Validity of a Smartphone Application in Calculating Measures of Heart Rate Variability
Abstract
1. Introduction
2. Materials and Methods
2.1. Participants
2.2. Experimental Protocol
2.3. Procedures
2.3.1. Anthropometric Data Collection
2.3.2. R–R Data Collection
2.3.3. HRV Processing
2.4. Statistical Analyses
3. Results
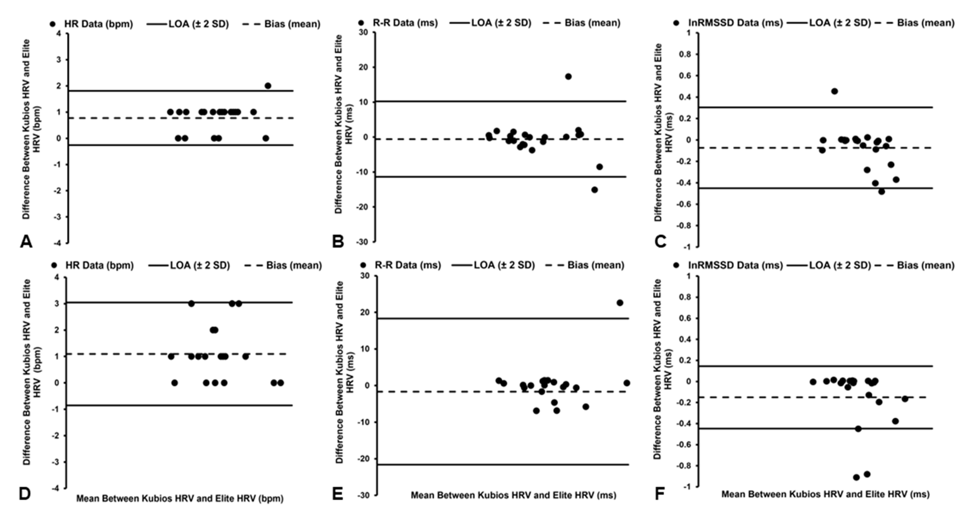
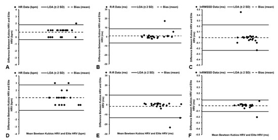
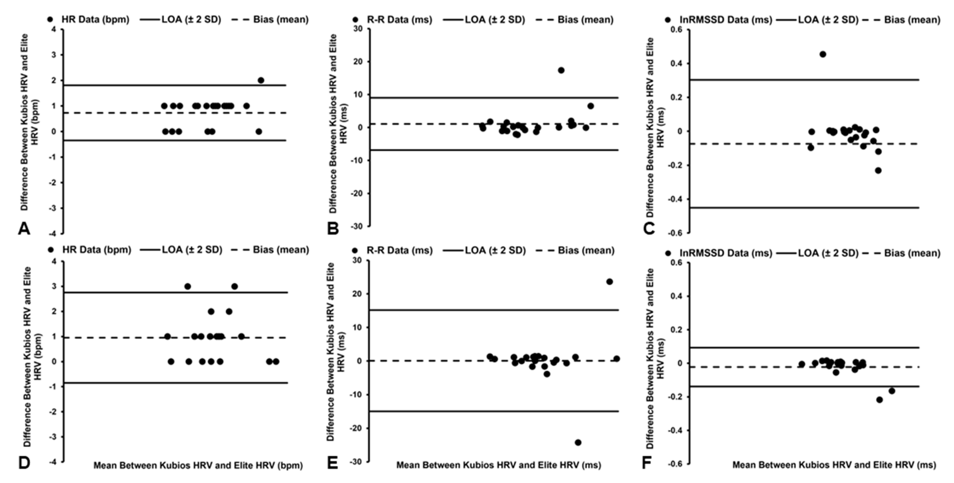
3.1. Supine–No Correction
3.1.1. HR Data
3.1.2. R–R Interval Data
3.1.3. lnRMSSD Data
3.2. Seated–No Correction
3.2.1. HR Data
3.2.2. R–R Interval Data
3.2.3. lnRMSSD Data
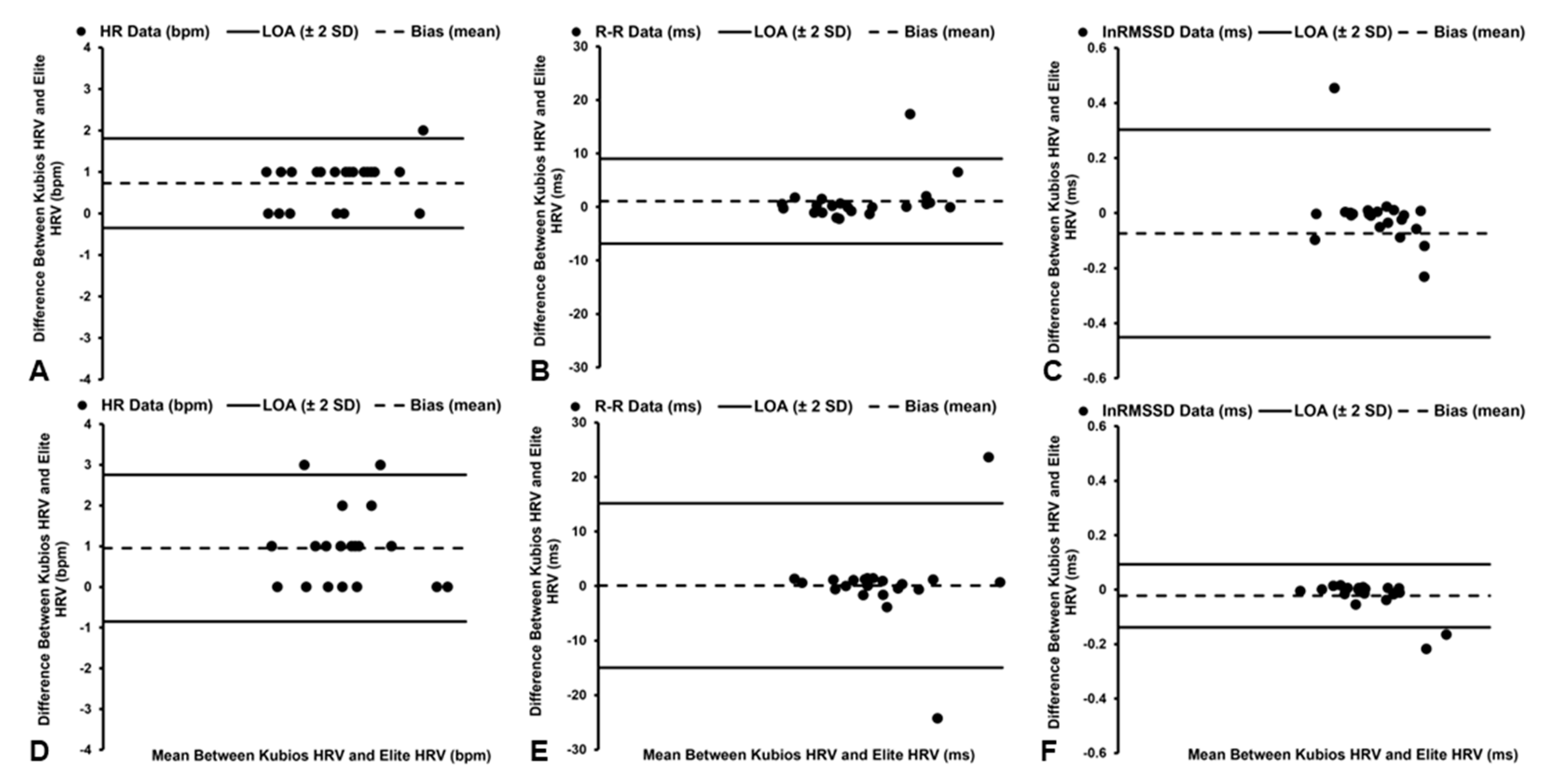
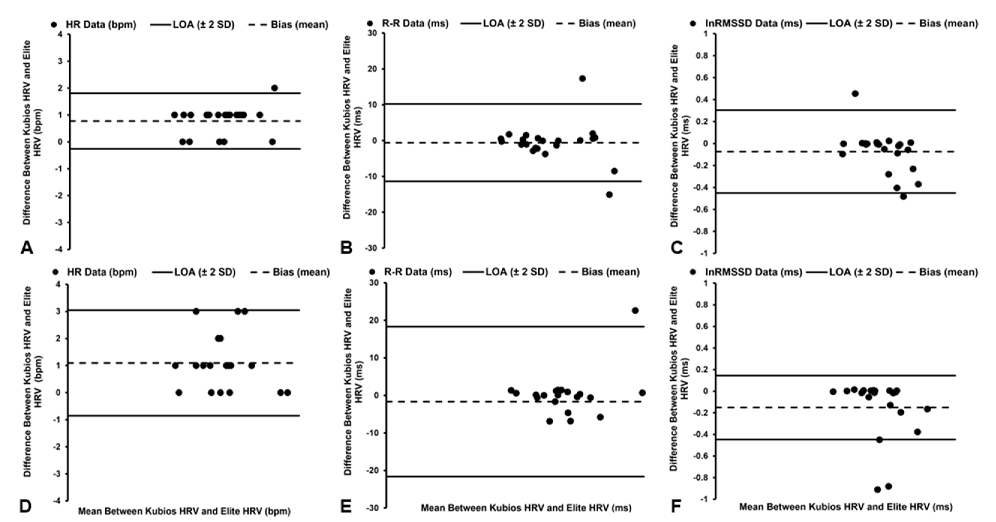
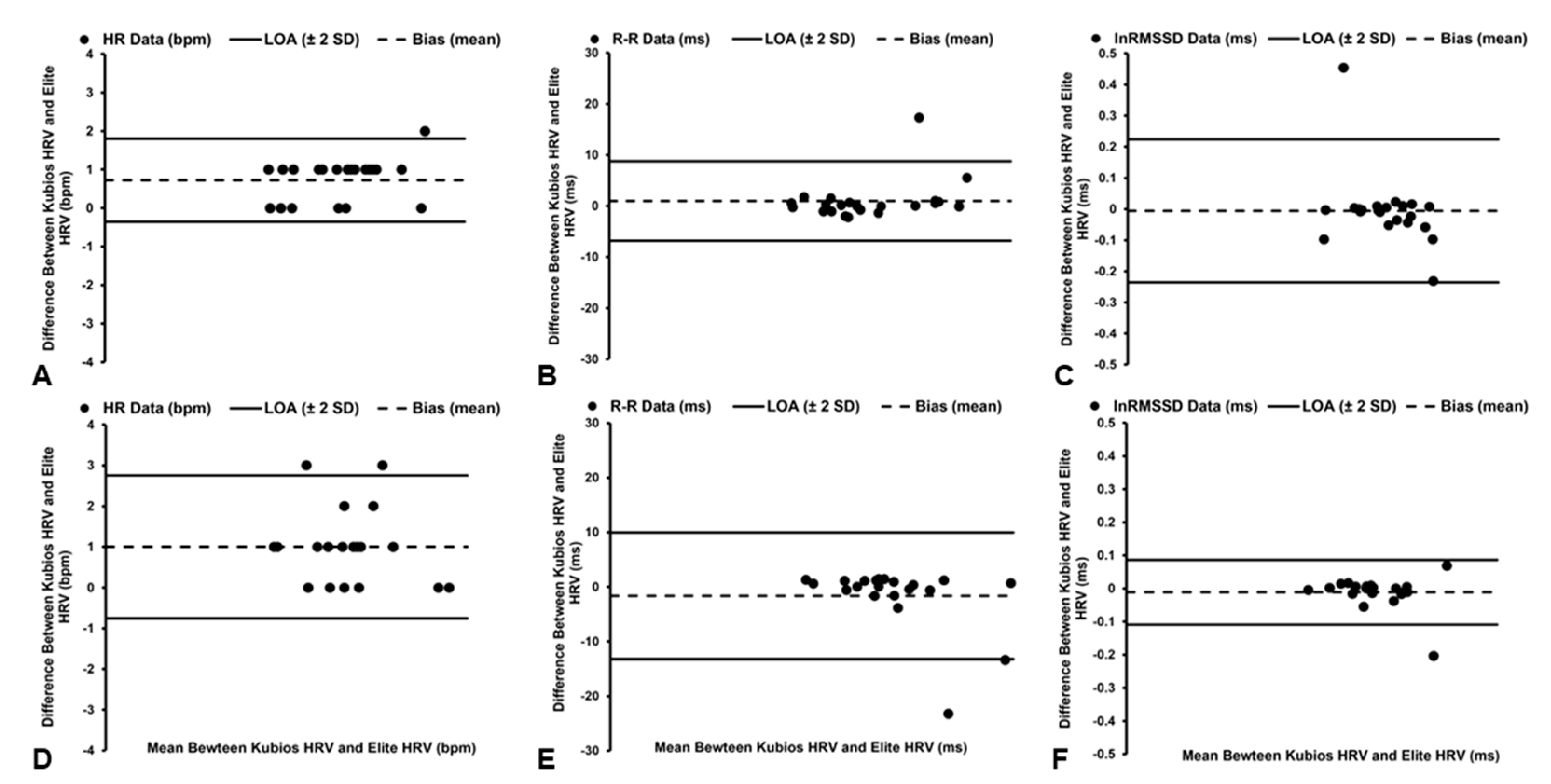
3.3. Supine–Very Low Correction Level
3.3.1. HR Data
3.3.2. R–R Interval Data
3.3.3. lnRMSSD Data
3.4. Seated—Very Low Correction Level
3.4.1. HR Data
3.4.2. R–R Interval Data
3.4.3. lnRMSSD Data
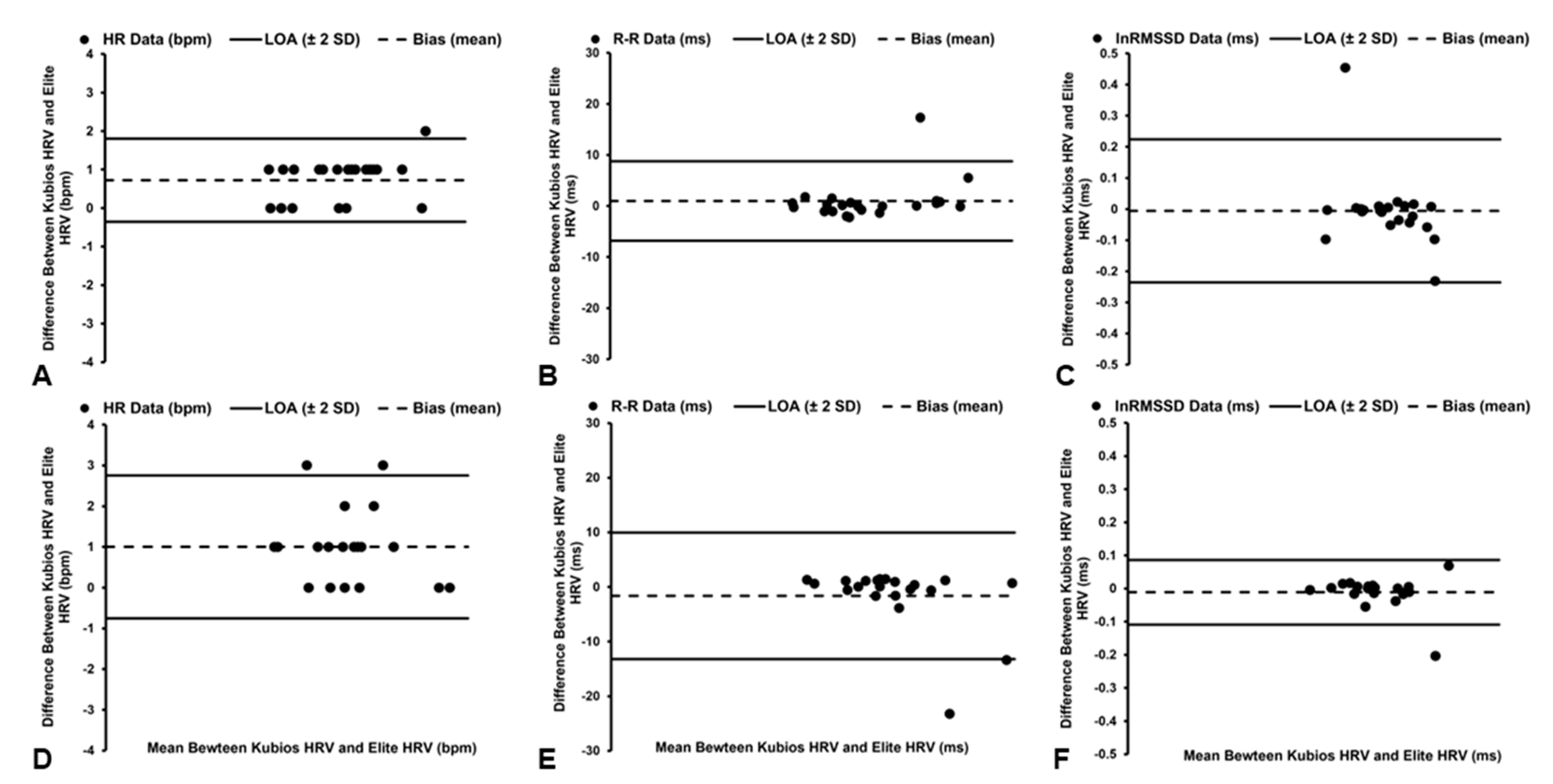
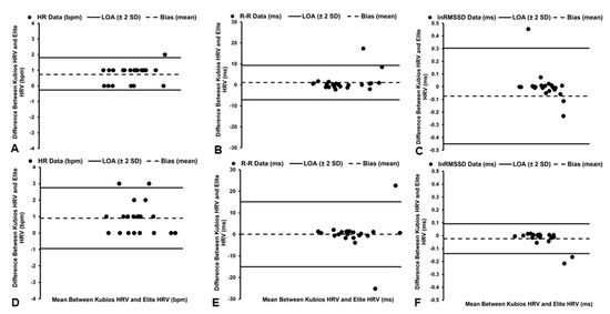
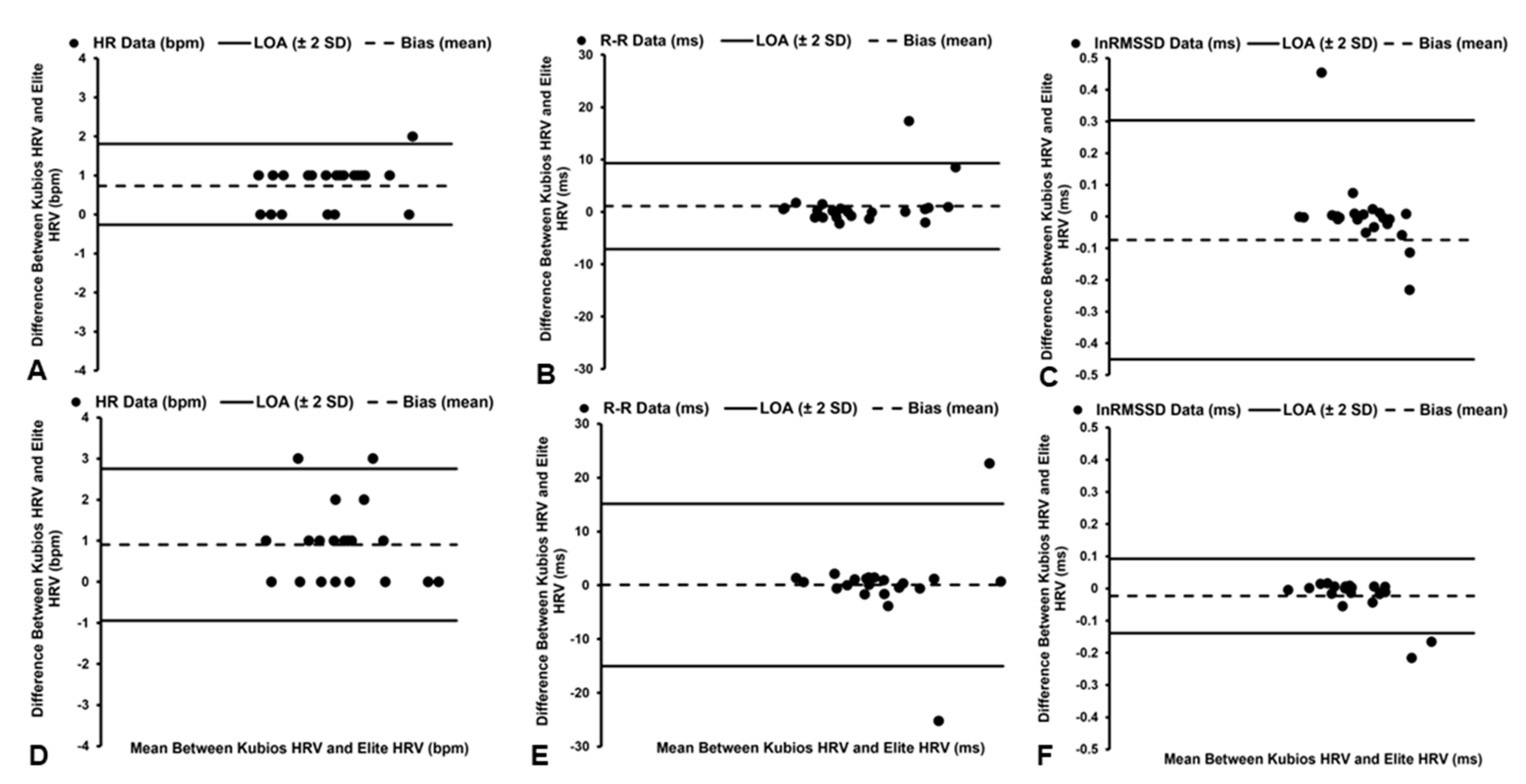
3.5. Supine—Low Correction Level
3.5.1. HR Data
3.5.2. R–R Interval Data
3.5.3. lnRMSSD Data
3.6. Seated—Low Correction Level
3.6.1. HR Data
3.6.2. R–R Interval Data
3.6.3. lnRMSSD Data
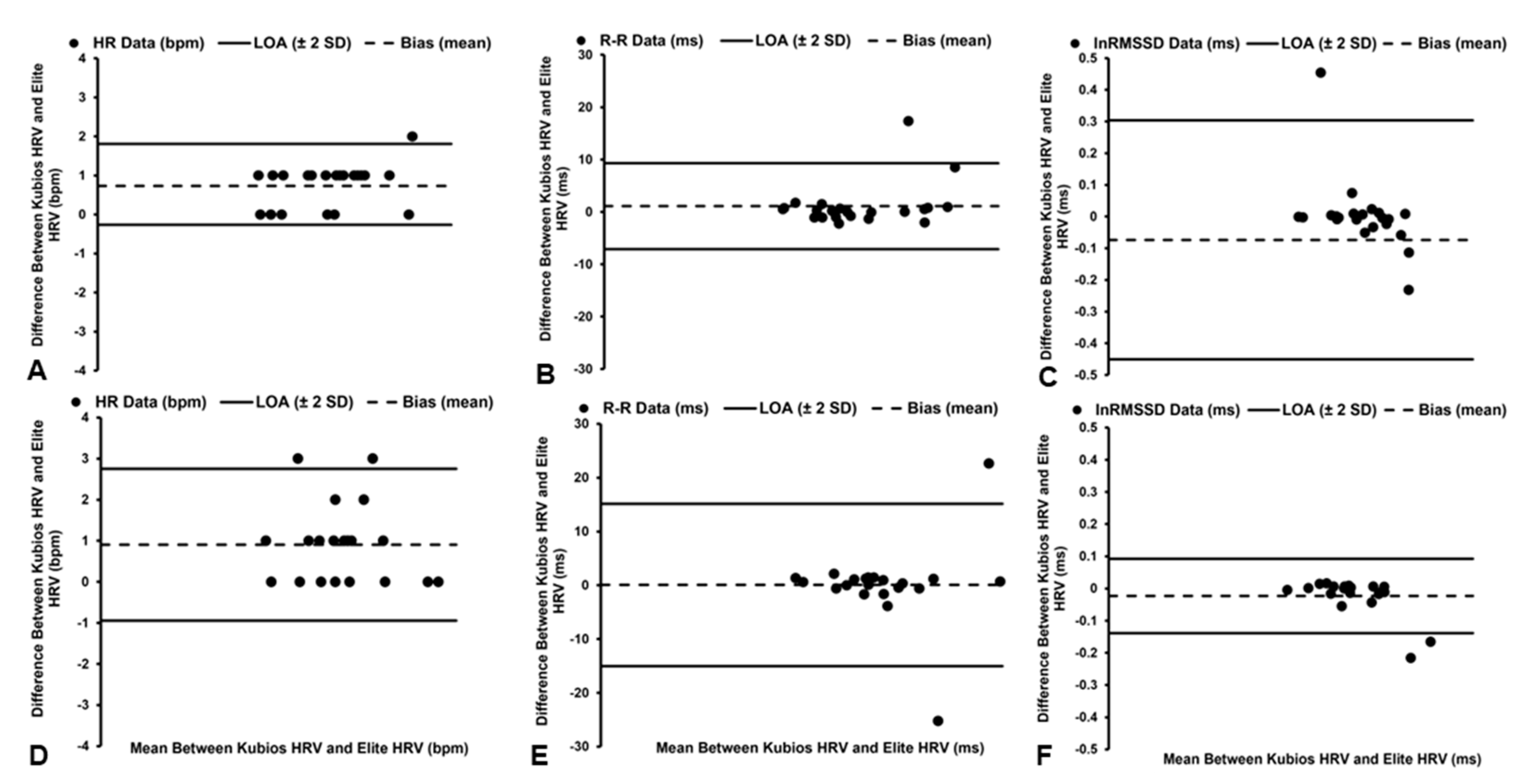
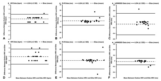
3.7. Supine—Automatic Correction
3.7.1. HR Data
3.7.2. R–R Interval Data
3.7.3. lnRMSSD Data
3.8. Seated—Automatic Correction
3.8.1. HR Data
3.8.2. R–R Interval Data
3.8.3. lnRMSSD Data
4. Discussion
5. Conclusions
Author Contributions
Funding
Institutional Review Board Statement
Informed Consent Statement
Data Availability Statement
Acknowledgments
Conflicts of Interest
References
- Shaffer, F.; Ginsberg, J.P. An overview of heart rate variability metrics and norms. Front. Public Health 2017, 5, 258. [Google Scholar] [CrossRef] [PubMed]
- Billman, G.E. Heart rate variability—A historical perspective. Front. Physiol. 2011, 2, 86. [Google Scholar] [CrossRef] [PubMed]
- Singh, N.; Moneghetti, K.J.; Christle, J.W.; Hadley, D.; Plews, D.; Froelicher, V. Heart rate variability: An old metric with new meaning in the era of using mHealth technologies for health and exercise training guidance. part one: Physiology and methods. Arrhythm. Electrophysiol. Rev. 2018, 7, 193–198. [Google Scholar] [CrossRef] [PubMed]
