Multi-Target Tracking Algorithm Combined with High-Precision Map
Abstract
1. Introduction
2. Relevant Theory
2.1. Coordinate System Conversion
2.1.1. LLA Coordinate System Converted to ENU Coordinate System
2.1.2. LLA Coordinate System Converted to Radar Coordinate System
2.1.3. LLA Coordinate System Converted to Vehicle Coordinate System
2.2. System Model
2.2.1. Equation of State
2.2.2. Measurement Equation
2.3. Filtering Model
3. System Overview
3.1. Main Technologies
3.1.1. High-Precision Map Lane Line Fitting
3.1.2. Data Association Algorithm
3.1.3. Track Prediction Combined with High-Precision Map
3.2. Tracking Master Process
4. Results
4.1. Parameters
4.2. Straight Roads
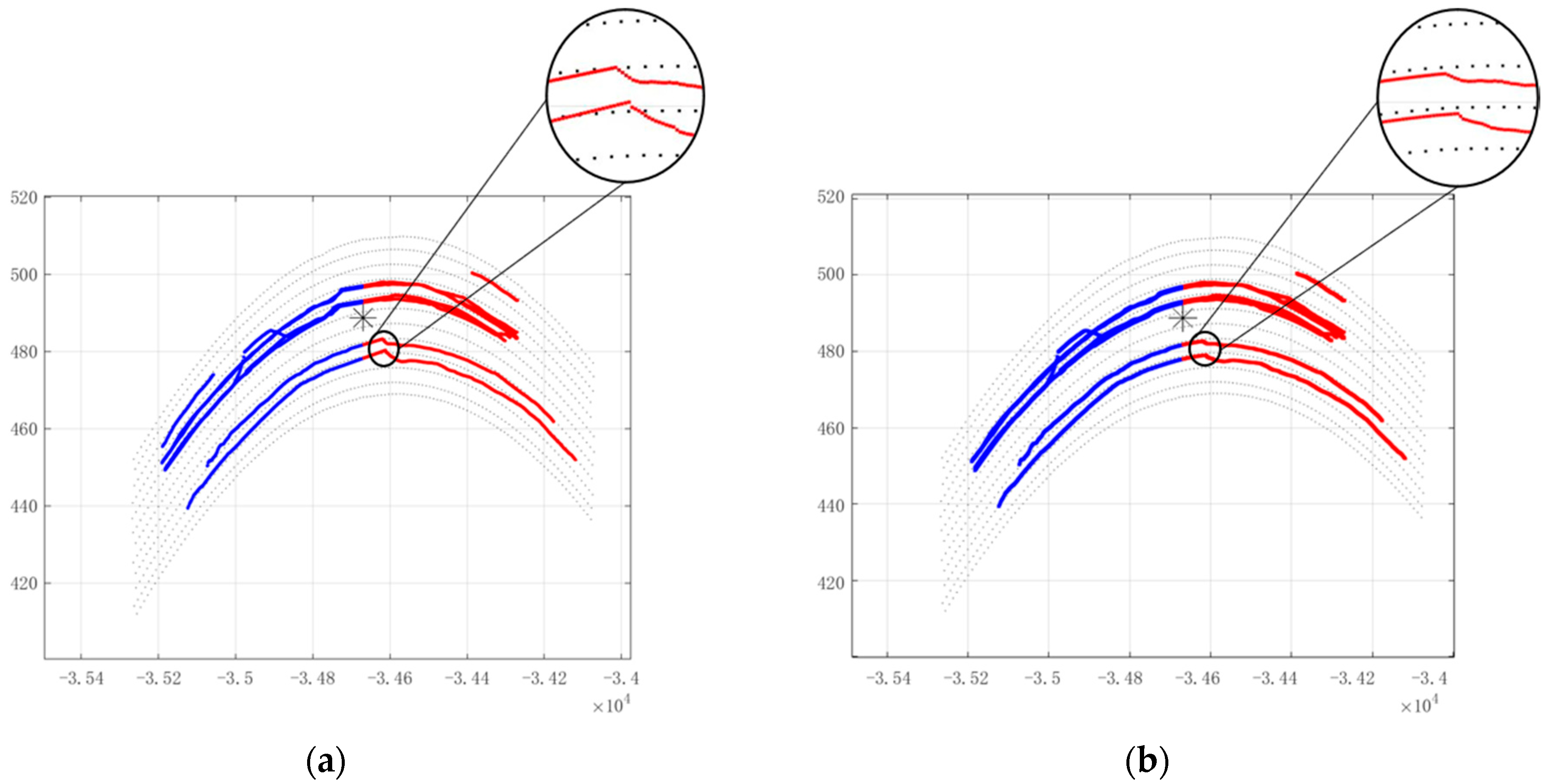
4.3. Curved Roads
5. Discussion
Author Contributions
Funding
Institutional Review Board Statement
Informed Consent Statement
Data Availability Statement
Conflicts of Interest
References
- Maurin, B.; Masoud, O.; Papanikolopoulos, N.P. Tracking all traffic: Computer vision algorithms for monitoring vehicles, individuals, and crowds. IEEE Robot. Autom. Mag. 2005, 12, 29–36. [Google Scholar] [CrossRef]
- Robert, K. Video-based traffic monitoring at day and night vehicle features detection tracking. In Proceedings of the 2009 12th International IEEE Conference on Intelligent Transportation Systems, St. Louis, MO, USA, 4–7 October 2009; pp. 1–6. [Google Scholar] [CrossRef]
- Saunier, N.; Sayed, T.; Lim, C. Probabilistic Collision Prediction for Vision-Based Automated Road Safety Analysis. In Proceedings of the 2007 IEEE Intelligent Transportation Systems Conference, Bellevue, WA, USA, 30 September–3 October 2007; pp. 872–878. [Google Scholar] [CrossRef]
- Saunier, N.; Sayed, T. A feature-based tracking algorithm for vehicles in intersections. In Proceedings of the 3rd Canadian Conference on Computer and Robot Vision (CRV’06), Quebec, QC, Canada, 7–9 June 2006; p. 59. [Google Scholar] [CrossRef]
- Rostamianfar, O.; Janabi-Sharifi, F.; Hassanzadeh, I. Visual Tracking System for Dense Traffic Intersections. In Proceedings of the 2006 Canadian Conference on Electrical and Computer Engineering, Ottawa, ON, Canada, 7–10 May 2006; pp. 2000–2004. [Google Scholar] [CrossRef]
- Alhuthali, S.A.H.; Zia, M.Y.I.; Rashid, M. A Simplified Traffic Flow Monitoring System Using Computer Vision Techniques. In Proceedings of the 2022 2nd International Conference on Computing and Information Technology (ICCIT), Tabuk, Saudi Arabia, 25–27 January 2022; pp. 167–170. [Google Scholar] [CrossRef]
- Kaushik, S.; Raman, A.; Rao, K.V.S.R. Leveraging Computer Vision for Emergency Vehicle Detection-Implementation and Analysis. In Proceedings of the 2020 11th International Conference on Computing, Communication and Networking Technologies (ICCCNT), Kharagpur, India, 1–3 July 2020; pp. 1–6. [Google Scholar] [CrossRef]
