Mechanically Reconfigurable Waveguide Filter Based on Glide Symmetry at Millimetre-Wave Bands
Abstract
:1. Introduction
2. Materials and Methods
2.1. Description of the Unit Cell, Parameter Definition and Generic Analysis
| Parameter | Description | 
|---|---|
| A1 | Length of the first stadium-shaped hole. | 
| A2 | Length of the second stadium-shaped hole. | 
| B1 | Width of the first stadium-shaped hole. | 
| B2 | Width of the second stadium-shaped hole. | 
| θ1 | Tilt angle of the first stadium-shaped hole with respect to −y-axis. | 
| θ2 | Tilt angle of the second stadium-shaped hole with respect to y-axis. | 
| h | Depth of stadium-shaped holes. | 
| p | Total length of the unit cell. The periodicity for the generic case. | 
| d | Displacement along x-axis of the upper half with respect to the lower half of the unit cell. | 
| W | Width of the rectangular waveguide in which the holes are drilled. | 
| H | Height of the rectangular waveguide in which the holes are drilled. | 
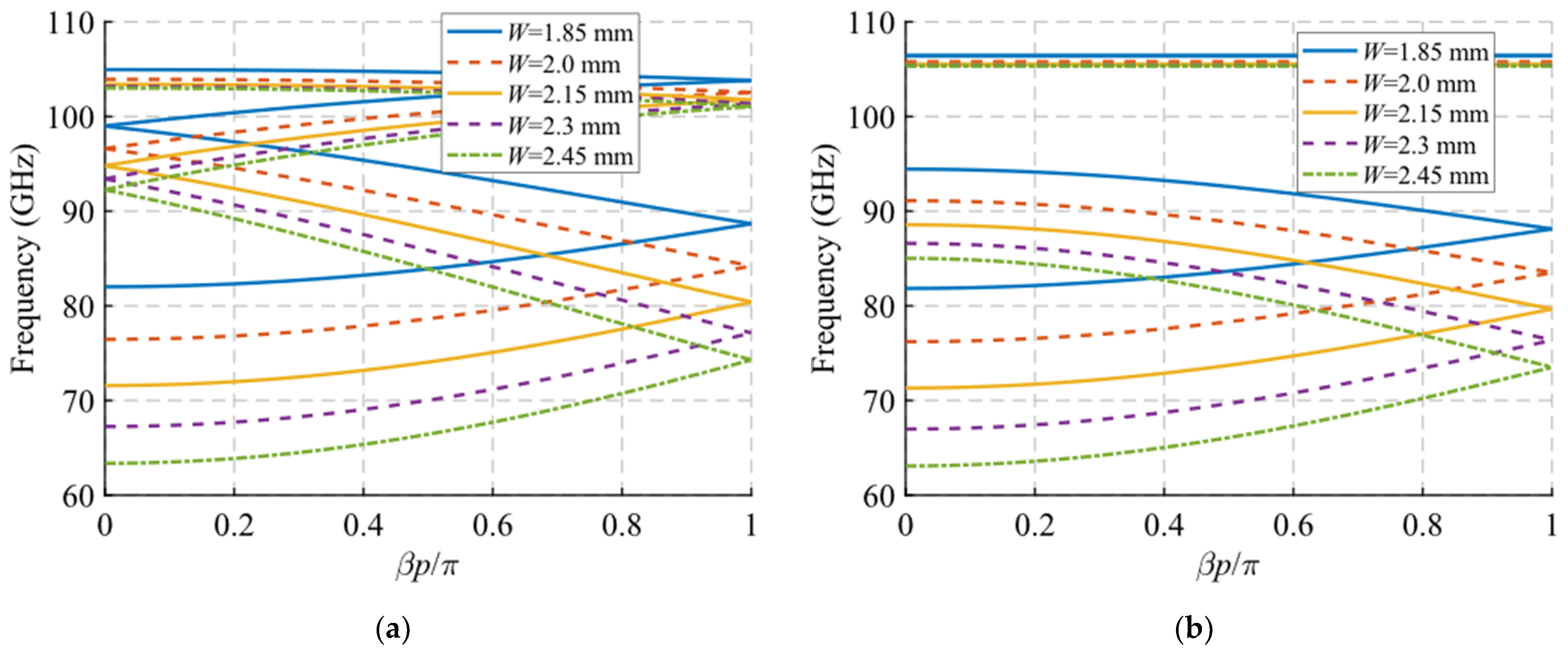
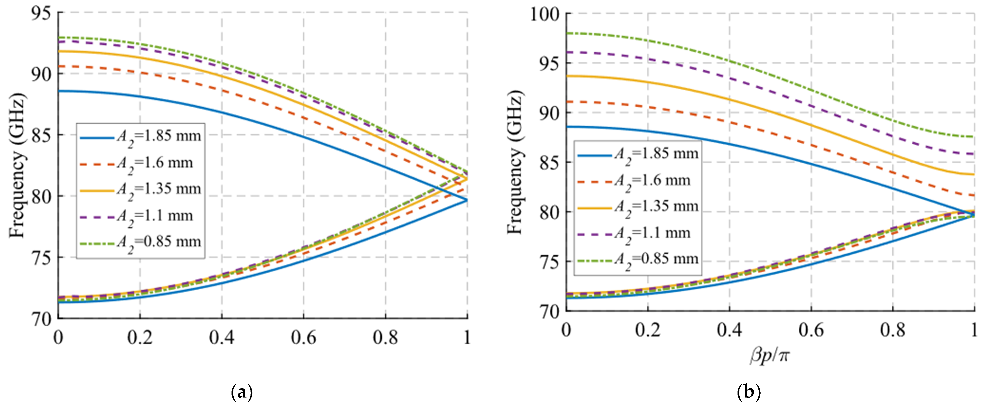
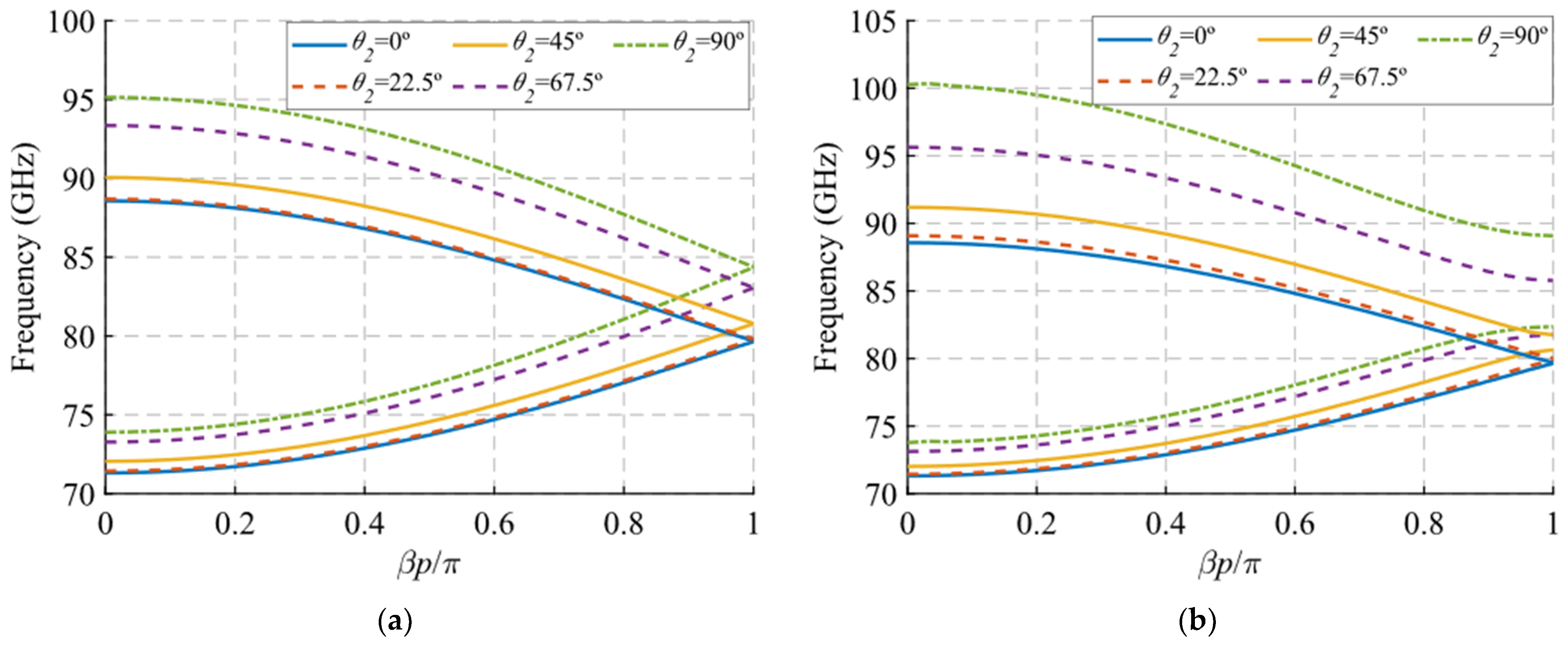
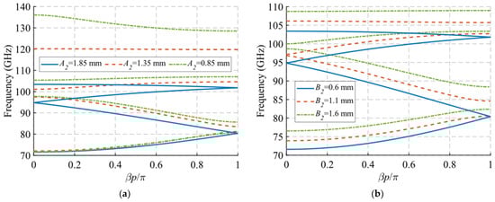
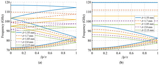
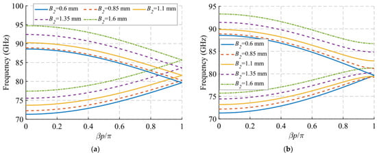
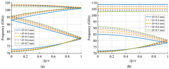
2.1.1. Analysis of Parameter Variation in a Double-Periodic Unit Cell
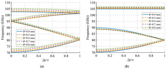
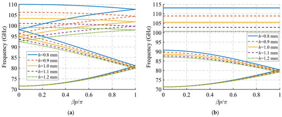
2.1.2. Analysis of Parameter Variation in a Single-Periodic Unit Cell
2.2. Parameter Selection for the Design of Filters
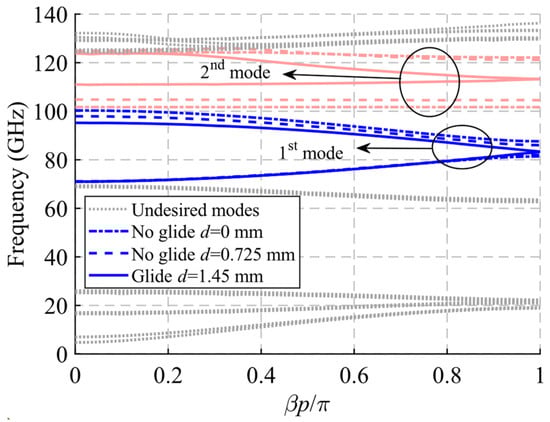
2.2.1. Breaking the Symmetry of the Double Periodic Unit Cell
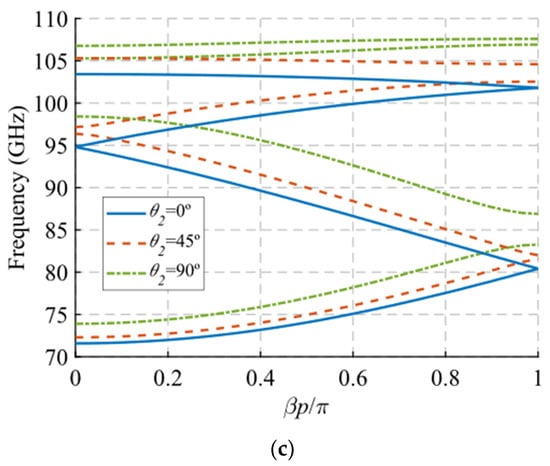
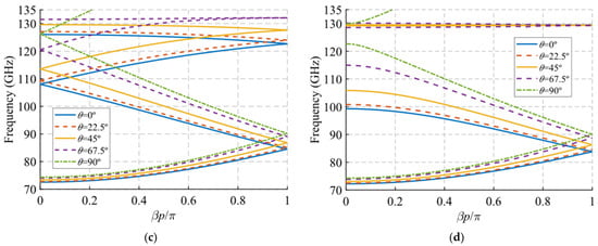
2.2.2. Breaking the Symmetry of the Single Periodic Unit Cell
2.3. Final Unit Cells for Manufacturing and Assembly Requirements
3. Results
4. Discussion