- Dobbs, W.C.; Fedewa, M.V.; MacDonald, H.V.; Holmes, C.J.; Cicone, Z.S.; Plews, D.J.; Esco, M.R. The accuracy of acquiring heart rate variability from portable devices: A systematic review and meta-analysis. Sports Med. 2019, 49, 417–435. [Google Scholar] [CrossRef] [PubMed]
- Young, F.L.; Leicht, A.S. Short-term stability of resting heart rate variability: Influence of position and gender. Appl. Physiol. Nutr. Metab. 2011, 36, 210–218. [Google Scholar] [CrossRef]
- Al Haddad, H.; Laursen, P.B.; Chollet, D.; Ahmaidi, S.; Buchheit, M. Reliability of resting and postexercise heart rate measures. Int. J. Sports Med. 2011, 32, 598–605. [Google Scholar] [CrossRef]
- Kuss, O.; Schumann, B.; Kluttig, A.; Greiser, K.H.; Haerting, J. Time domain parameters can be estimated with less statistical error than frequency domain parameters in the analysis of heart rate variability. J. Electrocardiol. 2008, 41, 287–291. [Google Scholar] [CrossRef]
- Penttilä, J.; Helminen, A.; Jartti, T.; Kuusela, T.; Huikuri, H.V.; Tulppo, M.P.; Coffeng, R.; Scheinin, H. Time domain, geometrical and frequency domain analysis of cardiac vagal outflow: Effects of various respiratory patterns. Clin. Physiol. 2001, 21, 365–376. [Google Scholar] [CrossRef]
- Singh, N.; Moneghetti, K.J.; Christle, J.W.; Hadley, D.; Froelicher, V.; Plews, D. Heart rate variability: An old metric with new meaning in the era of using mHealth technologies for health and exercise training guidance. part two: Prognosis and training. Arrhythm. Electrophysiol. Rev. 2018, 7, 247–255. [Google Scholar] [CrossRef]
- Plews, D.J.; Laursen, P.B.; Stanley, J.; Kilding, A.E.; Buchheit, M. Training adaptation and heart rate variability in elite endurance athletes: Opening the door to effective monitoring. Sports Med. 2013, 43, 773–781. [Google Scholar] [CrossRef]
- Plews, D.J.; Laursen, P.B.; Kilding, A.E.; Buchheit, M. Heart rate variability in elite triathletes, is variation in variability the key to effective training? A case comparison. Eur. J. Appl. Physiol. 2012, 112, 3729–3741. [Google Scholar] [CrossRef] [PubMed]