- Raj, V.S.; Sai, J.V.; Yogesh, N.L.; Preetha, S.K.; Lavanya, R. Smart Traffic Control for Emergency Vehicles Prioritization using Video and Audio Processing. In Proceedings of the 2022 6th International Conference on Intelligent Computing and Control Systems (ICICCS), Madurai, India, 25–27 May 2022; pp. 1588–1593. [Google Scholar] [CrossRef]
- Maligalig, K.C.; Amante, A.D.; Tejada, R.R.; Tamargo, R.S.; Santiago, A.F. Machine Vision System of Emergency Vehicle Detection System Using Deep Transfer Learning. In Proceedings of the 2022 International Conference on Decision Aid Sciences and Applications (DASA), Chiangrai, Thailand, 23–25 March 2022; pp. 1464–1468. [Google Scholar] [CrossRef]
- Ojha, A.; Sahu, S.P.; Dewangan, D.K. Vehicle Detection through Instance Segmentation using Mask R-CNN for Intelligent Vehicle System. In Proceedings of the 2021 5th International Conference on Intelligent Computing and Control Systems (ICICCS), Madurai, India, 6–8 May 2021; pp. 954–959. [Google Scholar] [CrossRef]
- Eslami, M.; Faez, K. Automatic traffic monitoring using neural networks from satellite images. In Proceedings of the 2010 11th International Conference on Control Automation Robotics & Vision, Singapore, 7–10 December 2010; pp. 1616–1621. [Google Scholar] [CrossRef]
- Ghandour, A.J.; Krayem, H.A.; Jezzini, A.A. Autonomous Vehicle Detection and Classification in High Resolution Satellite Imagery. In Proceedings of the 2018 International Arab Conference on Information Technology (ACIT), Werdanye, Lebanon, 28–30 November 2018; pp. 1–5. [Google Scholar] [CrossRef]
- Alghazo, J.; Bashar, A.; Latif, G.; Zikria, M. Maritime Ship Detection using Convolutional Neural Networks from Satellite Images. In Proceedings of the 2021 10th IEEE International Conference on Communication Systems and Network Technologies (CSNT), Bhopal, India, 18–19 June 2021; pp. 432–437. [Google Scholar] [CrossRef]
- Hinz, S. Detection and counting of cars in aerial images. In Proceedings of the 2003 International Conference on Image Processing (Cat. No.03CH37429), Barcelona, Spain, 14–17 September 2003; p. III-997. [Google Scholar] [CrossRef]
- Shi, F.; Zhang, T.; Zhang, T. Orientation-Aware Vehicle Detection in Aerial Images via an Anchor-Free Object Detection Approach. IEEE Trans. Geosci. Remote Sens. 2021, 59, 5221–5233. [Google Scholar] [CrossRef]
- Holla, A.; Verma, U.; Pai, R.M. Efficient Vehicle Counting by Eliminating Identical Vehicles in UAV aerial videos. In Proceedings of the 2020 IEEE International Conference on Distributed Computing, VLSI, Electrical Circuits and Robotics (DISCOVER), Udupi, India, 30–31 October 2020; pp. 246–251. [Google Scholar] [CrossRef]
- Bar, D.E.; Raboy, S. Moving Car Detection and Spectral Restoration in a Single Satellite WorldView-2 Imagery. IEEE J. Sel. Top. Appl. Earth Obs. Remote Sens. 2013, 6, 2077–2087. [Google Scholar] [CrossRef]
- Zhu, J.; Sun, K.; Jia, S.; Li, Q.; Hou, X.; Lin, W.; Liu, B.; Qiu, G. Urban Traffic Density Estimation Based on Ultrahigh-Resolution UAV Video and Deep Neural Network. IEEE J. Sel. Top. Appl. Earth Obs. Remote Sens. 2018, 11, 4968–4981. [Google Scholar] [CrossRef]