Author Contributions
Funding
Institutional Review Board Statement
Informed Consent Statement
Data Availability Statement
Conflicts of Interest
References
- Muriel-Barrado, A.T.; Calatayud-Maeso, J.; Rodríguez-Gallego, A.; Sánchez-Olivares, P.; Fernández-González, J.M.; Sierra-Pérez, M. Evaluation of a Planar Reconfigurable Phased Array Antenna Driven by a Multi-Channel Beamforming Module at Ka Band. IEEE Access 2021, 9, 63752–63766. [Google Scholar] [CrossRef]
- Yuceer, M. A Reconfigurable Microwave Combline Filter. IEEE Trans. Circuits Syst. II Express Briefs 2016, 63, 84–88. [Google Scholar] [CrossRef]
- Lin, W.; Zhou, K.; Wu, K. Tunable Bandpass Filters with One Switchable Transmission Zero by Only Tuning Resonances. IEEE Microw. Wirel. Compon. Lett. 2020, 31, 105–108. [Google Scholar] [CrossRef]
- Pal, B.; Mandal, M.K.; Dwari, S. Varactor Tuned Dual-Band Bandpass Filter With Independently Tunable Band Positions. IEEE Microw. Wirel. Compon. Lett. 2019, 29, 255–257. [Google Scholar] [CrossRef]
- Jung, M.; Min, B.-W. A Widely Tunable Compact Bandpass Filter Based on a Switched Varactor-Tuned Resonator. IEEE Access 2019, 7, 95178–95185. [Google Scholar] [CrossRef]
- Pistono, E.; Ferrari, P.; Duvillaret, L.; Duchamp, J.-M.; Harrison, R.G. Hybrid narrow-band tunable bandpass filter based on varactor loaded electromagnetic-bandgap coplanar waveguides. IEEE Trans. Microw. Theory Tech. 2005, 53, 2506–2514. [Google Scholar] [CrossRef]
- Huang, F.; Zhou, J.; Hong, W. Ku Band Continuously Tunable Circular Cavity SIW Filter With One Parameter. IEEE Microw. Wirel. Compon. Lett. 2016, 26, 270–272. [Google Scholar] [CrossRef]
- Mira, F.; Mateu, J.; Collado, C. Mechanical Tuning of Substrate Integrated Waveguide Filters. IEEE Trans. Microw. Theory Tech. 2015, 63, 3939–3946. [Google Scholar] [CrossRef] [Green Version]
