Self-Calibration of a Large-Scale Variable-Line-Spacing Grating for an Absolute Optical Encoder by Differencing Spatially Shifted Phase Maps from a Fizeau Interferometer
Abstract
1. Introduction
2. Principle
2.1. Wavefront Measurement and VLS Parameters
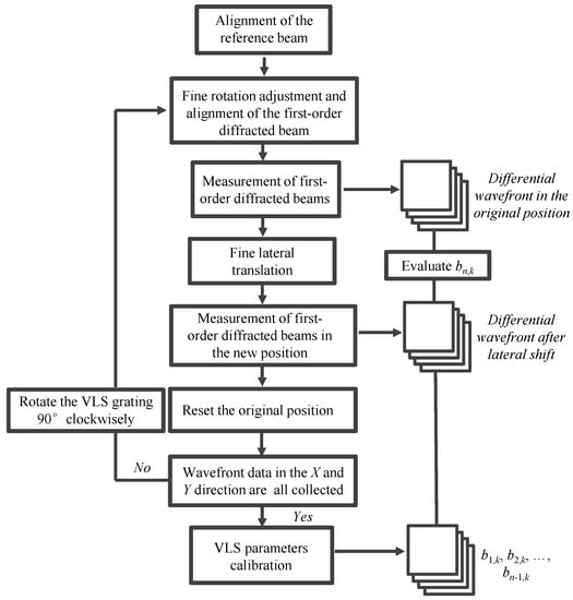
2.2. Self-Calibration of the VLS Parameters of the Large-Scale VLS Grating
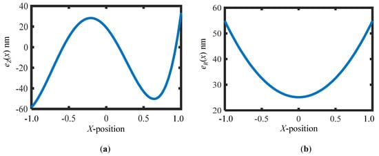
3. Simulations
4. Experiments and Discussions
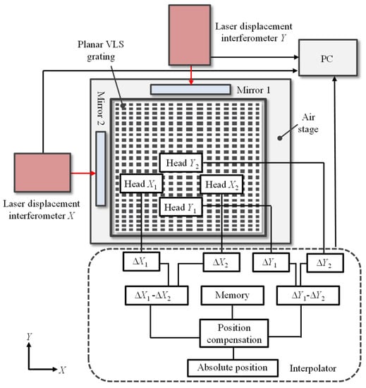
4.1. Evaluation of the Large-Scale VLS Grating
4.2. Comparison Results and Discussions
5. Conclusions
Author Contributions
Funding
Institutional Review Board Statement
Informed Consent Statement
Data Availability Statement
Conflicts of Interest
Appendix A. Expansion of Equation (7)
Appendix B. The Reference Plane Technique
References
- Gao, W.; Kim, S.W.; Bosse, H.; Haitjema, H.; Chen, Y.L.; Lu, X.D.; Knapp, W.; Weckenmann, A.; Estler, W.T.; Kunzmann, H. Measurement technologies for precision positioning. CIRP Ann. Manuf. Technol. 2015, 64, 773–796. [Google Scholar] [CrossRef]
- Johnson, A.S.; Austin, D.R.; Wood, D.A.; Brahms, C.; Gregory, A.; Holzner, K.B.; Jarosch, S.; Larsen, E.W.; Parker, S.; Strüber, C.S.; et al. High-flux soft X-ray harmonic generation from ionization-shaped few-cycle laser pulses. Sci. Adv. 2018, 4. [Google Scholar] [CrossRef] [PubMed]
- De Chuang, Y.; Shao, Y.C.; Cruz, A.; Hanzel, K.; Brown, A.; Frano, A.; Qiao, R.; Smith, B.; Domning, E.; Huang, S.W.; et al. Modular soft X-ray spectrometer for applications in energy sciences and quantum materials. Rev. Sci. Instrum. 2017, 88, 013110. [Google Scholar] [CrossRef] [PubMed]
- Vishnyakov, E.A.; Kolesnikov, A.O.; Pirozhkov, A.S.; Ragozin, E.N.; Shatokhin, A.N. Aperiodic reflection diffraction gratings for soft X-ray radiation and their application. Quantum Electron. 2018, 48, 916–929. [Google Scholar] [CrossRef]
- Li, X.; Zhang, J.; Zhou, Q.; Ni, K.; Pang, J.; Tian, R. Design of a variable-line-spacing grating pattern for spectrometers based on a grating Fresnel device. Opt. Lett. 2016, 41, 1470. [Google Scholar] [CrossRef]
- Gao, W.; Araki, T.; Kiyono, S.; Okazaki, Y.; Yamanaka, M. Precision nano-fabrication and evaluation of a large area sinusoidal grid surface for a surface encoder. Precis. Eng. 2003, 27, 289–298. [Google Scholar] [CrossRef]
- Shimizu, Y. Laser Interference Lithography for Fabrication of Planar Scale Gratings for Optical Metrology. Nanomanuf. Metrol. 2021, 4, 3–27. [Google Scholar] [CrossRef]
- Voronov, D.L.; Gullikson, E.M.; Padmore, H.A. Large area nanoimprint enables ultra-precise X-ray diffraction gratings. Opt. Express 2017, 25, 23334. [Google Scholar] [CrossRef]
