Raspberry Pi Platform Wireless Sensor Node for Low-Frequency Impedance Responses of PZT Interface
Abstract
1. Introduction
2. Design of Raspberry Pi Platform Impedance Monitoring System
2.1. Schematic of Impedance Monitoring System
2.2. Specification of Impedance Monitoring System
2.2.1. Raspberry Pi Platform
2.2.2. Impedance Sensing Board
2.2.3. Circuit Design of ‘SSeL-Pi’
2.2.4. PZT Interface for Impedance Measurement
Impedance Concept of PZT Interface
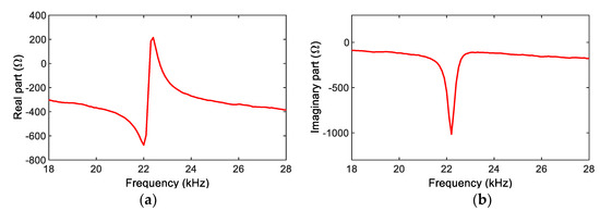
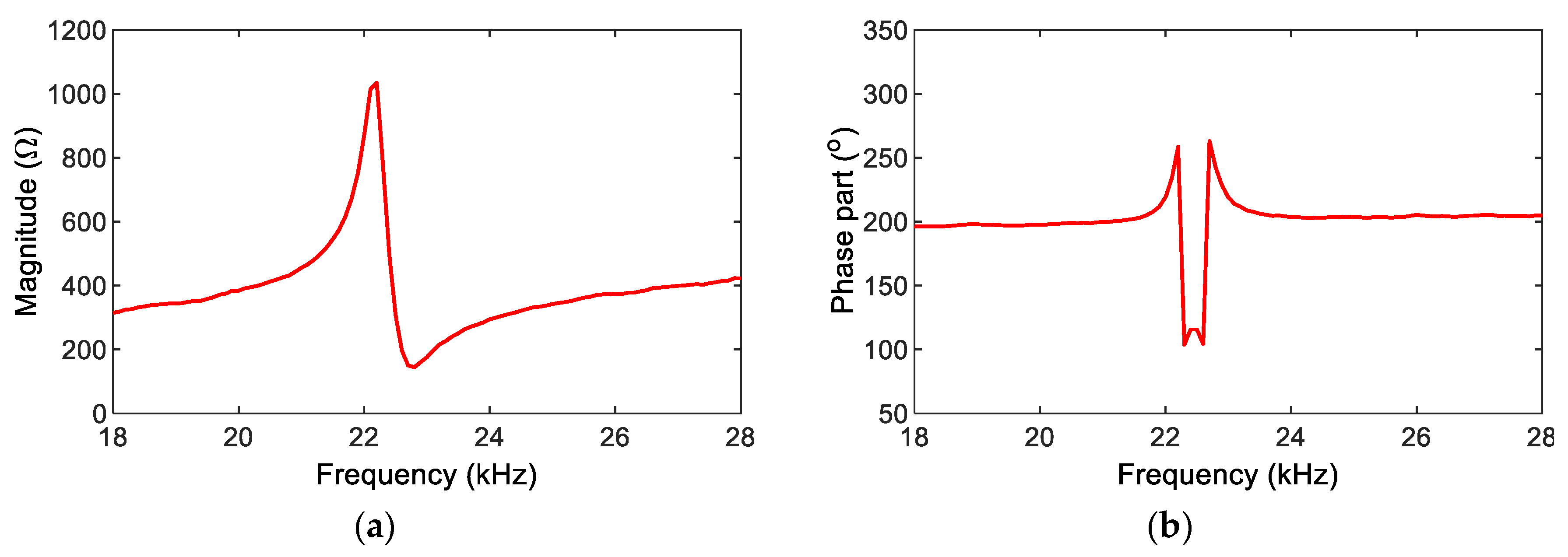
Numerical Impedance Response and Local Dynamic Characteristics of PZT Interface
2.3. Software Design for Raspberry Pi Platform Impedance Monitoring System
2.3.1. Prototype of SSeL-Pi Impedance Monitoring System
2.3.2. Operation Scheme for Impedance Sensor Node
2.3.3. GUI Software for Impedance Monitoring
- ①
- Check and link to a ‘SSeL’ impedance sensor node. In this feature, the identity (ID) of the node is displayed. A previously set ID is a reference factor to distinguish a node from others. The tab “IP address” is also shown to visualize the dynamic IP of the node. A node’s ID must be input to identify the selected node for post-usage.