- Sanchez-Olivares, P.; Masa-Campos, J.L.; Muriel-Barrado, A.T.; Villena-Medina, R.; Fernandez-Romero, G.M. Mechanically Reconfigurable Linear Array Antenna Fed by a Tunable Corporate Waveguide Network with Tuning Screws. IEEE Antennas Wirel. Propag. Lett. 2018, 17, 1430–1434. [Google Scholar] [CrossRef]
- Lee, S.; Kim, J.-M.; Kim, J.-M.; Kim, Y.-K.; Kwon, Y. Millimeter-wave MEMS tunable low pass filter with reconfigurable series inductors and capacitive shunt switches. IEEE Microw. Wirel. Compon. Lett. 2005, 15, 691–693. [Google Scholar] [CrossRef]
- Hsieh, S.; Chen, C.; Lin, C.; Chang, C. Design of millimeter-wave reconfigurable bandstop filter using CMOS-MEMS technology. In Proceedings of the 2011 6th European Microwave Integrated Circuit Conference, Manchester, UK, 10–11 October 2011; pp. 534–537. [Google Scholar]
- Park, J.-H.; Lee, S.; Kim, J.-M.; Kim, H.-T.; Kwon, Y.; Kim, Y.-K. Reconfigurable millimeter-wave filters using CPW-based periodic structures with novel multiple-contact MEMS switches. J. Microelectromech. Syst. 2005, 14, 456–463. [Google Scholar] [CrossRef]
- Attar, S.S.; Setoodeh, S.; LaForge, P.D.; Bakri-Kassem, M.; Mansour, R.R. Low Temperature Superconducting Tunable Bandstop Resonator and Filter Using Superconducting RF MEMS Varactors. IEEE Trans. Appl. Supercond. 2014, 24, 1–9. [Google Scholar] [CrossRef]
- Bouyge, D.; Mardivirin, D.; Bonache, J.; Crunteanu, A.; Pothier, A.; Duran-Sindreu, M.; Blondy, P.; Martin, F. Split Ring Resonators (SRRs) Based on Micro-Electro-Mechanical Deflectable Cantilever-Type Rings: Application to Tunable Stopband Filters. IEEE Microw. Wirel. Compon. Lett. 2011, 21, 243–245. [Google Scholar] [CrossRef]
- Yao, J. Photonics to the Rescue: A Fresh Look at Microwave Photonic Filters. IEEE Microw. Mag. 2015, 16, 46–60. [Google Scholar] [CrossRef]
- Fandiño, J.S.; Muñoz, P.; Doménech, D.; Capmany, J. A monolithic integrated photonic microwave filter. Nat. Photonics 2017, 11, 124–129. [Google Scholar] [CrossRef] [Green Version]
