Coalitional Distributed Model Predictive Control Strategy for Vehicle Platooning Applications
Abstract
:1. Introduction
- A novel C-DMPC methodology, suitable for a state-coupled vehicle platooning application is developed.
- The control performances of the algorithm were analysed for simulation tests using a realistic vehicle platoon model from the literature.
- Both the robustness of the algorithm and the string stability of the platoon were investigated.
2. Problem Formulation
3. Computation of the Maximal Robust Positively Invariant Set
- For the proposed coalitional framework, in the case of communication network failure, the information exchange between neighbouring agents stops. To ensure the feasibility of the control architecture, the invariant sets are tailored for the nominal model (in which the uncertainty is zero);
| Algorithm 1 |
| For |
| For |
| 1. Compute the inequality constraints:
|
| 2. Compute the robust positively invariant set:
|
| 3. Save the information , , |
| end |
| end |
- Compute the closed loop system matrix using the sub-systems model matrices A, B, and control feedback gain K;
- Re-write the input inequality constraints from Algorithm 1, step 1, i.e., described in matrix form using matrix and vector with adequate dimensions, in the state variable x using ;
- Aggregate state and input constraints from step 2 in a single polytope;
- Compute the uncertainty polytope using the uncertainty constraints from Algorithm 1, step 1;
- Iteratively, check the invariance order by executing the following:
- (a)
- Subtract the uncertainty polytope from the aggregated polytope from step 3;
- (b)
- Compute the polytope that, from the previous iteration, using the dynamics of the control loop, arrived in the current region (i.e., defined as step 5(a));
- (c)
- Intersect the two polytopes obtained at steps 5(a) and 5(b);
- (d)
- Compare the result of the polytopes intersection—from step 5(c) with the aggregated constraint polytope from step 3;
- (e)
- If the invariant set has changedthen: Update the constraint polytope (with the value computed from step 5(c)) and continue the iterations;else: Save the invariant set and end the iterations.
4. Coalitional Distributed Model Predictive Control (C-DMPC) Algorithm
- At each sampling time, each agent solves a default robust min-max non-cooperative DMPC problem with state-uncertainty. If the local solution is infeasible, due to the uncertainty value received from its neighbour, then the coalition procedure between the agents is activated ad hoc without a supervisor level.
- Inside a coalition , the local models of each involved sub-systems are merged, obtaining the following coalition model (written for simplicity without sub-script indices):where , , are the aggregated state, input and uncertainty vectors of the coalition (e.g., ). Moreover, the matrices , , and are computed according to the aggregation. The set contains the neighbouring agent for neighbour, i.e., the predecessor sub-system for the sub-systems included in the coalition. For example, a coalition between agents and remains state-coupled with , which is outside the coalition and sends information to . It follows that, the constraint sets for a given coalition are obtained as the union of the constraints sets (2) corresponding to each agent , :where , and are the state, input and uncertainty constraints polytopes for coalition , respectively.
- A coalition once formed is active only for a single sampling period and can gradually increase its size. Hence, the feasibility for the coalition optimization problem is verified. If the solution is infeasible, this means that the received uncertainty value is too large, and an agent from the neighbourhood must be incorporated in the coalition, to decrease the uncertainty value. For example, if the coalition between and has an infeasible solution, then, in the same sampling time, agent is included in the existing coalition. Afterwards, the optimal solutions are re-calculated, for both the coalition and the agents outside the coalition, and the feasibility is re-evaluated. Following this reasoning, in the extreme case, all the agents from the network can be gradually included in a single coalition. This represents the particular case of a centralized optimization problem. Inside a coalition , the following optimization problem is minimized:where, the weight matrices and are block diagonal; is the aggregated terminal set; is the aggregated vector containing the corresponding initial state values; , , are the aggregated maximum limits for the state, input and the uncertainty sequences, respectively; , are the aggregated minimum limits for the state and input sequences, respectively; , and are the aggregated input, uncertainty and state trajectories of the coalition ; the optimization variable is the aggregated self-imposed limit for the aggregated state sequence.