- ②
- Set impedance measurement parameters for the selected node. Eleven parameters and corresponding options should be selected according to the test requirement. The parameter ‘Measuring Interval’ should be set for periodic monitoring tasks.
- ③
- Control the selected node to acquire impedance signatures in periodic monitoring. The measurement interval should be set correctly to measure impedance signals.
- ④
- Test the status of the impedance measurement of the selected node. There are four options: Calibration, Measurement (No Save), Measurement (Save), and Reference measurement. These options should be selected based on the user’s purpose.
- ⑤
- Display the real and phase parts of the impedance measurement results.
- ⑥
- Save the measurement results into the master device (e.g., laptop).
3. Calibration of Impedance Monitoring System ‘SSeL-Pi’
- Step 1:
- Acquisition of Real () and Imaginary () Impedance
- Step 2:
- Calculation of Impedance Magnitude , Gain Factor , and Phase , .
- Step 3:
- Calibration of Real and Phase Impedance
- Step 4:
- Extraction of Correct Real, Imaginary, and Phase Impedance
4. Experimental Evaluation of Impedance Monitoring System ‘SSeL-Pi’
4.1. Testing Setup and Test Scenarios
4.2. Impedance Measurement of Raspberry Pi Impedance Monitoring System
4.2.1. Impedance Responses of PZT Interface under Compression
4.2.2. Frequency Shifts in Impedance Responses of PZT Interfaces under Compression
4.2.3. RMSD Changes in Impedance Responses of PZT Interfaces under Compression
4.2.4. Empirical Relationship of Impedance Features and Stress
5. Concluding Remarks
Author Contributions
Funding
Institutional Review Board Statement
Informed Consent Statement
Data Availability Statement
Conflicts of Interest
References
- Annamdas, V.G.M.; Radhika, M.A. Electromechanical impedance of piezoelectric transducers for monitoring metallic and non-metallic structures: A review of wired, wireless and energy-harvesting methods. J. Intell. Mater. Syst. Struct. 2013, 24, 1021–1042. [Google Scholar] [CrossRef]
- Na, W.S.; Baek, J. A Review of the Piezoelectric Electromechanical Impedance Based Structural Health Monitoring Technique for Engineering Structures. Sensors 2018, 18, 1307. [Google Scholar] [CrossRef] [PubMed]
- Fan, X.; Li, J.; Hao, H. Review of piezoelectric impedance based structural health monitoring: Physics-based and data-driven methods. Adv. Struct. Eng. 2021, 24, 3609–3626. [Google Scholar] [CrossRef]
- Liang, C.; Sun, F.P.; Rogers, C.A. Coupled Electro-Mechanical Analysis of Adaptive Material Systems-Determination of the Actuator Power Consumption and System Energy Transfer. J. Intell. Mater. Syst. Struct. 1994, 8, 335–343. [Google Scholar] [CrossRef]
- Sun, F.P.; Chaudhry, Z.; Liang, C.; Rogers, C.A. Truss Structure Integrity Identification Using PZT Sensor-Actuator. J. Intell. Mater. Syst. Struct. 1995, 6, 134–139. [Google Scholar] [CrossRef]
- Park, G.; Cudney, H.H.; Inman, D.J. Feasibility of using impedance-based damage assessment for pipeline structures. Earthq. Eng. Struct. Dyn. 2001, 30, 1463–1474. [Google Scholar] [CrossRef]
- Mascarenas, D.L.; Todd, M.D.; Park, G.; Farrar, C.R. Development of an impedance-based wireless sensor node for structural health monitoring. Smart Mater. Struct. 2007, 16, 2137–2145. [Google Scholar] [CrossRef]