- Xu, E.; Yao, J. Frequency- and Notch-Depth-Tunable Single-Notch Microwave Photonic Filter. IEEE Photon-Technol. Lett. 2015, 27, 2063–2066. [Google Scholar] [CrossRef]
- Han, X.; Xu, E.; Yao, J. Tunable Single Bandpass Microwave Photonic Filter With an Improved Dynamic Range. IEEE Photon-Technol. Lett. 2015, 28, 11–14. [Google Scholar] [CrossRef]
- Tao, R.; Feng, X.; Cao, Y.; Li, Z.; Guan, B.-O. Tunable Microwave Photonic Notch Filter and Bandpass Filter Based on High-Birefringence Fiber-Bragg-Grating-Based Fabry–Pérot Cavity. IEEE Photon-Technol. Lett. 2012, 24, 1805–1808. [Google Scholar] [CrossRef]
- Zhang, W.; Minasian, R.A. Widely Tunable Single-Passband Microwave Photonic Filter Based on Stimulated Brillouin Scattering. IEEE Photon-Technol. Lett. 2011, 23, 1775–1777. [Google Scholar] [CrossRef]
- Tao, R.; Feng, X.; Cao, Y.; Li, Z.; Guan, B.-O. Widely Tunable Single Bandpass Microwave Photonic Filter Based on Phase Modulation and Stimulated Brillouin Scattering. IEEE Photon-Technol. Lett. 2012, 24, 1097–1099. [Google Scholar] [CrossRef]
- Shu, R.; Gu, Q.J. A Transformer-Based $V$ -Band SPDT Switch. IEEE Microw. Wirel. Compon. Lett. 2017, 27, 278–280. [Google Scholar] [CrossRef]
- Aldrigo, M.; Dragoman, M.; Iordanescu, S.; Avram, A.; Simionescu, O.-G.; Parvulescu, C.; El Ghannudi, H.; Montori, S.; Nicchi, L.; Xavier, S.; et al. Tunable 24-GHz Antenna Arrays Based on Nanocrystalline Graphite. IEEE Access 2021, 9, 122443–122456. [Google Scholar] [CrossRef]
- Kankuppe, A.; Park, S.; Renukaswamy, P.T.; Wambacq, P.; Craninckx, J. A Wideband 62-mW 60-GHz FMCW Radar in 28-nm CMOS. IEEE Trans. Microw. Theory Tech. 2021, 69, 2921–2935. [Google Scholar] [CrossRef]