- Between neighbouring agents, only the self-imposed optimization variable from (3) is shared. In this manner, although the sub-systems are state-coupled, the coupling signals are considered as local uncertainties, and a robust optimization problem is defined using the shared information as the uncertainty limit. With this value received from the neighbour, each local agent searches for a robust positively invariant set in the predefined table, computed in the initialization phase of the algorithm (see Section 2). If there is no pre-computed terminal region which can include the received uncertainty, then the local optimization problem becomes infeasible and the coalition procedure is started.
| Algorithm 2 |
| Initialization: For each agent , , compute a table , with potential terminal sets . |
| At each sampling time k, each agent , , receives the local state value and performs the following steps: |
| 1. Computes the uncertainty polytope using default limit values for the state-uncertainty constraints:
|
| 2. Searches in the predefined table for a terminal set that includes the default uncertainty . |
| 3. Solves the local optimization problem (3) and obtains the optimal values , using the default values for the terminal set and the uncertainty constraint limit (). |
| 4. Broadcasts to its successor the local optimization value and receives the corresponding value from its predecessor. |
| 5. Repeats Steps 1–3 using the uncertainty constraint value received in Step 4. |
| 6. Checks the feasibility of the local optimization problem: |
| If the optimization problem from Step 5 is feasible: |
| then: Coalitions between agents are not necessary. Each local agent sends to its sub-system , the first value from the optimal trajectory ; |
| else: Coalitions between agents are necessary. The coalition model is defined as in (5), by aggregating the models of the sub-systems involved in the coalition. Moreover, the optimization problem (3) is redefined in terms of the coalition and is solved. |