- Cornell, D.J.; Paxson, J.L.; Caplinger, R.A.; Seligman, J.R.; Davis, N.A.; Ebersole, K.T. Resting heart rate variability among professional baseball starting pitchers. J. Strength Cond. Res. 2017, 31, 575–581. [Google Scholar] [CrossRef] [PubMed]
- Flatt, A.A.; Esco, M.R.; Allen, J.R.; Robinson, J.B.; Bragg, A.; Keith, C.M.; Fedewa, M.V.; Earley, R.L. Cardiac-autonomic responses to in-season training among Division-1 college football players. J. Strength Cond. Res. 2020, 34, 1649–1656. [Google Scholar] [CrossRef] [PubMed]
- Flatt, A.A.; Esco, M.R.; Nakamura, F.Y. Individual heart rate variability responses to preseason training in high level female soccer players. J. Strength Cond. Res. 2017, 31, 531–538. [Google Scholar] [CrossRef]
- Routledge, F.S.; Campbell, T.S.; McFetridge-Durdle, J.A.; Bacon, S.L. Improvements in heart rate variability with exercise therapy. Can. J. Cardiol. 2010, 26, 303–312. [Google Scholar] [CrossRef]
- Flatt, A.A.; Esco, M.R. Validity of the ithlete smart phone application for determining ultra-short-term heart rate variability. J. Hum. Kinet. 2013, 39, 85–92. [Google Scholar] [CrossRef]
- Perrotta, A.S.; Jeklin, A.T.; Hives, B.A.; Meanwell, L.E.; Warburton, D.E.R. Validity of the Elite HRV smartphone application for examining heart rate variability in a field-based setting. J. Strength Cond. Res. 2017, 31, 2296–2302. [Google Scholar] [CrossRef]
- Gambassi, B.B.; Neves, V.R.; Brito, E.Z.A.; da Silva Fernandes, D.S.; Sa, C.A.; da Rocha Nogueira, R.M.; de Jesus Furtado Almeida, F.; de Araujo Cavalcanti, P.A.; Gomes Goncalves, E.S.D.C.; Neto, D.S.; et al. A validation study of a smartphone application for heart rate variability assessment in asymptomatic adults. Am. J. Cardiovasc. Dis. 2020, 10, 219–229. [Google Scholar]
- Guzik, P.; Piekos, C.; Pierog, O.; Fenech, N.; Krauze, T.; Piskorski, J.; Wykretowicz, A. Classic electrocardiogram-based and mobile technology derived approaches to heart rate variability are not equivalent. Int. J. Cardiol. 2018, 258, 154–156. [Google Scholar] [CrossRef]
- Moya-Ramon, M.; Mateo-March, M.; Pena-Gonzalez, I.; Zabala, M.; Javaloyes, A. Validity and reliability of different smartphones applications to measure HRV during short and ultra-short measurements in elite athletes. Comput. Methods Programs Biomed. 2022, 217, 106696. [Google Scholar] [CrossRef]
