Reinforcement Learning-Aided Edge Intelligence Framework for Delay-Sensitive Industrial Applications
Abstract
1. Introduction
- We discuss the Tactile Internet challenges in the context of high pack rate/packet size and extensively review different haptic codec solutions and summarized their key contributions.
- An Intelligent Tactile Edge (ITE) framework is proposed that incorporates the ECN mechanism, Machine Learning (ML), and particularly, RL policies for optimal haptic codecs selection based on network congestion level employing the Markov decision process (MDP).
- In the proposed framework, an LSTM model is utilized to predict the congestion level in the network by exploiting ECN information in the TCP header of the data packet. To select the best haptic codec scheme corresponding to the network congestion, an RL-based Q-learning algorithm is employed.
- We conduct different experiments to demonstrate that the proposed system selects the best haptic data compression and reduction scheme for haptic-enabled bilateral teleoperations to ensure QoS and QoE requirements.
2. Related Research Work
3. Proposed Framework
3.1. Network Congestion Prediction
3.2. Q-Learning Technique
- Agent: An agent is an entity, which takes out learning tasks in the system. In the proposed framework the ITE that recommends the haptic codec at the application layer acts as an agent.
- State: A state of the understudy system provides the observation of the environment that can be examined by the agent. In our proposed framework, we define the discrete level of network congestion as the states .
- Action: An action reveals how an intelligent agent responds to the environment based on the observed state. In ITE, the action A is the set of the haptic codecs schemes, which reduce and compress the packet size or packet rate of haptic traffic during communication to ensure QoS and QoE provisioning. The agent performs an action from the action space of databases of haptic codecs approaches and is denoted as , where n refers to the total available haptic codecs as listed in Table 1. In our case, we have a total of seven codecs, so and action space is .
- Reward: The reward to the system is a scalar value. At each time, when an agent executes an action, the environment returns a reward as a response to the agent. The reward characterizes the behavior (good/bad) of the environment to action and the agent adjusts its policies based on the reward. In this system, our aim is to increase the network performance and provide QoS/QoE by minimizing the congestion that leads to delay and packet loss. The ITE uses the power function of the connection as a reward function and defined it as follows:where the is the throughput and Round Trip Time (RTT) total E2E delay that a packet experiences. So, the reward is explained as the ratio of throughput to RTT.