- Casu, E.A.; Muller, A.A.; Fernandez-Bolanos, M.; Fumarola, A.; Krammer, A.; Schuler, A.; Ionescu, A.M. Vanadium Oxide Bandstop Tunable Filter for Ka Frequency Bands Based on a Novel Reconfigurable Spiral Shape Defected Ground Plane CPW. IEEE Access 2018, 6, 12206–12212. [Google Scholar] [CrossRef]
- Ghadiri, A.; Moez, K. High-Quality-Factor Active Capacitors for Millimeter-Wave Applications. IEEE Trans. Microw. Theory Tech. 2012, 60, 3710–3718. [Google Scholar] [CrossRef]
- Yu, Y.; Kang, K.; Zhao, C.; Zheng, Q.; Liu, H.; He, S.; Ban, Y.-L.; Sun, L.-L.; Hong, W. A 60-GHz 19.8-mW Current-Reuse Active Phase Shifter with Tunable Current-Splitting Technique in 90-nm CMOS. IEEE Trans. Microw. Theory Tech. 2016, 64, 1572–1584. [Google Scholar] [CrossRef]
- Jolly, N.; Tantot, O.; Delhote, N.; Verdeyme, S.; Estagerie, L.; Carpentier, L.; Pacaud, D. Wide range continuously high electrical performance tunable E-plane filter by mechanical translation. In Proceedings of the 44th European Microwave Conference, Rome, Italy, 6–9 October 2014; pp. 351–354. [Google Scholar] [CrossRef]
- Basavarajappa, G.; Mansour, R.R. Design Methodology of a Tunable Waveguide Filter With a Constant Absolute Bandwidth Using a Single Tuning Element. IEEE Trans. Microw. Theory Tech. 2018, 66, 5632–5639. [Google Scholar] [CrossRef]
- Azemi, S.N.; Ghorbani, K.; Rowe, W.S. A Reconfigurable FSS Using a Spring Resonator Element. IEEE Antennas Wirel. Propag. Lett. 2013, 12, 781–784. [Google Scholar] [CrossRef]
- Ferraro, A.; Zografopoulos, D.C.; Caputo, R.; Beccherelli, R. Periodical Elements as Low-Cost Building Blocks for Tunable Terahertz Filters. IEEE Photon-Technol. Lett. 2016, 28, 2459–2462. [Google Scholar] [CrossRef]
- Crepeau, P.J.; McIsaac, P.R. Consequences of Symmetry in Periodic Structures. Proc. IEEE 1963, 52, 33–43. [Google Scholar] [CrossRef] [Green Version]
- Hessel, A.; Chen, M.H.; Li, R.; Oliner, A. Propagation in periodically loaded waveguides with higher symmetries. Proc. IEEE 1973, 61, 183–195. [Google Scholar] [CrossRef]