- Cornell, D.J.; Amico, S.L.; Sherriff, T.J.; Himariotis, A.T.; Ha, K.; Noel, S.E. Validity of a finger sensor device and smartphone application to collect heart rate variability data. Med. Sci. Sports Exerc. 2021, 53, 70. [Google Scholar] [CrossRef]
- Flatt, A.A.; Esco, M.R. Evaluating individual training adaptation with smartphone-derived heart rate variability in a collegiate female soccer team. J. Strength Cond. Res. 2016, 30, 378–385. [Google Scholar] [CrossRef] [PubMed]
- Tarvainen, M.P.; Niskanen, J.P.; Lipponen, J.A.; Ranta-Aho, P.O.; Karjalainen, P.A. Kubios HRV--heart rate variability analysis software. Comput. Methods Programs Biomed. 2014, 113, 210–220. [Google Scholar] [CrossRef] [PubMed]
- Gisselman, A.S.; D’Amico, M.; Smoliga, J.M. Optimizing intersession reliability of heart rate variability—The effects of artifact correction and breathing type. J. Strength Cond. Res. 2020, 34, 3199–3207. [Google Scholar] [CrossRef] [PubMed]
- de Vries, H.; Kamphuis, W.; Oldenhuis, H.; van der Schans, C.; Sanderman, R. Moderation of the stressor-strain process in interns by heart rate variability measured with a wearable and smartphone app: Within-subject design using continuous monitoring. JMIR Cardio 2021, 5, e28731. [Google Scholar] [CrossRef] [PubMed]
- Liguori, G.; Feito, Y.; Fountaine, C.; Roy, B.A. Health-Related Physical Fitness Testing and Interpretation. In ACSM’s Guidelines for Exercise Testing and Prescription, 11th ed.; Lippincott Williams & Wilkins: Philadelphia, PA, USA, 2022; pp. 58–112. [Google Scholar]
- Task Force of the European Society of Cardiology the North American Society of Pacing Electrophysiology. Heart rate variability: Standards of measurement, physiological interpretation and clinical use. Circulation 1996, 93, 1043–1065. [Google Scholar] [CrossRef]
- Cohen, J.; Cohen, P.; West, S.G.; Aiken, L.S. Quantitative Scales, Curvilinear Relationships, and Transformations. In Applied Multiple Regression/Correlation Analysis for the Behavioral Sciences, 3rd ed.; Cohen, J., Cohen, P., West, S.G., Aiken, L.S., Eds.; Routledge: New York, NY, USA, 2003; pp. 193–254. [Google Scholar]
