V. Unsupervised Learning of Camera Exposure Control Using Randomly Connected Neural Networks. In Proceedings of the 2013 IFAC Workshop on Research, Education and Development of Unmanned Aerial Systems (RED-UAS), Compiegne, France, 20 November 2013. [Google Scholar]
- Zhang, Z.; Forster, C.; Scaramuzza, D. Active Exposure Control for Robust Visual Odometry in HDR Environments. In Proceedings of the 2017 IEEE International Conference on Robotics and Automation (ICRA), Singapore, 29 May–3 June 2017; pp. 3894–3901. [Google Scholar] [CrossRef] [Green Version]
- Shim, I.; Oh, T.H.; Lee, J.Y.; Choi, J.; Choi, D.G.; Kweon, I.S. Gradient-based Camera Exposure Control for Outdoor Mobile Platforms. IEEE Trans. Circuits Syst. Video Technol. 2018, 29, 1569–1583. [Google Scholar] [CrossRef]
- Kim, J.; Cho, Y.; Kim, A. Exposure Control Using Bayesian Optimization Based on Entropy Weighted Image Gradient. In Proceedings of the 2018 IEEE International Conference on Robotics and Automation (ICRA), Brisbane, QLD, Australia, 21–26 May 2018; pp. 857–864, ISSN 2577-087X. [Google Scholar] [CrossRef]
- Shin, U.; Park, J.; Shim, G.; Rameau, F.; Kweon, I.S. Camera Exposure Control for Robust Robot Vision with Noise-Aware Image Quality Assessment. arXiv 2019, arXiv:1907.12646. [Google Scholar]
- Mehta, I.; Tang, M.; Barfoot, T.D. Gradient-Based Auto-Exposure Control Applied to a Self-Driving Car. In Proceedings of the 2020 17th Conference on Computer and Robot Vision (CRV), Ottawa, ON, Canada, 13–15 May 2020; pp. 166–173. [Google Scholar] [CrossRef]
- Tomasi, J.; Wagstaff, B.; Waslander, S.L.; Kelly, J. Learned Camera Gain and Exposure Control for Improved Visual Feature Detection and Matching. IEEE Robot. Autom. Lett. 2021, 6, 2028–2035. [Google Scholar] [CrossRef]
- Jiang, T.; Kuhnert, K.D.; Nguyen, D.; Kuhnert, L. Multiple Templates Auto Exposure Control Based on Luminance Histogram for Onboard Camera. In Proceedings of the 2011 IEEE International Conference on Computer Science and Automation Engineering, Shanghai, China, 10–12 June 2011; Volume 3, pp. 237–241. [Google Scholar] [CrossRef]
- Pan, S.; An, X. Content-based Auto Exposure Control for On-board CMOS Camera. In Proceedings of the 2008 11th International IEEE Conference on Intelligent Transportation Systems, Beijing, China, 12–15 October 2008; pp. 772–777, ISSN 2153-0017. [Google Scholar] [CrossRef]
- Shim, I.; Lee, J.Y.; Kweon, I.S. Auto-Adjusting Camera Exposure for Outdoor Robotics Using Gradient Information. In Proceedings of the 2014 IEEE/RSJ International Conference on Intelligent Robots and Systems, Chicago, IL, USA, 14–18 September 2014; pp. 1011–1017. [Google Scholar] [CrossRef]
- Immerkær, J. Fast Noise Variance Estimation. Comput. Vis. Image Underst. 1996, 64, 300–302. [Google Scholar] [CrossRef]
- Debevec, P.E.; Malik, J. Recovering High Dynamic Range Radiance Maps from Photographs. In ACM SIGGRAPH 2008 Classes; SIGGRAPH ’08; Association for Computing Machinery: New York, NY, USA, 2008; pp. 1–10. [Google Scholar] [CrossRef]
- Bergmann, P.; Wang, R.; Cremers, D. Online Photometric Calibration for Auto Exposure Video for Realtime Visual Odometry and SLAM. IEEE Robot. Autom. Lett. 2018, 3, 627–634. [Google Scholar] [CrossRef] [Green Version]
- Campos, C.; Elvira, R.; Rodríguez, J.J.G.; Montiel, J.M.M.; Tardós, J.D. ORB-SLAM3: An Accurate Open-Source Library for Visual, Visual-Inertial and Multi-Map SLAM. IEEE Trans. Robot. 2021, 37, 1874–1890. [Google Scholar] [CrossRef]