- Quevedo-Teruel, O.; Chen, Q.; Mesa, F.; Fonseca, N.J.G.; Valerio, G. On the Benefits of Glide Symmetries for Microwave Devices. IEEE J. Microw. 2021, 1, 457–469. [Google Scholar] [CrossRef]
- Camacho, M.; Mitchell-Thomas, R.C.; Hibbins, A.; Sambles, J.R.; Quevedo-Teruel, O. Mimicking glide symmetry dispersion with coupled slot metasurfaces. Appl. Phys. Lett. 2017, 111, 121603. [Google Scholar] [CrossRef]
- Padilla, P.; Herran, L.F.; Tamayo-Dominguez, A.; Valenzuela-Valdés, J.; Quevedo-Teruel, O. Glide Symmetry to Prevent the Lowest Stopband of Printed Corrugated Transmission Lines. IEEE Microw. Wirel. Compon. Lett. 2018, 28, 750–752. [Google Scholar] [CrossRef]
- Tamayo-Dominguez, A.; Fernandez-Gonzalez, J.-M.; Quevedo-Teruel, O. One-Plane Glide-Symmetric Holey Structures for Stop-Band and Refraction Index Reconfiguration. Symmetry 2019, 11, 495. [Google Scholar] [CrossRef] [Green Version]
- Quevedo-Teruel, O.; Ebrahimpouri, M.; Kehn, M.N.M. Ultrawideband Metasurface Lenses Based on Off-Shifted Opposite Layers. IEEE Antennas Wirel. Propag. Lett. 2015, 15, 484–487. [Google Scholar] [CrossRef]
- Quevedo-Teruel, O.; Miao, J.; Mattsson, M.; Algaba-Brazalez, A.; Johansson, M.; Manholm, L. Glide-Symmetric Fully Metallic Luneburg Lens for 5G Communications at Ka-Band. IEEE Antennas Wirel. Propag. Lett. 2018, 17, 1588–1592. [Google Scholar] [CrossRef]
- Palomares-Caballero, A.; Alex-Amor, A.; Padilla, P.; Luna, F.; Valenzuela-Valdés, J. Compact and Low-Loss V-Band Waveguide Phase Shifter Based on Glide-Symmetric Pin Configuration. IEEE Access 2019, 7, 31297–31304. [Google Scholar] [CrossRef]
- Ebrahimpouri, M.; Quevedo-Teruel, O. Ultrawideband Anisotropic Glide-Symmetric Metasurfaces. IEEE Antennas Wirel. Propag. Lett. 2019, 18, 1547–1551. [Google Scholar] [CrossRef]