- Zaki, R.; Bulgiba, A.; Ismail, R.; Ismail, N.A. Statistical methods used to test for agreement of medical instruments measuring continuous variables in method comparison studies: A systematic review. PLoS ONE 2012, 7, e37908. [Google Scholar] [CrossRef]
- Lakens, D. Calculating and reporting effect sizes to facilitate cumulative science: A practical primer for t-tests and ANOVAs. Front. Psychol. 2013, 4, 863. [Google Scholar] [CrossRef]
- Vetter, T.R.; Schober, P. Agreement analysis: What he said, she said versus you said. Anesth. Analg. 2018, 126, 2123–2128. [Google Scholar] [CrossRef]
- Weir, J.P. Quantifying test-retest reliability using the intraclass correlation coefficient and the SEM. J. Strength Cond. Res. 2005, 19, 231–240. [Google Scholar] [CrossRef]
- Bland, J.M.; Altman, D.G. Statistical methods for assessing agreement between two methods of clinical measurement. Lancet 1986, 1, 307–310. [Google Scholar] [CrossRef] [PubMed]
- Abu-Arafeh, A.; Jordan, H.; Drummond, G. Reporting of method comparison studies: A review of advice, an assessment of current practice, and specific suggestions for future reports. Br. J. Anaesth. 2016, 117, 569–575. [Google Scholar] [CrossRef] [PubMed]
- Critchley, L.A.; Critchley, J.A. A meta-analysis of studies using bias and precision statistics to compare cardiac output measurement techniques. J. Clin. Monit. Comput. 1999, 15, 85–91. [Google Scholar] [CrossRef] [PubMed]
- Hopkins, W.G.; Marshall, S.W.; Batterham, A.M.; Hanin, J. Progressive statistics for studies in sports medicine and exercise science. Med. Sci. Sports Exerc. 2009, 41, 3–13. [Google Scholar] [CrossRef] [PubMed]
- Schober, P.; Boer, C.; Schwarte, L.A. Correlation coefficients: Appropriate use and interpretation. Anesth. Analg. 2018, 126, 1763–1768. [Google Scholar] [CrossRef] [PubMed]
- Koo, T.K.; Li, M.Y. A guideline of selecting and reporting intraclass correlation coefficients for reliability research. J. Chiropr. Med. 2016, 15, 155–163. [Google Scholar] [CrossRef] [PubMed]
- Hamilton, L.C. Resistant normality check and outlier identification. Stata Tech. Bull. 1991, 3, 15–18. [Google Scholar]
- Peart, D.J.; Balsalobre-Fernandez, C.; Shaw, M.P. Use of mobile applications to collect data in sport, health, and exercise science: A narrative review. J. Strength Cond. Res. 2019, 33, 1167–1177. [Google Scholar] [CrossRef]