| If all the optimization problems (inside and outside the coalition) are feasible: |
| then: The existing coalition was successful and can be dissolved after every sub-system receives the first value from the optimal trajectory ; |
| else: The existing coalition was not successful. Another agent must be included in the existing coalition. |
| 7. End algorithm. |
5. Simulation Results
5.1. Platooning Application Setup
- Case 1: classical state-feedback control, based on the Ackermann’s formula [36], obtaining:Please note that, this feedback gain matrix was obtained imposing identical desired closed-loop transient performance for each sub-system, namely an overshoot value of and settling time of five time units.
- Case 2: minimization of a linear-quadratic cost function, by solving a discrete-time Riccatti Equation [37]:It is worthy to mention that, these matrices were computed using the same weight matrix as in the solved optimization problem, i.e., .
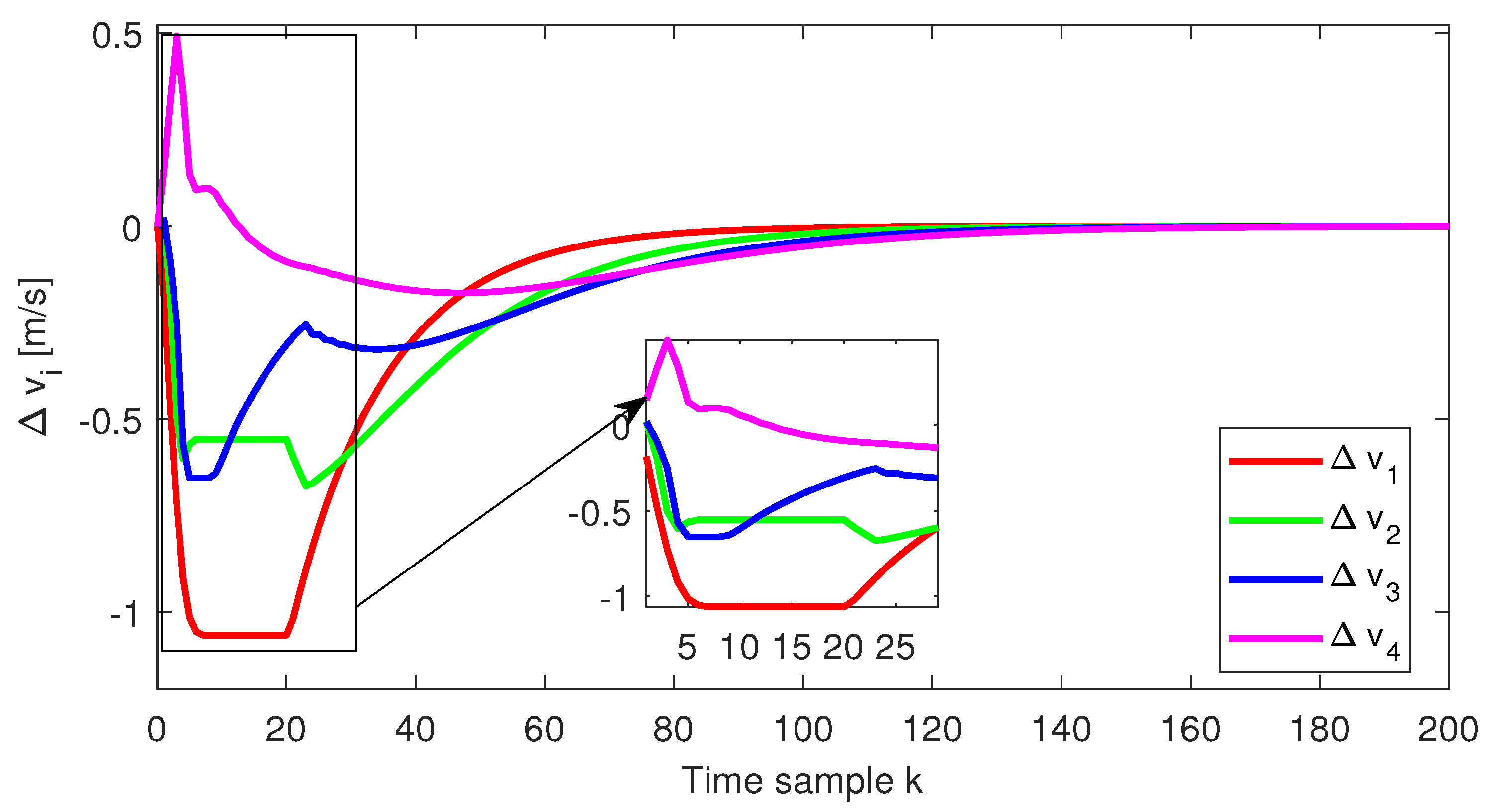
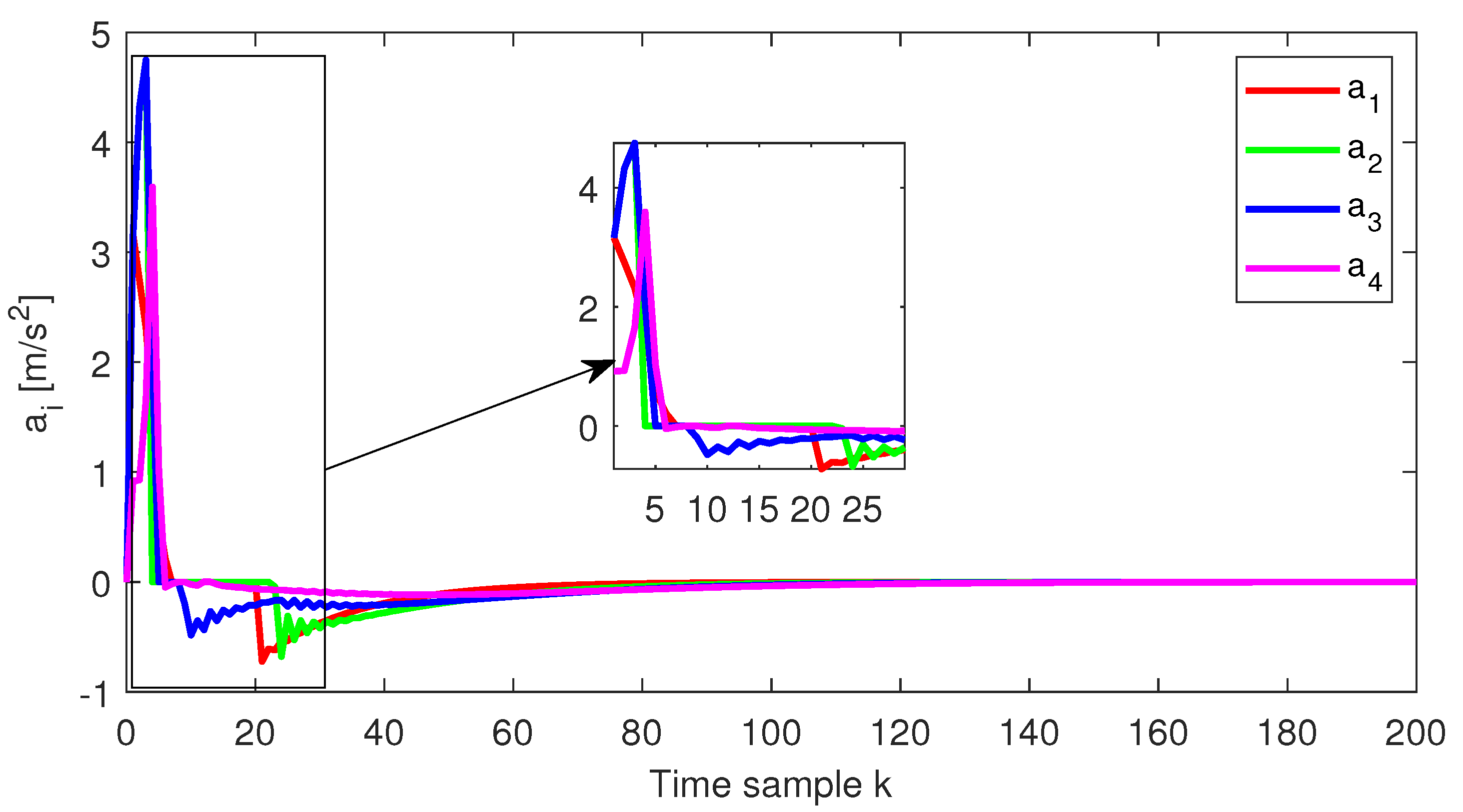
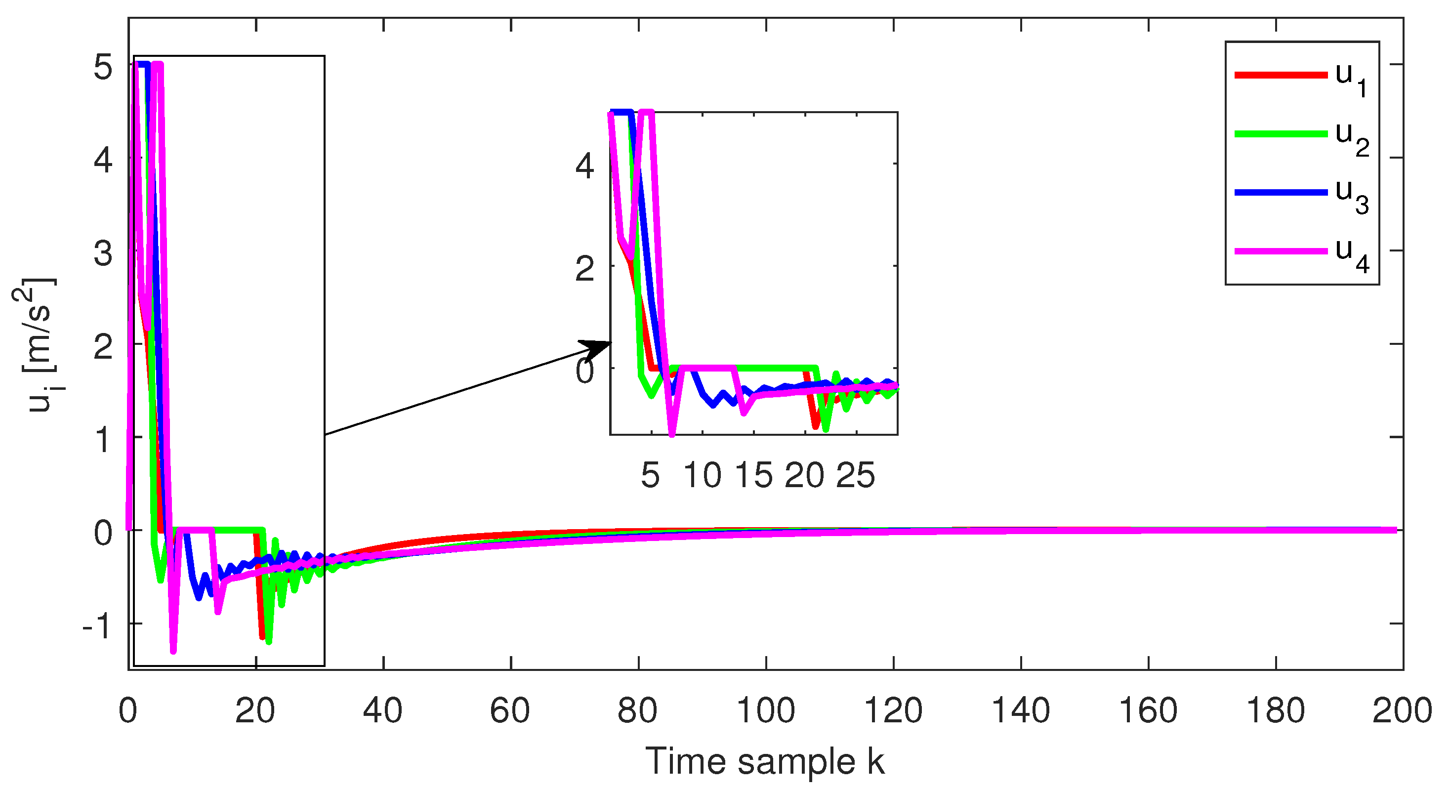
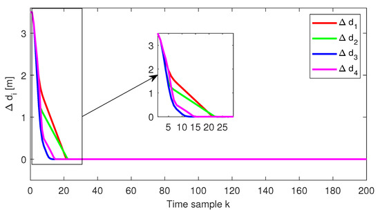
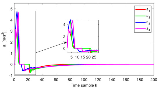
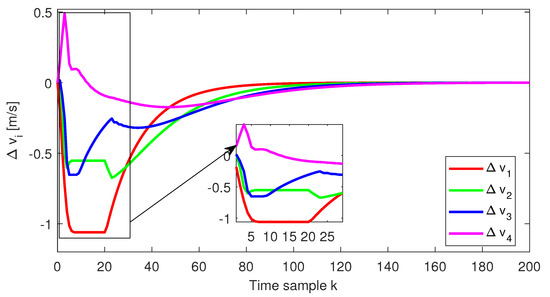
5.2. Illustrative Results
5.3. String Stability Analysis
6. Conclusions
7. Materials and Methods
Author Contributions
Funding
Institutional Review Board Statement
Informed Consent Statement
Data Availability Statement
Conflicts of Interest
Abbreviationbbreviations
| MPC | Model Predictive Control |
| DMPC | Distributed Model Predictive Control |
| C-DMPC | Coalitional Distributed Model Predictive Control |
References
- Yu, S.; Hirche, M.; Huang, Y.; Chen, H.; Allgöwer, F. Model predictive control for autonomous ground vehicles: A review. Auton. Intell. Syst. 2021, 1, 4. [Google Scholar] [CrossRef]
- Jin, L.; Cicic, M.; Johansson, K.H.; Amin, S. Analysis and Design of Vehicle Platooning Operations on Mixed-Traffic Highways. IEEE Trans. Autom. Control 2021, 66, 4715–4730. [Google Scholar] [CrossRef]