- Ebrahimpouri, M.; Herran, L.F.; Quevedo-Teruel, O. Wide-Angle Impedance Matching Using Glide-Symmetric Metasurfaces. IEEE Microw. Wirel. Compon. Lett. 2019, 30, 8–11. [Google Scholar] [CrossRef]
- Ebrahimpouri, M.; Quevedo-Teruel, O.; Rajo-Iglesias, E. Design Guidelines for Gap Waveguide Technology Based on Glide-Symmetric Holey Structures. IEEE Microw. Wirel. Compon. Lett. 2017, 27, 542–544. [Google Scholar] [CrossRef]
- Ebrahimpouri, M.; Rajo-Iglesias, E.; Sipus, Z.; Quevedo-Teruel, O. Cost-Effective Gap Waveguide Technology Based on Glide-Symmetric Holey EBG Structures. IEEE Trans. Microw. Theory Tech. 2017, 66, 927–934. [Google Scholar] [CrossRef] [Green Version]
- Ebrahimpouri, M.; Brazalez, A.A.; Manholm, L.; Quevedo-Teruel, O. Using Glide-Symmetric Holes to Reduce Leakage Between Waveguide Flanges. IEEE Microw. Wirel. Compon. Lett. 2018, 28, 473–475. [Google Scholar] [CrossRef]
- Monje-Real, A.; Fonseca, N.J.G.; Zetterstrom, O.; Pucci, E.; Quevedo-Teruel, O. Holey Glide-Symmetric Filters for 5G at Millimeter-Wave Frequencies. IEEE Microw. Wirel. Compon. Lett. 2019, 30, 31–34. [Google Scholar] [CrossRef]
- Palomares-Caballero, A.; Alex-Amor, A.; Padilla, P.; Valenzuela-Valdes, J.F. Dispersion and Filtering Properties of Rectangular Waveguides Loaded with Holey Structures. IEEE Trans. Microw. Theory Tech. 2020, 68, 5132–5144. [Google Scholar] [CrossRef]
- Mouris, B.A.; Fernández-Prieto, A.; Thobaben, R.; Martel, J.; Mesa, F.; Quevedo-Teruel, O. On the Increment of the Bandwidth of Mushroom-Type EBG Structures with Glide Symmetry. IEEE Trans. Microw. Theory Tech. 2020, 68, 1365–1375. [Google Scholar] [CrossRef]
- Kildal, P.-S.; Alfonso, E.; Valero-Nogueira, A.; Rajo-Iglesias, E. Local Metamaterial-Based Waveguides in Gaps Between Parallel Metal Plates. IEEE Antennas Wirel. Propag. Lett. 2008, 8, 84–87. [Google Scholar] [CrossRef]
