Embodying Language through Gestures: Residuals of Motor Memories Modulate Motor Cortex Excitability during Abstract Words Comprehension
Abstract
1. Introduction
2. Materials and Methods
2.1. Participants
2.2. Stimuli
2.3. Experimental Procedure
2.4. Single-Pulse TMS Protocol and MEPs Recording
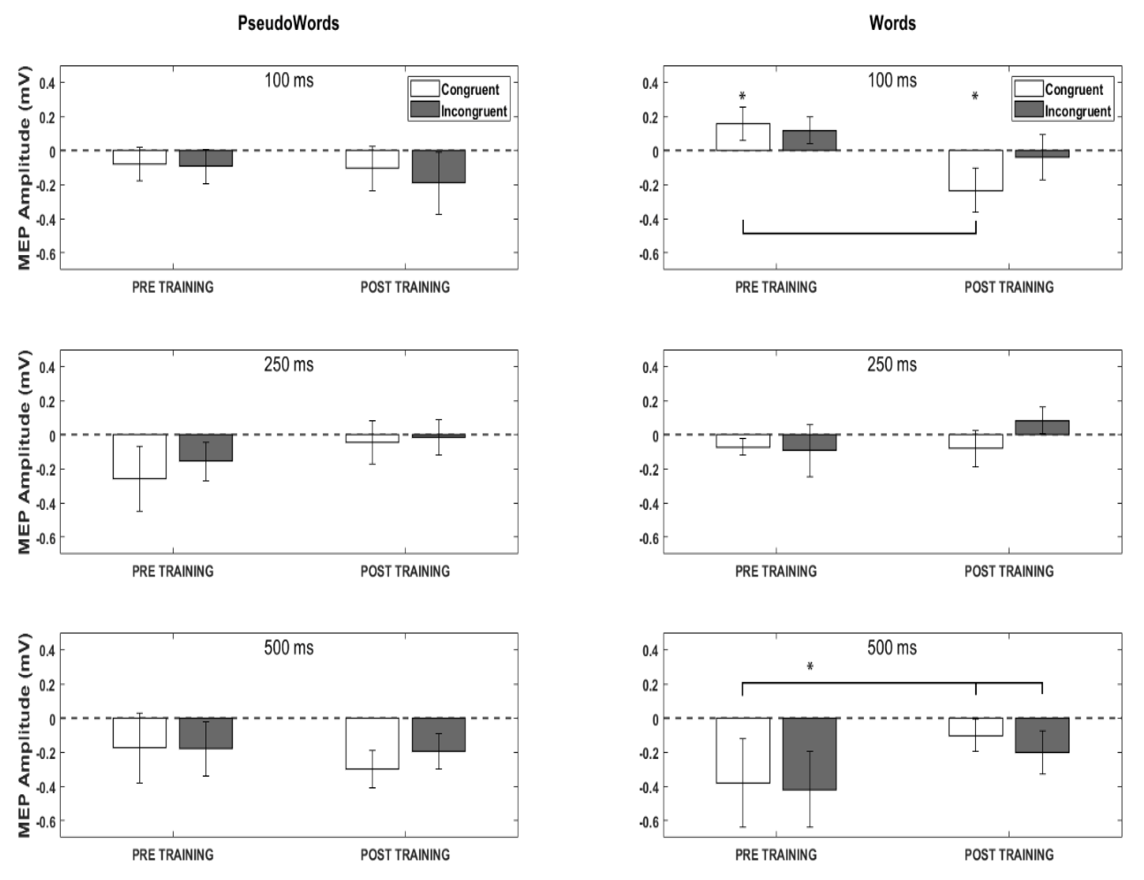
3. Results
4. Limitations
5. Discussion
Author Contributions
Funding
Institutional Review Board Statement
Informed Consent Statement
Data Availability Statement
Acknowledgments
Conflicts of Interest
References
- Paivio, A. Mental Representations: A Dual Coding Approach; Oxford University Press: Oxford, UK, 1990; ISBN 978-0-19-536200-8. [Google Scholar]
- Pecher, D.; Boot, I.; Van Dantzig, S. Chapter Seven—Abstract Concepts: Sensory-Motor Grounding, Metaphors, and Beyond. In Psychology of Learning and Motivation; Ross, B.H., Ed.; Advances in Research and Theory; Academic Press: Cambridge, MA, USA, 2011; Volume 54, pp. 217–248. [Google Scholar]
- Shallice, T.; Cooper, R.P. Is There a Semantic System for Abstract Words? Front. Hum. Neurosci. 2013, 7, 175. [Google Scholar] [CrossRef] [PubMed]
- Dove, G. Three Symbol Ungrounding Problems: Abstract Concepts and the Future of Embodied Cognition. Psychon. Bull. Rev. 2016, 23, 1109–1121. [Google Scholar] [CrossRef] [PubMed]
- Borghi, A.M.; Barca, L.; Binkofski, F.; Tummolini, L. Varieties of Abstract Concepts: Development, Use and Representation in the Brain. Philos. Trans. R. Soc. B Biol. Sci. 2018, 373, 20170121. [Google Scholar] [CrossRef] [PubMed]
- Buccino, G.; Colagè, I.; Silipo, F.; D’Ambrosio, P. The Concreteness of Abstract Language: An Ancient Issue and a New Perspective. Brain Struct. Funct. 2019, 224, 1385–1401. [Google Scholar] [CrossRef] [PubMed]
- Mkrtychian, N.; Blagovechtchenski, E.; Kurmakaeva, D.; Gnedykh, D.; Kostromina, S.; Shtyrov, Y. Concrete vs. Abstract Semantics: From Mental Representations to Functional Brain Mapping. Front. Hum. Neurosci. 2019, 13, 267. [Google Scholar] [CrossRef]
- Barsalou, L.W. Perceptual Symbol Systems. Behav. Brain Sci. 1999, 22, 577–660. [Google Scholar] [CrossRef]
- Barsalou, L.W. Grounded Cognition. Annu. Rev. Psychol. 2008, 59, 617–645. [Google Scholar] [CrossRef]
- Zwaan, R.A. The Immersed Experiencer: Toward an Embodied Theory of Language Comprehension. In The Psychology of Learning and Motivation: Advances in Research and Theory, Vol. 44; Elsevier Science: New York, NY, USA, 2004; pp. 35–62. ISBN 978-0-12-543344-0. [Google Scholar]
- Gallese, V.; Lakoff, G. The Brain’s Concepts: The Role of the Sensory-Motor System in Conceptual Knowledge. Cogn. Neuropsychol. 2005, 22, 455–479. [Google Scholar] [CrossRef]
- Mahon, B.Z.; Caramazza, A. A Critical Look at the Embodied Cognition Hypothesis and a New Proposal for Grounding Conceptual Content. J. Physiol.-Paris 2008, 102, 59–70. [Google Scholar] [CrossRef]
- Meteyard, L.; Cuadrado, S.R.; Bahrami, B.; Vigliocco, G. Coming of Age: A Review of Embodiment and the Neuroscience of Semantics. Cortex 2012, 48, 788–804. [Google Scholar] [CrossRef]