- Caruntu, C.F.; Braescu, C.; Maxim, A.; Rafaila, R.C.; Tiganasu, A. Distributed model predictive control for vehicle platooning: A brief survey. In Proceedings of the 20th International Conference on System Theory, Control and Computing, Sinaia, Romania, 13–15 October 2016; pp. 644–650. [Google Scholar]
- Wang, Z.; Wu, G.; Barth, M.J. A Review on Cooperative Adaptive Cruise Control (CACC) Systems: Architectures, Controls, and Applications. In Proceedings of the 21st International Conference on Intelligent Transportation Systems, Maui, HI, USA, 4–7 November 2018; pp. 2884–2891. [Google Scholar]
- Fakhfakh, F.; Tounsi, M.; Mosbah, M. Vehicle Platooning Systems: Review, Classification and Validation Strategies. Int. J. Netw. Distrib. Comput. 2020, 8, 203–213. [Google Scholar] [CrossRef]
- Wang, J.; Zheng, H.; Guo, J.; Fan, J.; Li, K. Distributed adaptive robust H-infinity control of intelligent-connected electric vehicles platooning subject to communication delay. IET Intel. Transp. Syst. 2021, 15, 699–711. [Google Scholar] [CrossRef]
- Xiong, X.; Sha, J.; Jin, L. Optimizing coordinated vehicle platooning: An analytical approach based on stochastic dynamic programming. Transp. Res. Part B—Methodol. 2021, 150, 482–502. [Google Scholar] [CrossRef]
- Sun, X.; Yin, Y. Decentralized game-theoretical approaches for behaviorally-stable and efficient vehicle platooning. Transp. Res. Part B—Methodol. 2021, 153, 45–69. [Google Scholar] [CrossRef]
- Dolk, V.S.; Ploeg, J.; Heemels, W.P.M.H. Event-Triggered Control for String-Stable Vehicle Platooning. IEEE Trans. Intell. Transp. Syst. 2017, 8, 3486–3500. [Google Scholar] [CrossRef] [Green Version]
- Talpi, T.; Kiran, U. A Modified Distributed Model Predictive Control Approach for Handling Vehicular Platoon Communication Problems. In Proceedings of the IEEE 23rd International Conference on Intelligent Transportation Systems, Rhodes, Greece, 20–23 September 2020; pp. 1–6. [Google Scholar]