- He, W.; Zhang, W.; Meng, F.; Zhu, L. Electron beam lithography inscribed varied-line-spacing and uniform integrated reflective plane grating fabricated through line-by-line method. Opt. Lasers Eng. 2021, 138, 106456. [Google Scholar] [CrossRef]
- Shimizu, Y.; Ishizuka, R.; Mano, K.; Kanda, Y.; Matsukuma, H.; Gao, W. An absolute surface encoder with a planar scale grating of variable periods. Precis. Eng. 2021, 67, 36–47. [Google Scholar] [CrossRef]
- Li, X.; Wang, H.; Ni, K.; Zhou, Q.; Mao, X.; Zeng, L.; Wang, X.; Xiao, X. Two-probe optical encoder for absolute positioning of precision stages by using an improved scale grating. Opt. Express 2016, 24, 21378. [Google Scholar] [CrossRef]
- Voronov, D.L.; Warwick, T.; Padmore, H.A. Multilayer-coated blazed grating with variable line spacing and a variable blaze angle. Opt. Lett. 2014, 39, 6134. [Google Scholar] [CrossRef]
- Ma, D.; Zeng, L. Fabrication of low-stray-light gratings by broad-beam scanning exposure in the direction perpendicular to the grating grooves. Opt. Lett. 2015, 40, 1346. [Google Scholar] [CrossRef]
- Fleming, A.J. A review of nanometer resolution position sensors: Operation and performance. Sens. Actuators A Phys. 2013, 190, 106–126. [Google Scholar] [CrossRef]
- Orji, N.G.; Badaroglu, M.; Barnes, B.M.; Beitia, C.; Bunday, B.D.; Celano, U.; Kline, R.J.; Neisser, M.; Obeng, Y.; Vladar, A.E. Metrology for the next generation of semiconductor devices. Nat. Electron. 2018, 1, 532–547. [Google Scholar] [CrossRef]
- Dai, G.; Zhu, F.; Fluegge, J. High-speed metrological large range AFM. Meas. Sci. Technol. 2015, 26, 095402. [Google Scholar] [CrossRef]
- Thomasset, M.; Dvorak, J.; Brochet, S.; Dennetiere, D.; Polack, F. Grating metrology for X-ray and V-UV synchrotron beamlines at SOLEIL. Rev. Sci. Instrum. 2019, 90, 021714. [Google Scholar] [CrossRef]
- Dai, G.; Hu, X. Correction of Interferometric High-Order Nonlinearity Error in Metrological Atomic Force Microscopy. Nanomanuf. Metrol. 2022. [Google Scholar] [CrossRef]
- Schödel, R. Utilization of coincidence criteria in absolute length measurements by optical interferometry in vacuum and air. Meas. Sci. Technol. 2015, 26, 084007. [Google Scholar] [CrossRef]
- Sawabe, M.; Maeda, F.; Yamaryo, Y.; Simomura, T.; Saruki, Y.; Kubo, T.; Sakai, H.; Aoyagi, S. A new vacuum interferometric comparator for calibrating the fine linear encoders and scales. Precis. Eng. 2004, 28, 320–328. [Google Scholar] [CrossRef]
- Wang, Q.; Liu, Z.; Chen, H.; Wang, Y.; Jiang, X.; Fu, S. The method for measuring the groove density of variable-line-space gratings with elimination of the eccentricity effect. Rev. Sci. Instrum. 2015, 86, 023109. [Google Scholar] [CrossRef] [PubMed]
- Cocco, D.; Sostero, G.; Zangrando, M. Technique for measuring the groove density of diffraction gratings using the long trace profiler. Rev. Sci. Instrum. 2003, 74, 3544–3548. [Google Scholar] [CrossRef]