- Zhou, H.; Wei, L.; Lim, C.P.; Nahavandi, S. Robust Vehicle Detection in Aerial Images Using Bag-of-Words and Orientation Aware Scanning. IEEE Trans. Geosci. Remote Sens. 2018, 56, 7074–7085. [Google Scholar] [CrossRef]
- Yu, Y.; Gu, T.; Guan, H.; Li, D.; Jin, S. Vehicle Detection From High-Resolution Remote Sensing Imagery Using Convolutional Capsule Networks. IEEE Geosci. Remote Sens. Lett. 2019, 16, 1894–1898. [Google Scholar] [CrossRef]
- ElMikaty, M.; Stathaki, T. Car Detection in Aerial Images of Dense Urban Areas. IEEE Trans. Aerosp. Electron. Syst. 2018, 54, 51–63. [Google Scholar] [CrossRef]
- ElMikaty, M.; Stathaki, T. Detection of Cars in High-Resolution Aerial Images of Complex Urban Environments. IEEE Trans. Geosci. Remote Sens. 2017, 55, 5913–5924. [Google Scholar] [CrossRef]
- Chen, Z.; Wang, C.; Luo, H.; Wang, H.; Chen, Y.; Wen, C.; Yu, Y.; Cao, L.; Li, J. Vehicle Detection in High-Resolution Aerial Images Based on Fast Sparse Representation Classification and Multiorder Feature. IEEE Trans. Intell. Transp. Syst. 2016, 17, 2296–2309. [Google Scholar] [CrossRef]
- Chen, Z.; Wang, C.; Wen, C.; Teng, X.; Chen, Y.; Guan, H.; Luo, H.; Cao, L.; Li, J. Vehicle Detection in High-Resolution Aerial Images via Sparse Representation and Superpixels. IEEE Trans. Geosci. Remote Sens. 2016, 54, 103–116. [Google Scholar] [CrossRef]
- Moranduzzo, T.; Melgani, F. Car speed estimation method for UAV images. In Proceedings of the 2014 IEEE Geoscience and Remote Sensing Symposium, Quebec City, QC, Canada, 13–18 July 2014; pp. 4942–4945. [Google Scholar] [CrossRef]
- Chen, X.; Xiang, S.; Liu, C.-L.; Pan, C.-H. Vehicle Detection in Satellite Images by Parallel Deep Convolutional Neural Networks. In Proceedings of the 2013 2nd IAPR Asian Conference on Pattern Recognition, Naha, Japan, 5–8 November 2013; pp. 181–185. [Google Scholar] [CrossRef]
- Nguyen, T.T.; Grabner, H.; Bischof, H.; Gruber, B. On-line Boosting for Car Detection from Aerial Images. In Proceedings of the 2007 IEEE International Conference on Research, Innovation and Vision for the Future, Hanoi, Vietnam, 5–9 March 2007; pp. 87–95. [Google Scholar] [CrossRef]
- Lim, H.-S.; Park, H.-M.; Lee, J.-E.; Kim, Y.-H.; Lee, S. Lane-by-Lane Traffic Monitoring Using 24.1 GHz FMCW Radar System. IEEE Access 2021, 9, 14677–14687. [Google Scholar] [CrossRef]
- Zhang, Z.; Wang, X.; Huang, D.; Fang, X.; Zhou, M.; Zhang, Y. MRPT: Millimeter-Wave Radar-Based Pedestrian Trajectory Tracking for Autonomous Urban Driving. IEEE Trans. Instrum. Meas. 2022, 71, 8000117. [Google Scholar] [CrossRef]
- Fatseas, K.; Bekooij, M.J.G. Neural Network Based Multiple Object Tracking for Automotive FMCW Radar. In Proceedings of the 2019 International Radar Conference (RADAR), Toulon, France, 23–27 September 2019; pp. 1–5. [Google Scholar] [CrossRef]