4. Result and Discussion
4.1. Simulation Setup
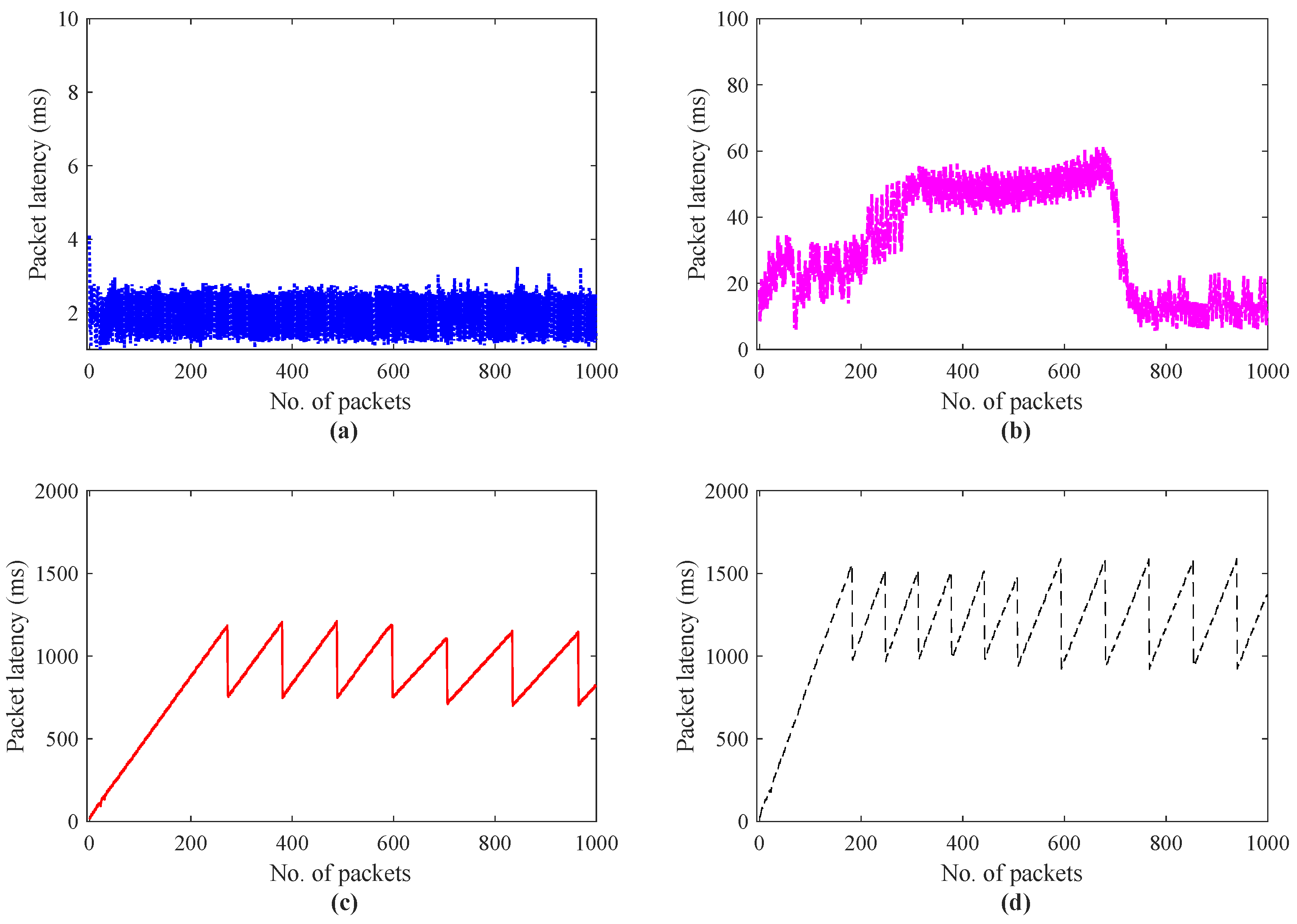
4.2. Latency Characterization
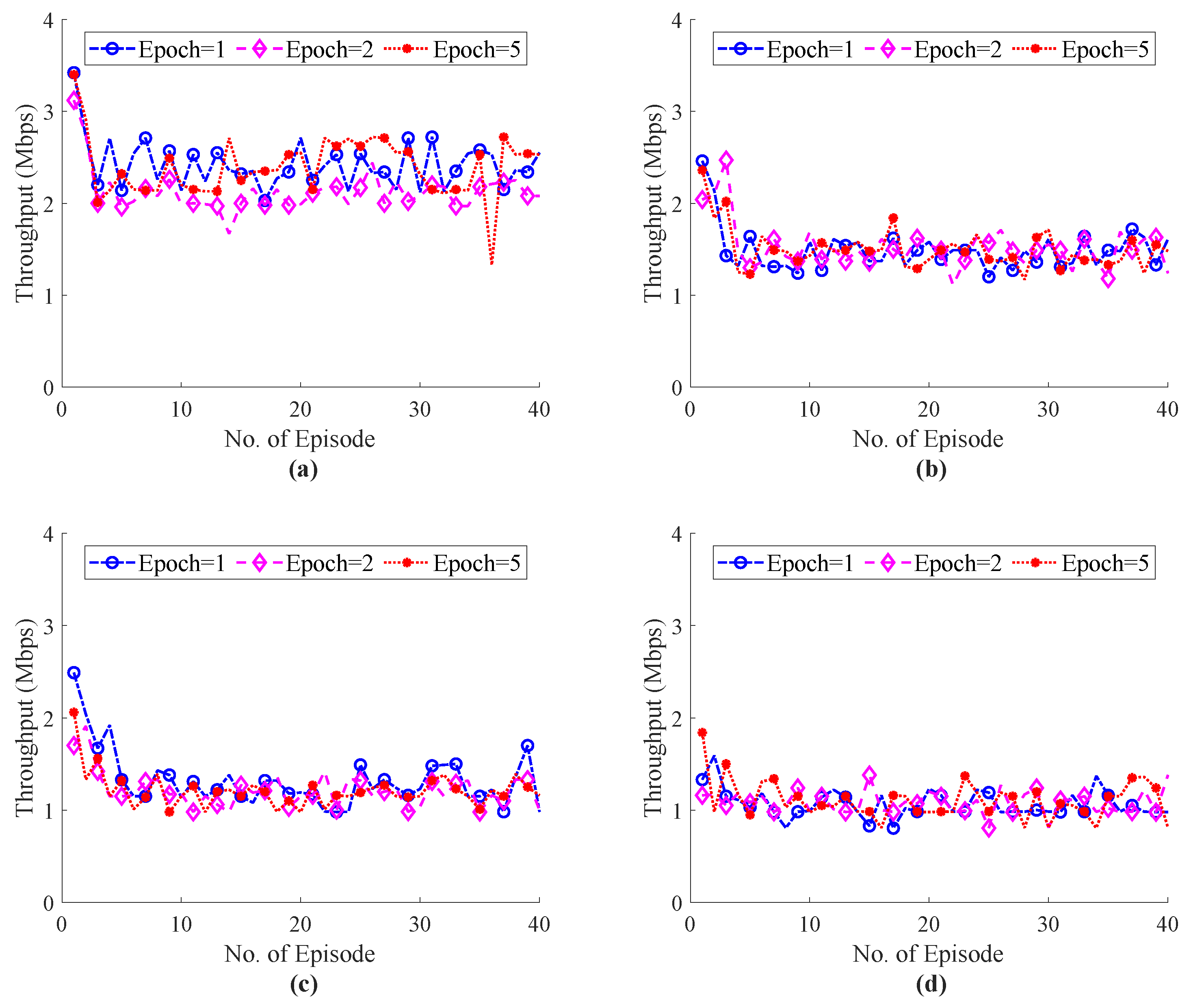
4.3. Learning Convergence
5. Discussion and Future Work Directions
6. Conclusions
Author Contributions
Funding
Institutional Review Board Statement
Informed Consent Statement
Data Availability Statement
Conflicts of Interest
Abbreviations
| ITE | Intelligent Tactile Edge |
| QoS | Quality of Service |
| QoE | Quality of Experience |
| URLLC | Ultra Reliable and Low Latency Communication |
| E2E | End-to-End |
| ECN | Explicit Congestion Notification |
| SNR | Signal-to-Noise Ratio |
| PSNR | Peak Signal-to-Noise Ratio |
| SSIM | Structural Similarity Index Measure |
| HSSIM | Haptic Structural Similarity Index Measure |
| MSE | Mean Square Error |
| MOS | Mean Opinion Score |
| Sig. | Significant |
| Not Sig. | Not Significant |
References
- Henry, S.; Alsohaily, A.; Sousa, E.S. 5G is real: Evaluating the compliance of the 3GPP 5G new radio system with the ITU IMT-2020 requirements. IEEE Access 2020, 8, 42828–42840. [Google Scholar] [CrossRef]
- Shafique, K.; Khawaja, B.A.; Sabir, F.; Qazi, S.; Mustaqim, M. Internet of things (IoT) for next-generation smart systems: A review of current challenges, future trends and prospects for emerging 5G-IoT scenarios. IEEE Access 2020, 8, 23022–23040. [Google Scholar] [CrossRef]
- Xu, Y.; Gui, G.; Gacanin, H.; Adachi, F. A survey on resource allocation for 5G heterogeneous networks: Current research, future trends, and challenges. IEEE Commun. Surv. Tutor. 2021, 23, 668–695. [Google Scholar] [CrossRef]
- Fettweis, G.P. The tactile internet: Applications and challenges. IEEE Veh. Technol. Mag. 2014, 9, 64–70. [Google Scholar] [CrossRef]
- Le, T.K.; Salim, U.; Kaltenberger, F. An overview of physical layer design for Ultra-Reliable Low-Latency Communications in 3GPP Releases 15, 16, and 17. IEEE Access 2020, 9, 433–444. [Google Scholar] [CrossRef]
- Chowdhury, M.Z.; Shahjalal, M.; Ahmed, S.; Jang, Y.M. 6G wireless communication systems: Applications, requirements, technologies, challenges, and research directions. IEEE Open J. Commun. Soc. 2020, 1, 957–975. [Google Scholar] [CrossRef]
- Zhang, Z.; Xiao, Y.; Ma, Z.; Xiao, M.; Ding, Z.; Lei, X.; Karagiannidis, G.K.; Fan, P. 6G wireless networks: Vision, requirements, architecture, and key technologies. IEEE Veh. Technol. Mag. 2019, 14, 28–41. [Google Scholar] [CrossRef]