- Gamelin, F.X.; Berthoin, S.; Bosquet, L. Validity of the polar S810 heart rate monitor to measure R-R intervals at rest. Med. Sci. Sports Exerc. 2006, 38, 887–893. [Google Scholar] [CrossRef]
- Montano, A.; Brown, F.; Credeur, D.P.; Williams, M.A.; Stoner, L. Telemetry-derived heart rate variability responses to a physical stressor. Clin. Physiol. Funct. Imaging 2017, 37, 421–427. [Google Scholar] [CrossRef]
- Araujo, J.A.; Pecanha, T.; Novelli, F.I.; Mello, C.S.A.; Moreira-Goncalves, D.; Arsa, G.; Cambri, L.T. Reproducibility of heart rate variability indices at post-maximal exercise. Int. J. Sports Med. 2020, 41, 512–519. [Google Scholar] [CrossRef] [PubMed]
- Ebersole, K.T.; Cornell, D.J.; Flees, R.J.; Shemelya, C.M.; Noel, S.E. Contribution of the autonomic nervous system to recovery in firefighters. J. Athl. Train. 2020, 55, 1001–1008. [Google Scholar] [CrossRef] [PubMed]





| Supine (n = 22) | |||||||
| Kubios HRV (mean ± SD) | Elite HRV (mean ± SD) | Effect Size § (Hedges’ g) | Bias (mean ± SD) | 95% LoA | PEs (%) | Agreement ‡ (ICC3,1) | |
| HR (bpm) | 64.18 ± 13.14 | 64.95 ± 13.29 † | 0.06 trivial | +0.78 ± 0.53 | −0.26, 1.81 | 1.60 | 1.000 excellent |
| R–R (ms) | 973.82 ± 203.87 | 973.24 ± 202.93 | <0.01 trivial | −0.58 ± 5.52 | −11.39, 10.23 | 1.11 | 1.000 excellent |
| lnRMSSD (ms) | 4.25 ± 0.61 | 4.17 ± 0.51 | 0.14 trivial | −0.07 ± 0.19 | −0.45, 0.30 | 8.95 | 0.970 excellent |
| Seated (n = 21) | |||||||
| Kubios HRV (mean ± SD) | Elite HRV (mean ± SD) | Effect Size § (Hedges’ g) | Bias (mean ± SD) | 95% LoA | PEs (%) | Agreement ‡ (ICC3,1) | |
| HR (bpm) | 67.48 ± 12.41 | 68.57 ± 12.30 † | 0.09 trivial | +1.10 ± 1.00 | −0.86, 3.05 | 2.87 | 0.998 excellent |
| R–R (ms) | 915.57 ± 169.19 | 913.91 ± 169.16 | 0.01 trivial | −1.66 ± 10.20 | −21.64, 18.33 | 2.18 | 0.999 excellent |
| lnRMSSD (ms) | 4.19 ± 0.61 | 4.04 ± 0.54 † | 0.26 small | −0.15 ± 0.28 | −0.70, 0.40 | 13.28 | 0.938 excellent |
| Supine (n = 22) | |||||||
| Kubios HRV (Mean ± SD) | Elite HRV (Mean ± SD) | Effect Size § (Hedges’ g) | Bias (Mean ± SD) | 95% LoA | PEs (%) | Agreement ‡ (ICC3,1) | |
| HR (bpm) | 64.23 ± 13.08 | 64.95 ± 13.29 † | 0.05 trivial | +0.73 ± 0.55 | −0.35, 1.81 | 1.67 | 1.000 excellent |