- Ikram, M.Z.; Ali, M. 3-D object tracking in millimeter-wave radar for advanced driver assistance systems. In Proceedings of the 2013 IEEE Global Conference on Signal and Information Processing, Austin, TX, USA, 3–5 December 2013; pp. 723–726. [Google Scholar] [CrossRef]
- Hussain, M.I.; Azam, S.; Munir, F.; Khan, Z.; Jeon, M. Multiple Objects Tracking using Radar for Autonomous Driving. In Proceedings of the 2020 IEEE International IOT, Electronics and Mechatronics Conference (IEMTRONICS), Vancouver, BC, Canada, 9–12 September 2020; pp. 1–4. [Google Scholar] [CrossRef]
- Manjunath, A.; Liu, Y.; Henriques, B.; Engstle, A. Radar Based Object Detection and Tracking for Autonomous Driving. In Proceedings of the 2018 IEEE MTT-S International Conference on Microwaves for Intelligent Mobility (ICMIM), Munich, Germany, 15–17 April 2018; pp. 1–4. [Google Scholar] [CrossRef]
- Otto, C.; Gerber, W.; León, F.P.; Wirnitzer, J. A Joint Integrated Probabilistic Data Association Filter for pedestrian tracking across blind regions using monocular camera and radar. In Proceedings of the 2012 IEEE Intelligent Vehicles Symposium, Alcala de Henares, Spain, 3–7 June 2012; pp. 636–641. [Google Scholar] [CrossRef]
- Xu, G.; Shan, G.; Duan, X. Sensor scheduling for ground maneuvering target tracking in presence of detection blind zone. J. Syst. Eng. Electron. 2020, 31, 692–702. [Google Scholar] [CrossRef]











| Parameters | Short-Range | Medium-Range | Long-Range |
|---|---|---|---|
| Installation inclination (elevation angle) | 1° | 3° | 6° |
| Installation inclination (azimuth angle) | 0° | 0° | 0° |
| Range | 45 m–120 m | 100 m–220 m | 200 m–550 m |
| Range resolution | ±0.2 m | ||
| FOV (elevation angle) | ±6° | ±4.4° | ±4.4° |
| FOV (azimuth angle) | Covering 10 lanes (50 m) | ||
| Maximum velocity | −250 km/h ~ +250 km/h | ||
| Velocity resolution | ±0.1 m/s | ||
| Installation height | 10 m | ||
| Central Frequency | 79 GHz | ||
Publisher’s Note: MDPI stays neutral with regard to jurisdictional claims in published maps and institutional affiliations. |
© 2022 by the authors. Licensee MDPI, Basel, Switzerland. This article is an open access article distributed under the terms and conditions of the Creative Commons Attribution (CC BY) license (https://creativecommons.org/licenses/by/4.0/).
Share and Cite
An, Q.; Cai, Y.; Zhu, J.; Wang, S.; Han, F. Multi-Target Tracking Algorithm Combined with High-Precision Map. Sensors 2022, 22, 9371. https://doi.org/10.3390/s22239371
An Q, Cai Y, Zhu J, Wang S, Han F. Multi-Target Tracking Algorithm Combined with High-Precision Map. Sensors. 2022; 22(23):9371. https://doi.org/10.3390/s22239371
Chicago/Turabian StyleAn, Qingru, Yawen Cai, Juan Zhu, Sijia Wang, and Fengxia Han. 2022. "Multi-Target Tracking Algorithm Combined with High-Precision Map" Sensors 22, no. 23: 9371. https://doi.org/10.3390/s22239371
APA StyleAn, Q., Cai, Y., Zhu, J., Wang, S., & Han, F. (2022). Multi-Target Tracking Algorithm Combined with High-Precision Map. Sensors, 22(23), 9371. https://doi.org/10.3390/s22239371