- Giordani, M.; Polese, M.; Mezzavilla, M.; Rangan, S.; Zorzi, M. Toward 6G networks: Use cases and technologies. IEEE Commun. Mag. 2020, 58, 55–61. [Google Scholar] [CrossRef]
- Shahbazi, M.; Atashzar, S.F.; Patel, R.V. A systematic review of multilateral teleoperation systems IEEE Trans. Haptics 2018, 11, 338–356. [Google Scholar] [CrossRef] [PubMed]
- Ali, R.; Zikria, Y.B.; Garg, S.; Bashir, A.K.; Obaidat, M.S.; Kim, H.S. A Federated Reinforcement Learning Framework for Incumbent Technologies in Beyond 5G Networks. IEEE Netw. 2021, 35, 152–159. [Google Scholar] [CrossRef]
- Liyanage, M.; Pham, Q.V.; Dev, K.; Bhattacharya, S.; Maddikunta, P.K.R.; Gadekallu, T.R.; Yenduri, G. A survey on Zero touch network and Service (ZSM) Management for 5G and beyond networks. J. Netw. Comput. Appl. 2022, 10, 103362. [Google Scholar] [CrossRef]
- Siriwardhana, Y.; Porambage, P.; Liyanage, M.; Ylianttila, M. AI and 6G security: Opportunities and challenges. In Proceedings of the 2021 Joint European Conference on Networks and Communications & 6G Summit (EuCNC/6G Summit): 6G Visions (6GV), Porto, Portugal,, 8–11 June; 2021; pp. 616–621. [Google Scholar]
- Ateya, A.A.; Muthanna, A.; Gudkova, I.; Abuarqoub, A.; Vybornova, A.; Koucheryavy, A. Development of intelligent core network for tactile internet and future smart systems. J. Sens. Actuator Netw. 2018, 7, 1. [Google Scholar] [CrossRef]
- Bojkovic, Z.S.; Bakmaz, B.M.; Bakmaz, M.R. Vision and enabling technologies of tactile internet realization. In Proceedings of the 13th International Conference on Advanced Technologies, Systems and Services in Telecommunications (TELSIKS), Nis, Serbia, 18–20 October 2017; pp. 113–118. [Google Scholar]
- Holland, O.; Steinbach, E.; Prasad, R.V.; Liu, Q.; Dawy, Z.; Aijaz, A.; Pappas, N.; Chandra, K.; Rao, V.S.; Oteafy, S.; et al. The IEEE 1918.1 “tactile internet” standards working group and its standards. Proc. IEEE 2019, 107, 256–279. [Google Scholar] [CrossRef]
- Van Den Berg, D.; Glans, R.; De Koning, D.; Kuipers, F.A.; Lugtenburg, J.; Polachan, K.; Venkata, P.T.; Singh, C.; Turkovic, B.; Van Wijk, B. Challenges in haptic communications over the tactile internet. IEEE Access 2017, 5, 23502–23518. [Google Scholar] [CrossRef]
- Promwongsa, N.; Ebrahimzadeh, A.; Naboulsi, D.; Kianpisheh, S.; Belqasmi, F.; Glitho, R.; Crespi, N.; Alfandi, O. A comprehensive survey of the tactile internet: State-of-the-art and research directions. IEEE Commun. Surv. Tutor. 2020, 23, 472–523. [Google Scholar] [CrossRef]