| R–R (ms) | 972.18 ± 201.47 | 973.24 ± 202.93 | 0.01 trivial | +1.06 ± 4.04 | −6.86, 8.97 | 0.81 | 1.000 excellent |
| lnRMSSD (ms) | 4.18 ± 0.56 | 4.17 ± 0.51 | 0.02 trivial | −0.01 ± 0.12 | −0.24, 0.22 | 5.59 | 0.988 excellent |
| Corrected Artifacts (no.) | 0.27 ± 0.63 | 0.41 ± 1.92 | |||||
| Seated (n = 21) | |||||||
| Kubios HRV (mean ± SD) | Elite HRV (mean ± SD) | Effect Size § (Hedges’ g) | Bias (mean ± SD) | 95% LoA | PEs (%) | Agreement ‡ (ICC3,1) | |
| HR (bpm) | 67.62 ± 12.37 | 68.57 ± 12.30 † | 0.08 trivial | +0.95 ± 0.92 | −0.85, 2.76 | 2.65 | 0.999 excellent |
| R–R (ms) | 913.81 ± 168.18 | 913.91 ± 169.16 | <0.01 trivial | +0.10 ± 7.68 | −14.95, 15.16 | 1.65 | 0.999 excellent |
| lnRMSSD (ms) | 4.06 ± 0.58 | 4.04 ± 0.54 | 0.04 trivial | −0.02 ± 0.06 | −0.14, 0.09 | 2.86 | 0.997 excellent |
| Corrected Artifacts (no.) | 0.76 ± 1.61 | 0.05 ± 0.22 | |||||
| Supine (n = 22) | |||||||
| Kubios HRV (mean ± SD) | Elite HRV (mean ± SD) | Effect Size § (Hedges’ g) | Bias (mean ± SD) | 95% LoA | PEs (%) | Agreement ‡ (ICC3,1) | |
| HR (bpm) | 64.23 ± 13.08 | 64.95 ± 13.29 † | 0.05 trivial | +0.73 ± 0.55 | −0.35, 1.81 | 1.67 | 1.000 excellent |
| R–R (ms) | 972.27 ± 201.61 | 973.24 ± 202.93 | 0.01 trivial | +0.97 ± 3.98 | −6.83, 8.76 | 0.80 | 1.000 excellent |
| lnRMSSD (ms) | 4.18 ± 0.56 | 4.17 ± 0.51 | 0.01 trivial | −0.01 ± 0.12 | −0.24, 0.22 | 5.50 | 0.988 excellent |
| Corrected Artifacts (no.) | 0.41 ± 0.80 | 0.41 ± 1.92 | |||||
| Seated (n = 21) | |||||||
| Kubios HRV (mean ± SD) | Elite HRV (mean ± SD) | Effect Size § (Hedges’ g) | Bias (mean ± SD) | 95% LoA | PEs (%) | Agreement ‡ (ICC3,1) | |
| HR (bpm) | 67.57 ± 12.45 | 68.57 ± 12.30 † | 0.08 trivial | +1.00 ± 0.89 | −0.75, 2.75 | 2.58 | 0.999 excellent |
| R–R (ms) | 915.52 ± 171.91 | 913.91 ± 169.16 | 0.01 trivial | −1.61 ± 5.91 | −13.19, 9.97 | 1.27 | 1.000 excellent |
| lnRMSSD (ms) | 4.05 ± 0.55 | 4.04 ± 0.54 | 0.02 trivial | −0.01 ± 0.05 | −0.11, 0.09 | 2.41 | 0.998 excellent |
| Corrected Artifacts (no.) | 2.62 ± 8.27 | 0.05 ± 0.22 | |||||
| Supine (n = 22) | |||||||
| Kubios HRV (mean ± SD) | Elite HRV (mean ± SD) | Effect Size § (Hedges’ g) | Bias (mean ± SD) | 95% LoA | PEs (%) | Agreement ‡ (ICC3,1) | |