- Park, S.; Lee, J.-J.; Yun, C.-B.; Inman, D.J. Electro-Mechanical Impedance-Based Wireless Structural Health Monitoring Using PCA-Data Compression and k-means Clustering Algorithms. J. Intell. Mater. Syst. Struct. 2007, 19, 509–520. [Google Scholar] [CrossRef]
- Overly, T.G.S.; Park, G.; Farinholt, K.M.; Farrar, C.R. Development of an extremely compact impedance-based wireless sensing device. Smart Mater. Struct. 2008, 17, 065011. [Google Scholar] [CrossRef]
- Park, S.; Shin, H.-H.; Yun, C.-B. Wireless impedance sensor nodes for functions of structural damage identification and sensor self-diagnosis. Smart Mater. Struct. 2009, 18, 055001. [Google Scholar] [CrossRef]
- Min, J.; Park, S.; Yun, C.-B.; Song, B. Development of a low-cost multifunctional wireless impedance sensor node. Smart Struct. Syst. 2010, 6, 689–709. [Google Scholar] [CrossRef]
- Park, J.-H.; Kim, J.-T.; Hong, D.-S.; Mascarenas, D.; Lynch, J.P. Autonomous smart sensor nodes for global and local damage detection of prestressed concrete bridges based on accelerations and impedance measurements. Smart Struct. Syst. 2010, 6, 711–730. [Google Scholar] [CrossRef]
- Kim, J.-T.; Park, J.-H.; Hong, D.-S.; Ho, D.-D. Hybrid acceleration-impedance sensor nodes on Imote2-platform for damage monitoring in steel girder connections. Smart Struct. Syst. 2011, 7, 393–416. [Google Scholar] [CrossRef]
- Park, S.; Kim, J.-W.; Lee, C.; Park, S.-K. Impedance-based wireless debonding condition monitoring of CFRP laminated concrete structures. NDT E Int. 2011, 44, 232–238. [Google Scholar] [CrossRef]
- Kim, J.-T.; Nguyen, K.-D.; Park, J.-H. Wireless Impedance Sensor Node and Interface Washer for Damage Monitoring in Structural Connections. Adv. Struct. Eng. 2012, 15, 871–885. [Google Scholar] [CrossRef]
- Analog Devices. 1 MSPS, 12-Bit Impedance Converter, Network Analyzer, AD5933 Data Sheet. 2017. Available online: https://www.Analog.Com/Media/En/Technical-Documentation/Data-Sheets/Ad5933.pdf (accessed on 6 May 2022).
- Crossbow Technology, Inc. Imote2 Hardware Reference Manual, Report PN: 7430-0409-01. 2007. Available online: http://wsn.cse.wustl.edu/images/9/90/Imote2_hardware_ref (accessed on 5 July 2022).
- Huynh, T.C.; Dang, N.L.; Kim, J.T. Preload Monitoring in Bolted Connection Using Piezoelectric-Based Smart Interface. Sensors 2018, 18, 2766. [Google Scholar] [CrossRef] [PubMed]
- Nguyen, K.-D.; Kim, J.-T. Smart PZT-interface for wireless impedance-based prestress-loss monitoring in tendon-anchorage connection. Smart Struct. Syst. 2012, 9, 489–504. [Google Scholar] [CrossRef]
- Park, J.-H.; Huynh, T.-C.; Kim, J.-T. Temperature effect on wireless impedance monitoring in tendon anchorage of prestressed concrete girder. Smart Struct. Syst. 2015, 15, 1159–1175. [Google Scholar] [CrossRef]
- Halfacree, G. The Official Raspberry Pi Beginner’s Guide; John Wiley & Sons: Hoboken, NJ, USA, 2020; Available online: https://magazines-attachments.raspberrypi.org/books/full_pdfs/000/000/038/original/BeginnersGuide-4thEd-Eng_v2.pdf (accessed on 7 July 2022).
- Raspberry Pi Educational Services Private Limited, Raspberry Pi 4 Computer Model B. 2021. Available online: https://datasheets.raspberrypi.com/rpi4/raspberry-pi-4-product-brief.pdf (accessed on 12 March 2022).