- Antonakoglou, K.; Xu, X.; Steinbach, E.; Mahmoodi, T.; Dohler, M. Toward haptic communications over the 5G tactile Internet. IEEE Commun. Surv. Tutor. 2018, 20, 3034–3059. [Google Scholar] [CrossRef]
- Steinbach, E.; Strese, M.; Eid, M.; Liu, X.; Bhardwaj, A.; Liu, Q.; Al-Ja’afreh, M.; Mahmoodi, T.; Hassen, R.; El Saddik, A.; et al. Haptic codecs for the tactile internet. Proc. IEEE 2018, 107, 447–470. [Google Scholar] [CrossRef]
- Dohler, M. 5G Networks, Haptic Codecs, and the Operating Theatre. In Digital Surgery; Springer: Cham, Switzerland, 2021; pp. 71–86. [Google Scholar]
- Gokhale, V.; Nair, J.; Chaudhuri, S. Opportunistic adaptive haptic sampling on forward channel in telehaptic communication. In Proceedings of the 2016 IEEE Haptics Symposium (HAPTICS), Philadelphia, PA, USA, 8–11 April 2016; pp. 217–222. [Google Scholar]
- Liu, X.; Dohler, M. A data-driven approach to vibrotactile data compression. In Proceedings of the 2019 IEEE International Workshop on Signal Processing Systems (SiPS), Nanjing, China, 20–23 October 2019; pp. 341–346. [Google Scholar]
- Zeng, C.; Zhao, T.; Liu, Q.; Xu, Y.; Wang, K. Perception-lossless codec of haptic data with low delay. In Proceedings of the 28th ACM International Conference on Multimedia, Seattle, WA, USA, 12–16 October 2020; pp. 3642–3650. [Google Scholar]
- Hassen, R.; Gülecyüz, B.; Steinbach, E.G. Pvc-slp: Perceptual vibrotactile-signal compression based-on sparse linear prediction. IEEE Trans. Multimed. 2020, 23, 4455–4468. [Google Scholar] [CrossRef]
- Noll, A.; Gülecyüz, B.; Hofmann, A.; Steinbach, E. A rate-scalable perceptual wavelet-based vibrotactile codec. In Proceedings of the 2020 IEEE Haptics Symposium (HAPTICS), Washington, DC, USA, 28–31 March 2020; pp. 854–859. [Google Scholar]
- Gui, M.; Xu, X.; Steinbach, E. Adaptive Packet Rate Control for the Mitigation of Bursty Haptic Traffic in Teleoperation Systems. In Proceedings of the 2020 IEEE Haptics Symposium (HAPTICS), Washington, DC, USA, 28–31 March 2020; pp. 134–139. [Google Scholar]
- Kakade, S.; Chaudhuri, S. Perceptually Compressive Communication of Interactive Telehaptic Signal. In Proceedings of the International Conference on Human Haptic Sensing and Touch Enabled Computer Applications, Leiden, The Netherlands, 6 September 2020; pp. 480–488. [Google Scholar]
- Li, Z.; Hassen, R.; Wang, Z. Autoencoder for Vibrotactile Signal Compression. In Proceedings of the 2021 IEEE International Conference on Acoustics, Speech and Signal Processing (ICASSP), Toronto, ON, Canada, 6–11 June 2021; pp. 4290–4294. [Google Scholar]
- Nichols, K.; Jacobson, V. Controlling queue delay. Commun. ACM 2012, 55, 42–50. [Google Scholar] [CrossRef]