| HR (bpm) | 64.23 ± 13.08 | 64.95 ± 13.29 † | 0.05 trivial | +0.73 ± 0.55 | −0.35, 1.81 | 1.67 | 1.000 excellent |
| R–R (ms) | 972.14 ± 201.54 | 973.24 ± 202.93 | 0.01 trivial | +1.10 ± 4.19 | −7.11, 9.32 | 0.84 | 1.000 excellent |
| lnRMSSD (ms) | 4.17 ± 0.57 | 4.17 ± 0.51 | <0.01 trivial | −0.002 ± 0.12 | −0.23, 0.23 | 5.49 | 0.988 excellent |
| Corrected Artifacts (no.) | 0.68 ± 1.13 | 0.41 ± 1.92 | |||||
| Seated (n = 21) | |||||||
| Kubios HRV (mean ± SD) | Elite HRV (mean ± SD) | Effect Size § (Hedges’ g) | Bias (mean ± SD) | 95% LoA | PEs (%) | Agreement ‡ (ICC3,1) | |
| HR (bpm) | 67.67 ± 12.42 | 68.57 ± 12.30 † | 0.07 trivial | +0.91 ± 0.94 | −0.94, 2.75 | 2.72 | 0.999 excellent |
| R–R (ms) | 913.86 ± 168.38 | 913.91 ± 169.16 | <0.01 trivial | +0.06 ± 7.70 | −15.04, 15.15 | 1.65 | 0.999 excellent |
| lnRMSSD (ms) | 4.06 ± 0.58 | 4.04 ± 0.54 | 0.04 trivial | −0.02 ± 0.06 | −0.14, 0.09 | 2.85 | 0.997 excellent |
| Corrected Artifacts (no.) | 0.29 ± 0.72 | 0.05 ± 0.22 | |||||
Publisher’s Note: MDPI stays neutral with regard to jurisdictional claims in published maps and institutional affiliations. |
© 2022 by the authors. Licensee MDPI, Basel, Switzerland. This article is an open access article distributed under the terms and conditions of the Creative Commons Attribution (CC BY) license (https://creativecommons.org/licenses/by/4.0/).
Share and Cite
Himariotis, A.T.; Coffey, K.F.; Noel, S.E.; Cornell, D.J. Validity of a Smartphone Application in Calculating Measures of Heart Rate Variability. Sensors 2022, 22, 9883. https://doi.org/10.3390/s22249883
Himariotis AT, Coffey KF, Noel SE, Cornell DJ. Validity of a Smartphone Application in Calculating Measures of Heart Rate Variability. Sensors. 2022; 22(24):9883. https://doi.org/10.3390/s22249883
Chicago/Turabian StyleHimariotis, Andreas T., Kyle F. Coffey, Sabrina E. Noel, and David J. Cornell. 2022. "Validity of a Smartphone Application in Calculating Measures of Heart Rate Variability" Sensors 22, no. 24: 9883. https://doi.org/10.3390/s22249883
APA StyleHimariotis, A. T., Coffey, K. F., Noel, S. E., & Cornell, D. J. (2022). Validity of a Smartphone Application in Calculating Measures of Heart Rate Variability. Sensors, 22(24), 9883. https://doi.org/10.3390/s22249883