- Quan, L.; Shimizu, Y.; Xiong, X.; Matsukuma, H.; Gao, W. A new method for evaluation of the pitch deviation of a linear scale grating by an optical angle sensor. Precis. Eng. 2021, 67, 1–13. [Google Scholar] [CrossRef]
- Gao, W.; Kimura, A. A fast evaluation method for pitch deviation and out-of-flatness of a planar scale grating. CIRP Ann. Manuf. Technol. 2010, 59, 505–508. [Google Scholar] [CrossRef]
- Xiong, X.; Matsukuma, H.; Shimizu, Y.; Gao, W. Evaluation of the pitch deviation of a linear scale based on a self-calibration method with a Fizeau interferometer. Meas. Sci. Technol. 2020, 31, 094002. [Google Scholar] [CrossRef]
- Xiong, X.; Quan, L.; Shimizu, Y.; Matsukuma, H.; Gao, W. Self-calibration of a variable-line-spacing grating for an absolute optical encoder with a Fizeau interferometer. Meas. Sci. Technol. 2021, 32, 064005. [Google Scholar] [CrossRef]
- Vannoni, M.; Freijo Martín, I. Large aperture Fizeau interferometer commissioning and preliminary measurements of a long X-ray mirror at European X-ray Free Electron Laser. Rev. Sci. Instrum. 2016, 87, 051901. [Google Scholar] [CrossRef]
- Murphy, P.; Forbes, G.; Fleig, J.; Dumas, P.; Tricard, M. Stitching Interferometry: A Flexible Solution for Surface Metrology. Opt. Photonics News 2003, 14, 38. [Google Scholar] [CrossRef]
- Sjödahl, M. Stitching interferometric measurement data for inspection of large optical components. Opt. Eng. 2002, 41, 403. [Google Scholar] [CrossRef]
- Gao, W.; Haitjema, H.; Fang, F.Z.; Leach, R.K.; Cheung, C.F.; Savio, E.; Linares, J.M. On-machine and in-process surface metrology for precision manufacturing. CIRP Ann. 2019, 68, 843–866. [Google Scholar] [CrossRef]
- Xiong, X.; Shimizu, Y.; Matsukuma, H.; Gao, W. A self-calibration stitching method for pitch deviation evaluation of a long-range linear scale by using a fizeau interferometer. Sensors 2021, 21, 7412. [Google Scholar] [CrossRef]
- Shahinian, H.; Hovis, C.D.; Evans, C.J. Effect of retrace error on stitching coherent scanning interferometry measurements of freeform optics. Opt. Express 2021, 29, 28562. [Google Scholar] [CrossRef]
- Xue, J.; Huang, L.; Gao, B.; Kaznatcheev, K.; Idir, M. One-dimensional stitching interferometry assisted by a triple-beam interferometer. Opt. Express 2017, 25, 9393. [Google Scholar] [CrossRef]
- Bloemhof, E.E. Absolute surface metrology by differencing spatially shifted maps from a phase-shifting interferometer. Opt. Lett. 2010, 35, 2346. [Google Scholar] [CrossRef]
- Rimmer, M.P. Method for Evaluating Lateral Shearing Interferograms. Appl. Opt. 1974, 13, 623–629. [Google Scholar] [CrossRef]
- Niya Technologies of Self Calibrated 2D Encoder Scale. Jpn. Soc. Precis. Eng. 2016, 788–791.