- Lan, J.; Zhao, D. Min-Max Model Predictive Vehicle Platooning with Communication Delay. IEEE Trans. Veh. Technol. 2020, 69, 12570–12584. [Google Scholar] [CrossRef]
- Liu, P.; Ozguner, U.; Zhang, Y. Distributed MPC for cooperative highway driving and energy-economy validation via microscopic simulations. Transp. Res. Part C Emerg. Technol. 2017, 77, 80–95. [Google Scholar] [CrossRef]
- Wang, P.; Deng, H.; Zhang, J.; Wang, L.; Zhang, M.; Li, Y. Model Predictive Control for Connected Vehicle Platoon Under Switching Communication Topology. IEEE Trans. Intell. Transp. Syst. 2021, 1–14. [Google Scholar] [CrossRef]
- Scattolini, R. Architectures for distributed and hierarchical Model Predictive Control—A review. J. Process Control 2009, 19, 723–731. [Google Scholar] [CrossRef]
- Christofides, P.D.; Scattolini, R.; Muñoz de la Peña, D.; Liu, J. Distributed model predictive control: A tutorial review and future research directions. Comput. Chem. Eng. 2013, 51, 21–41. [Google Scholar] [CrossRef]
- Fele, F.; Maestre, J.M.; Camacho, E.F. Coalitional control: Cooperative game theory and control. IEEE Control Syst. 2017, 37, 53–69. [Google Scholar] [CrossRef]
- Chanfreut, P.; Maestre, J.M.; Muros, F.J.; Camacho, E.F. A Coalitional Control Scheme with Topology-Switchings Convexity Guarantees. In Proceedings of the 58th Conference on Decision and Control, Nice, France, 11–13 December 2019; pp. 1096–1101. [Google Scholar]
- Maxim, A.; Caruntu, C.F. A Coalitional Distributed Model Predictive Control Perspective for a Cyber-Physical Multi-Agent Application. Sensors 2021, 21, 4041. [Google Scholar] [CrossRef] [PubMed]
- Maxim, A.; Maestre, J.M.; Caruntu, C.F.; Lazar, C. Robust coalitional distributed model predictive control algorithm with stability via terminal constraint. In Proceedings of the IEEE Conference on Control Technology and Applications, Copenhagen, Denmark, 21–24 August 2018; pp. 964–969. [Google Scholar]
- Camacho, E.F.; Bordons, C. Model Predictive Control; Springer: Berlin, Germany, 1999. [Google Scholar]