- Hoeiland-Joergensen, T.; McKenney, P.; Taht, D.; Gettys, J.; Dumazet, E. The Flow Queue CoDel Packet Scheduler and Active Queue Management Algorithm; Technical Report, No. RFC-8290; Internet Engineering Task Force: Fremont, CA, USA, 2018. [Google Scholar]
- Gomez, C.A.; Wang, X.; Shami, A. Intelligent active queue management using explicit congestion notification. In Proceedings of the 2019 IEEE Global Communications Conference (GLOBECOM), Waikoloa, HI, USA, 9–13 December 2019; pp. 1–6. [Google Scholar]
- Li, R.; Wang, C.; Zhao, Z.; Guo, R.; Zhang, H. The LSTM-based advantage actor-critic learning for resource management in network slicing with user mobility. CIEEE Commun. Lett. 2020, 24, 2005–2009. [Google Scholar] [CrossRef]
- Bhardwaj, A.; Cizmeci, B.; Steinbach, E.; Liu, Q.; Eid, M.; AraUjo, J.; El Saddik, A.; Kundu, R.; Liu, X.; Holland, O.; et al. A candidate hardware and software reference setup for kinesthetic codec standardization. In Proceedings of the 2017 IEEE International Symposium on Haptic, Audio and Visual Environments and Games (HAVE), Abu Dhabi, United Arab Emirates, 22–23 October 2017; pp. 1–6. [Google Scholar]
- Sodhro, A.H.; Luo, Z.; Sangaiah, A.K.; Baik, S.W. Mobile edge computing based QoS optimization in medical healthcare applications. Int. J. Inf. Manag. 2019, 45, 308–318. [Google Scholar] [CrossRef]
- Islam, M.Z.; Shahzad; Ali, R.; Haider, A.; Kim, H.S. IoTactileSim: A Virtual Testbed for Tactile Industrial Internet of Things Services. Sensors 2021, 21, 8363. [Google Scholar] [CrossRef] [PubMed]
- Islam, M.Z.; Ali, R.; Haider, A.; Kim, H.S. QoS Provisioning: Key Drivers and Enablers Towards the Tactile Internet in Beyond 5G Era. IEEE Access 2022, 10, 85720–85754. [Google Scholar] [CrossRef]















| Proposed Technique | Improved QoS/ | Effectiveness | Key Contribution |
|---|---|---|---|
| QoE Factor(s) | |||
| OAHS [21] | SNR | Mixed | Propose an adaptive sampling method to tune PDb thresholding in real time with a focus on minimizing network impairments for the telehaptic system. |
| Data-drive [22] | SSIM | Sig. | To meet the stringent requirements of Tactile Internet ultralow delayed, the data-driven technique was proposed. |
| PLC [23] | SNR, HSSIM | Sig. | To minimize the coding delay, and coding loss and to improve the bit error rate the E2E perceptual-lossless codec was presented to ensure the quality of tactile services. |
| PVC-SLP [24] | SNR, PSNR | Sig. | A sparse linear prediction coding-based vibrotactile technique was presented, where a cutaneous sensitivity function was employed to improve the quality of vibrotactile signals. |