- Xiong, X.; Shimizu, Y.; Chen, X.; Matsukuma, H.; Gao, W. Uncertainty evaluation for measurements of pitch deviation and out-of-flatness of planar scale gratings by a Fizeau interferometer in Littrow configuration. Appl. Sci. 2018, 8, 2539. [Google Scholar] [CrossRef]



















| Symbol | Values | |
|---|---|---|
| VLS parameters (X-direction) | b1,X | 2.54 × 10−5 lines/mm2 |
| b2,X | 1.39 × 10−5 lines/mm3 | |
| VLS parameters (Y-direction) | b1,Y | 2.70 × 10−5 lines/mm2 |
| b2,Y | 1.35 × 10−5 lines/mm3 |
| Symbol | Mean Values | Standard Deviation | |
|---|---|---|---|
| VLS parameters (X-direction) | b1,X | 2.54 × 10−5 lines/mm2 | 1.19 × 10−6 lines/mm2 |
| b2,X | 1.38 × 10−5 lines/mm3 | 2.59 × 10−7 lines/mm3 | |
| VLS parameters (Y-direction) | b1,Y | 2.61 × 10−5 lines/mm2 | 9.17 × 10−6 lines/mm2 |
| b2,Y | 1.33 × 10−5 lines/mm3 | 4.07 × 10−7 lines/mm3 |
Publisher’s Note: MDPI stays neutral with regard to jurisdictional claims in published maps and institutional affiliations. |
© 2022 by the authors. Licensee MDPI, Basel, Switzerland. This article is an open access article distributed under the terms and conditions of the Creative Commons Attribution (CC BY) license (https://creativecommons.org/licenses/by/4.0/).
Share and Cite
Xiong, X.; Yin, C.; Quan, L.; Sato, R.; Matsukuma, H.; Shimizu, Y.; Tamiya, H.; Gao, W. Self-Calibration of a Large-Scale Variable-Line-Spacing Grating for an Absolute Optical Encoder by Differencing Spatially Shifted Phase Maps from a Fizeau Interferometer. Sensors 2022, 22, 9348. https://doi.org/10.3390/s22239348
Xiong X, Yin C, Quan L, Sato R, Matsukuma H, Shimizu Y, Tamiya H, Gao W. Self-Calibration of a Large-Scale Variable-Line-Spacing Grating for an Absolute Optical Encoder by Differencing Spatially Shifted Phase Maps from a Fizeau Interferometer. Sensors. 2022; 22(23):9348. https://doi.org/10.3390/s22239348
Chicago/Turabian StyleXiong, Xin, Chenguang Yin, Lue Quan, Ryo Sato, Hiraku Matsukuma, Yuki Shimizu, Hideaki Tamiya, and Wei Gao. 2022. "Self-Calibration of a Large-Scale Variable-Line-Spacing Grating for an Absolute Optical Encoder by Differencing Spatially Shifted Phase Maps from a Fizeau Interferometer" Sensors 22, no. 23: 9348. https://doi.org/10.3390/s22239348
APA StyleXiong, X., Yin, C., Quan, L., Sato, R., Matsukuma, H., Shimizu, Y., Tamiya, H., & Gao, W. (2022). Self-Calibration of a Large-Scale Variable-Line-Spacing Grating for an Absolute Optical Encoder by Differencing Spatially Shifted Phase Maps from a Fizeau Interferometer. Sensors, 22(23), 9348. https://doi.org/10.3390/s22239348