- Maciejowscki, J.M. Predictive Control with Constraints; Prentice-Hall, Pearson Education Limited: Harlow, UK, 2002. [Google Scholar]
- Cannon, M.; Deshmukh, V.; Kouvaritakis, B. Nonlinear model predictive control with polytopic invariant sets. Automatica 2003, 39, 1487–1494. [Google Scholar] [CrossRef]
- Mayne, D.Q. Control of Constrained Dynamic Systems. Eur. J. Control 2001, 7, 87–99. [Google Scholar] [CrossRef]
- Limon, D.; Alamo, T.; Salas, F.; Camacho, E.F. Input to state stability of min–max MPC controllers for nonlinear systems with bounded uncertainties. Automatica 2006, 42, 797–803. [Google Scholar] [CrossRef] [Green Version]
- Mayne, D.Q.; Seron, M.M.; Raković, S.V. Robust model predictive control of constraint linear systems with bounded disturbances. Automatica 2005, 41, 219–224. [Google Scholar] [CrossRef]
- Decardi-Nelson, B.; Liu, J. Computing robust control invariant sets of constrained nonlinear systems: A graph algorithm approach. Comput. Chem. Eng. 2021, 145, 107177. [Google Scholar] [CrossRef]
- Gupta, A.; Köroǧlu, H.; Falcone, P. Computation of robust control invariant sets with predefined complexity for uncertain systems. Int. J. Robust Nonlinear Control 2021, 31, 1674–1688. [Google Scholar] [CrossRef]
- Xue, B.; Wang, Q.; Zhan, N.; Fränzle, M. Robust invariant sets generation for state-constrained perturbed polynomial systems. In Proceedings of the 22nd ACM International Conference on Hybrid Systems: Computation and Control, Montreal, QC, Canada, 16–18 April 2019; pp. 128–137. [Google Scholar]
- Rungger, M.; Tabuada, P. Computing Robust Controlled Invariant Sets of Linear Systems. IEEE Trans. Autom. Control 2017, 62, 3665–3670. [Google Scholar] [CrossRef]
- Esterhuizen, W.; Aschenbruck, T.; Streif, S. On maximal robust positively invariant sets in constrained nonlinear systems. Automatica 2020, 119, 109044. [Google Scholar] [CrossRef]
- Aschenbruck, T.; Esterhuizen, W.; Streif, S. Transient stability analysis of power grids with admissible and maximal robust positively invariant sets. at—Automatisierungstechnik 2020, 68, 1011–1021. [Google Scholar] [CrossRef]