- Qin, T.; Li, P.; Shen, S. VINS-Mono: A Robust and Versatile Monocular Visual-Inertial State Estimator. IEEE Trans. Robot. 2018, 34, 1004–1020. [Google Scholar] [CrossRef] [Green Version]
- Wang, R.; Schworer, M.; Cremers, D. Stereo DSO: Large-Scale Direct Sparse Visual Odometry with Stereo Cameras. In Proceedings of the 2017 IEEE International Conference on Computer Vision (ICCV), Venice, Italy, 22–29 October 2017; pp. 3923–3931. [Google Scholar] [CrossRef] [Green Version]
- Farnebäck, G. Two-Frame Motion Estimation Based on Polynomial Expansion. In Image Analysis; Goos, G., Hartmanis, J., van Leeuwen, J., Bigun, J., Gustavsson, T., Eds.; Lecture Notes in Computer Science; Springer: Berlin/Heidelberg, Germany, 2003; Volume 2749, pp. 363–370. [Google Scholar] [CrossRef] [Green Version]
- Zhang, Z.; Scaramuzza, D. A Tutorial on Quantitative Trajectory Evaluation for Visual(-Inertial) Odometry. In Proceedings of the 2018 IEEE/RSJ International Conference on Intelligent Robots and Systems (IROS), Madrid, Spain, 1–5 October 2018; pp. 7244–7251. [Google Scholar] [CrossRef] [Green Version]














| Ref. | Year | Optimization Metric | Prediction Model | Gain/Exposure Balance Strategy | Control Policy |
|---|---|---|---|---|---|
| [12] | 2009 | Average intensity deviation from ref. | None | Exposure priority | PI controller |
| [13] | 2010 | Image entropy (2) | None | Preset relationship | Unspecified |
| [14] | 2013 | Average intensity deviation from ref. | Implicit | Implicit | Learned (randomly connected NN) |
| [15] | 2017 | “Soft” gradient percentile | Photometric response | Exposure priority | Gradient descent |
| [16] | 2018 | Gradient information (5) | transformations | Exposure priority | Nonlinear feedback minimizing |
| [17] | 2018 | Average entropy-weighted gradient (12) | Implicit | Fixed gain | Learned (Gaussian process) |
| [18] | 2019 | Combined gradient information, entropy, and noise metric (14) | None | Implicit | Nelder-Mead |
| [19] | 2020 | Gradient information (5) | transformations | Exposure priority | Nonlinear feedback minimizing |
| [20] | 2021 | Number of detected features and matched features across frames | Implicit | Implicit | Learned (CNN) |
| Ours | 2021 | Gradient information (5) | PRF-based transformations and saturation feedback | Minimizing motion blur and noise | Linear feedforward |
Publisher’s Note: MDPI stays neutral with regard to jurisdictional claims in published maps and institutional affiliations. |
© 2022 by the authors. Licensee MDPI, Basel, Switzerland. This article is an open access article distributed under the terms and conditions of the Creative Commons Attribution (CC BY) license (https://creativecommons.org/licenses/by/4.0/).
Share and Cite
Bégin, M.-A.; Hunter, I. Auto-Exposure Algorithm for Enhanced Mobile Robot Localization in Challenging Light Conditions. Sensors 2022, 22, 835. https://doi.org/10.3390/s22030835
Bégin M-A, Hunter I. Auto-Exposure Algorithm for Enhanced Mobile Robot Localization in Challenging Light Conditions. Sensors. 2022; 22(3):835. https://doi.org/10.3390/s22030835
Chicago/Turabian StyleBégin, Marc-André, and Ian Hunter. 2022. "Auto-Exposure Algorithm for Enhanced Mobile Robot Localization in Challenging Light Conditions" Sensors 22, no. 3: 835. https://doi.org/10.3390/s22030835
APA StyleBégin, M.-A., & Hunter, I. (2022). Auto-Exposure Algorithm for Enhanced Mobile Robot Localization in Challenging Light Conditions. Sensors, 22(3), 835. https://doi.org/10.3390/s22030835