- Abdelgawad, A.; Yelamarthi, K. Structural health monitoring: Internet of things application. In Proceedings of the 2016 IEEE 59th International Midwest Symposium on Circuits and Systems (MWSCAS), Abu Dhabi, United Arab Emirates, 16–19 October 2016; pp. 1–4. [Google Scholar]
- Mahmud, M.A.; Bates, K.; Wood, T.; Abdelgawad, A.; Yelamarthi, K. A complete Internet of Things (IoT) platform for Structural Health Monitoring (SHM). In Proceedings of the 2018 IEEE 4th World Forum on Internet of Things (WF-IoT), Singapore, 5–8 February 2018; pp. 275–279. [Google Scholar]
- Ghosh, A.; Edwards, D.J.; Hosseini, M.R.; Al-Ameri, R.; Abawajy, J.; Thwala, W.D. Real-time structural health monitoring for concrete beams: A cost-effective ‘Industry 4.0’ solution using piezo sensors. Int. J. Build. Pathol. Adapt. 2020, 39, 283–311. [Google Scholar] [CrossRef]
- Meng, Q.; Zhu, S. Developing IoT Sensing System for Construction-Induced Vibration Monitoring and Impact Assessment. Sensors 2020, 20, 6120. [Google Scholar] [CrossRef]
- Digilent. PmodIATM Reference Manual. 2016. Available online: https://digilent.com/reference/_media/reference/pmod/pmodia/pmodia_rm.pdf (accessed on 7 May 2022).
- Huynh, T.-C.; Kim, J.-T. Quantitative damage identification in tendon anchorage via PZT interface based impedance monitoring technique. Smart Struct. Syst. 2017, 20, 181–195. [Google Scholar]
- Nagayama, T.; Spencer, B.F., Jr.; Structural Health Monitoring Using Smart Sensors. Urbana-Champaign, U. O. I. A., Report NSEL-001. 2007. Available online: https://www.ideals.illinois.edu/items/3728 (accessed on 2 March 2022).
- HIOKI, E.E. Corporation. 3522/3532 LCR HiTESTER. 2011. Available online: https://www.hioki.cn/discon/pdf/component/3522_32E.pdf (accessed on 1 May 2022).
- Digilent. PmodIA Schematic. 2011. Available online: https://digilent.com/reference/_media/reference/pmod/pmodia/pmodia_sch.pdf (accessed on 7 May 2022).
- Digilent. Digilent Pmod Interface Specification. 2011. Available online: https://digilent.com/reference/_media/reference/pmod/digilent-pmod-interface-specification.pdf (accessed on 7 May 2022).
- Huynh, T.-C.; Kim, J.-T. Quantification of temperature effect on impedance monitoring via PZT interface for prestressed tendon anchorage. Smart Mater. Struct. 2017, 26, 125004. [Google Scholar] [CrossRef]
- Han, G.; Su, Y.-F.; Nantung, T.; Lu, N. Mechanism for using piezoelectric sensor to monitor strength gain process of cementitious materials with the temperature effect. J. Intell. Mater. Syst. Struct. 2020, 32, 1128–1139. [Google Scholar] [CrossRef]
- Gu, H.; Song, G.; Dhonde, H.; Mo, Y.L.; Yan, S. Concrete early-age strength monitoring using embedded piezoelectric transducers. Smart Mater. Struct. 2006, 15, 1837–1845. [Google Scholar] [CrossRef]
- Pham, Q.Q.; Dang, N.L.; Ta, Q.B.; Kim, J.T. Optimal Localization of Smart Aggregate Sensor for Concrete Damage Monitoring in PSC Anchorage Zone. Sensors 2021, 21, 6337. [Google Scholar] [CrossRef]
- Xu, D.; Banerjee, S.; Wang, Y.; Huang, S.; Cheng, X. Temperature and loading effects of embedded smart piezoelectric sensor for health monitoring of concrete structures. Constr. Build. Mater. 2015, 76, 187–193. [Google Scholar] [CrossRef]
- Dang, N.L.; Huynh, T.C.; Kim, J.T. Local Strand-Breakage Detection in Multi-Strand Anchorage System Using an Impedance-Based Stress Monitoring Method-Feasibility Study. Sensors 2019, 19, 1054. [Google Scholar] [CrossRef]
- Embarcadero Technologies. RAD Studio 11.2—Delphi (Software). 2021. Available online: https://www.Embarcadero.Com/Products/Delphi (accessed on 10 July 2022).
- Piezo.com. Materials Technical Data (Typical Values). 2022. Available online: https://info.piezo.com/hubfs/Data-Sheets/piezo-material-properties-data-sheet-20201112.pdf (accessed on 2 August 2022).