- Schulze Darup, M.; Schaich, R.M.; Cannon, M. How scaling of the disturbance set affects robust positively invariant sets for linear systems. Int. J. Robust Nonlinear Control 2016, 27, 3236–3258. [Google Scholar] [CrossRef] [Green Version]
- Ren, Y.; Er, M.J.; Sun, G. Switched systems with average dwell time: Computation of the robust positive invariant set. Automatica 2017, 85, 306–313. [Google Scholar] [CrossRef]
- Dunbar, W.B.; Caveney, D.S. Distributed receding horizon control of vehicle platoons: Stability and string stability. IEEE Trans. Autom. Control 2012, 57, 620–633. [Google Scholar] [CrossRef]
- Pauca, O.; Maxim, A.; Caruntu, C.F. Control Architecture for Cooperative Autonomous Vehicles Driving in Platoons at Highway Speeds. IEEE Access 2021, 9, 153472–153490. [Google Scholar] [CrossRef]
- Ogata, K. Modern Engineering Control, 5th ed.; Prentice Hall: Upper Saddle River, NJ, USA, 2010. [Google Scholar]
- Kwakernaak, H.; Sivan, R. Linear Optimal Control Systems; John Wiley & Sons, Inc.: New York, NY, USA, 1972. [Google Scholar]
- Maestre, J.M.; Muñoz de la Peña, D.; Camacho, E.F.; Alamo, T. Distributed model predictive control based on agent negotiation. J. Process Control 2011, 21, 685–697. [Google Scholar] [CrossRef]
- Chanfreut, P.; Keijzer, T.; Ferrari, R.M.; Maestre, J.M. A Topology-Switching Coalitional Control and Observation Scheme with Stability Guarantees. IFAC PapersOnLine 2020, 53, 6477–6482. [Google Scholar] [CrossRef]
- Zhu, Y.; He, H.; Zhao, D. LMI-Based Synthesis of String-Stable Controller for Cooperative Adaptive Cruise Control. IEEE Trans. Intell. Transp. Syst. 2021, 21, 4516–4525. [Google Scholar] [CrossRef]
- Löfberg, J. YALMIP: A Toolbox for Modeling and Optimization in MATLAB. In Proceedings of the IEEE International Symposium on Computer Aided Control Systems Design, New Orleans, LA, USA, 2–4 September 2004; pp. 284–289. [Google Scholar]













| Test | ||||
|---|---|---|---|---|