- Rajo-Iglesias, E.; Ferrando-Rocher, M.; Zaman, A.U. Gap Waveguide Technology for Millimeter-Wave Antenna Systems. IEEE Commun. Mag. 2018, 56, 14–20. [Google Scholar] [CrossRef] [Green Version]








































| Parameter | Value (mm) | Parameter | Value (mm) | 
|---|---|---|---|
| A | 1.85 | p | 2.9 | 
| B | 0.6 | A1 | 1.85 | 
| W | 2.15 | A2 | 1.1 | 
| H | 0.5 (dp 1) and 0.8 (sp 2) | h | 1 | 
| Parameter | Value (mm) | Parameter | Value (mm) | 
|---|---|---|---|
| r | H + 0.15 | rn | 0.25 | 
| t | 0.5 | n | 0.6 | 
| s | 1 | wb | 0.6 | 
| l | 0.6 | wt | 0.62 | 
| Publisher’s Note: MDPI stays neutral with regard to jurisdictional claims in published maps and institutional affiliations. | 
© 2022 by the authors. Licensee MDPI, Basel, Switzerland. This article is an open access article distributed under the terms and conditions of the Creative Commons Attribution (CC BY) license (https://creativecommons.org/licenses/by/4.0/).
Share and Cite
Tamayo-Dominguez, A.; Fernández-González, J.-M.; Quevedo-Teruel, O. Mechanically Reconfigurable Waveguide Filter Based on Glide Symmetry at Millimetre-Wave Bands. Sensors 2022, 22, 1001. https://doi.org/10.3390/s22031001
Tamayo-Dominguez A, Fernández-González J-M, Quevedo-Teruel O. Mechanically Reconfigurable Waveguide Filter Based on Glide Symmetry at Millimetre-Wave Bands. Sensors. 2022; 22(3):1001. https://doi.org/10.3390/s22031001
Chicago/Turabian StyleTamayo-Dominguez, Adrian, José-Manuel Fernández-González, and Oscar Quevedo-Teruel. 2022. "Mechanically Reconfigurable Waveguide Filter Based on Glide Symmetry at Millimetre-Wave Bands" Sensors 22, no. 3: 1001. https://doi.org/10.3390/s22031001
APA StyleTamayo-Dominguez, A., Fernández-González, J.-M., & Quevedo-Teruel, O. (2022). Mechanically Reconfigurable Waveguide Filter Based on Glide Symmetry at Millimetre-Wave Bands. Sensors, 22(3), 1001. https://doi.org/10.3390/s22031001
 
         
                                                


 
       