- Zhao, S.; Fan, S.; Yang, J.; Kitipornchai, S. Numerical and experimental investigation of electro-mechanical impedance based concrete quantitative damage assessment. Smart Mater. Struct. 2020, 29, 055025. [Google Scholar] [CrossRef]
- Huynh, T.-C.; Kim, J.-T. Impedance-Based Cable Force Monitoring in Tendon-Anchorage Using Portable PZT-Interface Technique. Math. Probl. Eng. 2014, 2014, 784731. [Google Scholar] [CrossRef]



























| Parameter | SSeL-Pi System [22,27] | HIOKI 3532 [30] |
|---|---|---|
| Impedance range | 100 Ω–10 MΩ | 10 mΩ–200 MΩ |
| Frequency range | 1 kHz–100 kHz | 42 Hz–5 mHz |
| Voltage peak-to-peak | 2 Vp-p | 14 Vp-p |
| Cost | US$280 | US$15,000 |
| Dimension | 88 × 58 × 19.5 mm | 352 × 323 × 124 mm |
| Weight | 80 g | 6.5 kg |
| No. | Name | Feature | No. | Name | Feature |
|---|---|---|---|---|---|
| 1 | mCPU | 64-bit quad-core Cortex-A72 (1.5 GHz) | 5 | GPIO | 40 pinouts |
| 2 | RAM | 4 GB LPDDR4 | 6 | Storage | MicroSD-16 GB |
| 3 | Wireless | 802.11 ac (2.4/5 GHz) | 7 | USB ports | 2 × USB 3.0, 2 × USB 2.0 |
| 4 | Power supply | USB Type-C/5 V and 3 A | 8 | HDMI ports | 2 × Micro-HDMI up to 1080 p60 |
| Specification | Value | Unit |
|---|---|---|
| Internal oscillator frequency | 16.776 | mHz |
| Current-to-voltage amplifier gain resistor | 20,000 | Ohm |
| Programmable gain amplifier (PGA gain) | ×5 | - |
| Output excitation voltage | 2 Vp-p | V |
| Number of settling time cycles | 100 | - |
| Supply voltage | 3.3 | V |
| Properties | Aluminum 6061-T6 | PZT 5 A | Bonding Layer Super Glue | Bonding Layer Epoxy |
|---|---|---|---|---|
| Young’s modulus, (GPa) | 68.9 | 62.1 | 5 | 0.75 |
| Poisson’s ratio, | 0.33 | 0.35 | 0.38 | 0.3 |
| Mass density, (kg/m3) | 2700 | 7750 | 1700 | 1090 |
| Damping loss factor, | 0.02 | 0.0125 | 0.02 | |
| Yield strength, (MPa) | 241 | |||
| Compressive strength, (MPa) | 32.3 | |||
| Dielectric constant, (F/m) | 1.53 × 10−8 | |||
| Coupling constant, (m/V) | −1.71 × 10−10 | |||
| Dielectric loss factor, | 0.015 |
Publisher’s Note: MDPI stays neutral with regard to jurisdictional claims in published maps and institutional affiliations. |
© 2022 by the authors. Licensee MDPI, Basel, Switzerland. This article is an open access article distributed under the terms and conditions of the Creative Commons Attribution (CC BY) license (https://creativecommons.org/licenses/by/4.0/).
Share and Cite
Pham, Q.-Q.; Ta, Q.-B.; Park, J.-H.; Kim, J.-T. Raspberry Pi Platform Wireless Sensor Node for Low-Frequency Impedance Responses of PZT Interface. Sensors 2022, 22, 9592. https://doi.org/10.3390/s22249592
Pham Q-Q, Ta Q-B, Park J-H, Kim J-T. Raspberry Pi Platform Wireless Sensor Node for Low-Frequency Impedance Responses of PZT Interface. Sensors. 2022; 22(24):9592. https://doi.org/10.3390/s22249592
Chicago/Turabian StylePham, Quang-Quang, Quoc-Bao Ta, Jae-Hyung Park, and Jeong-Tae Kim. 2022. "Raspberry Pi Platform Wireless Sensor Node for Low-Frequency Impedance Responses of PZT Interface" Sensors 22, no. 24: 9592. https://doi.org/10.3390/s22249592
APA StylePham, Q.-Q., Ta, Q.-B., Park, J.-H., & Kim, J.-T. (2022). Raspberry Pi Platform Wireless Sensor Node for Low-Frequency Impedance Responses of PZT Interface. Sensors, 22(24), 9592. https://doi.org/10.3390/s22249592