| Test | Sim Time (s) | |||||
|---|---|---|---|---|---|---|
| 0.0357 | 0.0371 | 0.0354 | 0.0367 | 0.1449 | 2.7925 | |
| 0.0476 | 0.0496 | 0.0484 | 0.0493 | 0.1950 | 2.7627 | |
| 0.0620 | 0.0635 | 0.0635 | 0.0671 | 0.2561 | 3.1780 | |
| 0.0869 | 0.0900 | 0.0914 | 0.0948 | 0.3631 | 3.2602 | |
| 0.0476 | 0.0375 | 0.0241 | 0.0132 | 0.1224 | 3.3953 | |
| 0.0476 | 0.0496 | 0.0249 | 0.0245 | 0.1467 | 2.8173 | |
| 0.0745 | 0.0623 | 0.0528 | 0.0444 | 0.2340 | 3.0752 | |
| 0.0834 | 0.0747 | 0.0620 | 0.0340 | 0.2540 | 3.1732 |
| Coalition | Agent 1 | Agent 2 | Agent 3 | Agent 4 |
|---|---|---|---|---|
| - | - | - | - | |
| - | - | |||
| - | ||||
| - | - | |||
| - | ||||
| Test | ||
|---|---|---|
| 1.0000 | 1.0000 | |
| 1.0000 | 1.0000 | |
| 1.0000 | 1.0000 | |
| 1.0000 | 1.0000 | |
| 0.6667 | 0.5000 | |
| 0.5000 | 1.0000 | |
| 0.8000 | 0.7500 | |
| 0.8333 | 0.4000 |
Publisher’s Note: MDPI stays neutral with regard to jurisdictional claims in published maps and institutional affiliations. |
© 2022 by the authors. Licensee MDPI, Basel, Switzerland. This article is an open access article distributed under the terms and conditions of the Creative Commons Attribution (CC BY) license (https://creativecommons.org/licenses/by/4.0/).
Share and Cite
Maxim, A.; Caruntu, C.-F. Coalitional Distributed Model Predictive Control Strategy for Vehicle Platooning Applications. Sensors 2022, 22, 997. https://doi.org/10.3390/s22030997
Maxim A, Caruntu C-F. Coalitional Distributed Model Predictive Control Strategy for Vehicle Platooning Applications. Sensors. 2022; 22(3):997. https://doi.org/10.3390/s22030997
Chicago/Turabian StyleMaxim, Anca, and Constantin-Florin Caruntu. 2022. "Coalitional Distributed Model Predictive Control Strategy for Vehicle Platooning Applications" Sensors 22, no. 3: 997. https://doi.org/10.3390/s22030997
APA StyleMaxim, A., & Caruntu, C.-F. (2022). Coalitional Distributed Model Predictive Control Strategy for Vehicle Platooning Applications. Sensors, 22(3), 997. https://doi.org/10.3390/s22030997