| VC-PWQ [25] | SNR, PSNR | Sig. | Introduce a hybrid scheme by coupling wavelet transformation and vibrotactile perceptual model for haptic-driven applications. |
| Peak-Suppressing [26] | MSE | Mixed | Present a peak-suppressing scheme to adjust the PDb and reduce packet rate with a focus to minimize the network load that leads to delay and packet loss. |
| Adaptive Sampler [27] | MOS | Not Sig. | An adaptive sampling scheme for selected haptic sample transmission was presented to guarantee the QoS of the teleoperation systems. |
| Parameters | Settings Used |
|---|---|
| Simulation Setup | |
| Operation system | Ubuntu 18.04 |
| Programming | Python 3.8 |
| Network design emulator | Mininet 3.6.5 |
| Network Emulator | |
| Network topology | Mesh network of switches |
| IP suite | Transmission control protocol |
| Software switch type | Open vSwitch 2.9.8 |
| SDN based controller | OVS-controller |
| SDN controller protocol | OpenFlow |
| Link delay | Shortest route 1.6 ms |
| Link bandwidth | 20∼100 Mbps |
| Packet sampling Rate | 1 kHz∼3 Mbps |
| Q-Learning Algorithm | |
| Learning rate | 0.1, 0.5 |
| Discounted factor | 0.8 |
| Exploitation/Exploration coefficient | 0.5 |
| Episodes | 40 |
| No. of Training Epochs | 1–5 |
| Set of action space | 7 |
| Set of state space | 100 |
Publisher’s Note: MDPI stays neutral with regard to jurisdictional claims in published maps and institutional affiliations. |
© 2022 by the authors. Licensee MDPI, Basel, Switzerland. This article is an open access article distributed under the terms and conditions of the Creative Commons Attribution (CC BY) license (https://creativecommons.org/licenses/by/4.0/).
Share and Cite
Zubair Islam, M.; Shahzad; Ali, R.; Haider, A.; Kim, H.S. Reinforcement Learning-Aided Edge Intelligence Framework for Delay-Sensitive Industrial Applications. Sensors 2022, 22, 8001. https://doi.org/10.3390/s22208001
Zubair Islam M, Shahzad, Ali R, Haider A, Kim HS. Reinforcement Learning-Aided Edge Intelligence Framework for Delay-Sensitive Industrial Applications. Sensors. 2022; 22(20):8001. https://doi.org/10.3390/s22208001
Chicago/Turabian StyleZubair Islam, Muhammad, Shahzad, Rashid Ali, Amir Haider, and Hyung Seok Kim. 2022. "Reinforcement Learning-Aided Edge Intelligence Framework for Delay-Sensitive Industrial Applications" Sensors 22, no. 20: 8001. https://doi.org/10.3390/s22208001
APA StyleZubair Islam, M., Shahzad, Ali, R., Haider, A., & Kim, H. S. (2022). Reinforcement Learning-Aided Edge Intelligence Framework for Delay-Sensitive Industrial Applications. Sensors, 22(20), 8001. https://doi.org/10.3390/s22208001