- Pulvermüller, F. Semantic Embodiment, Disembodiment or Misembodiment? In Search of Meaning in Modules and Neuron Circuits. Brain Lang. 2013, 127, 86–103. [Google Scholar] [CrossRef] [PubMed]
- Fernandino, L.; Humphries, C.J.; Conant, L.L.; Seidenberg, M.S.; Binder, J.R. Heteromodal Cortical Areas Encode Sensory-Motor Features of Word Meaning. J. Neurosci. 2016, 36, 9763–9769. [Google Scholar] [CrossRef]
- Harpaintner, M.; Trumpp, N.M.; Kiefer, M. Time Course of Brain Activity during the Processing of Motor- and Vision-Related Abstract Concepts: Flexibility and Task Dependency. Psychol. Res. 2020, 1–23. [Google Scholar] [CrossRef] [PubMed]
- Buccino, G.; Riggio, L.; Melli, G.; Binkofski, F.; Gallese, V.; Rizzolatti, G. Listening to Action-Related Sentences Modulates the Activity of the Motor System: A Combined TMS and Behavioral Study. Cogn. Brain Res. 2005, 24, 355–363. [Google Scholar] [CrossRef] [PubMed]
- Pulvermüller, F.; Shtyrov, Y.; Ilmoniemi, R. Brain Signatures of Meaning Access in Action Word Recognition. J. Cogn. Neurosci. 2005, 17, 884–892. [Google Scholar] [CrossRef]
- Dalla Volta, R.; Fabbri-Destro, M.; Gentilucci, M.; Avanzini, P. Spatiotemporal Dynamics during Processing of Abstract and Concrete Verbs: An ERP Study. Neuropsychologia 2014, 61, 163–174. [Google Scholar] [CrossRef]
- Dalla Volta, R.; Avanzini, P.; De Marco, D.; Gentilucci, M.; Fabbri-Destro, M. From Meaning to Categorization: The Hierarchical Recruitment of Brain Circuits Selective for Action Verbs. Cortex 2018, 100, 95–110. [Google Scholar] [CrossRef]
- Innocenti, A.; Stefani, E.D.; Sestito, M.; Gentilucci, M. Understanding of Action-Related and Abstract Verbs in Comparison: A Behavioral and TMS Study. Cogn Process 2014, 15, 85–92. [Google Scholar] [CrossRef]
- Glenberg, A.M.; Sato, M.; Cattaneo, L.; Riggio, L.; Palumbo, D.; Buccino, G. Processing Abstract Language Modulates Motor System Activity. Q. J. Exp. Psychol. 2008, 61, 905–919. [Google Scholar] [CrossRef]
- Scorolli, C.; Binkofski, F.; Buccino, G.; Nicoletti, R.; Riggio, L.; Borghi, A.M. Abstract and Concrete Sentences, Embodiment, and Languages. Front. Psychol. 2011, 2, 227. [Google Scholar] [CrossRef]
- Schaller, F.; Weiss, S.; Müller, H.M. EEG Beta-Power Changes Reflect Motor Involvement in Abstract Action Language Processing. Brain Lang. 2017, 168, 95–105. [Google Scholar] [CrossRef] [PubMed]
- Schaller, F.; Weiss, S.; Müller, H.M. “Pushing the Button While Pushing the Argument”: Motor Priming of Abstract Action Language. Cogn. Sci. 2017, 41, 1328–1349. [Google Scholar] [CrossRef] [PubMed]
- De Marco, D.; De Stefani, E.; Bernini, D.; Gentilucci, M. The Effect of Motor Context on Semantic Processing: A TMS Study. Neuropsychologia 2018, 114, 243–250. [Google Scholar] [CrossRef] [PubMed]
- Dreyer, F.R.; Frey, D.; Arana, S.; von Saldern, S.; Picht, T.; Vajkoczy, P.; Pulvermüller, F. Is the Motor System Necessary for Processing Action and Abstract Emotion Words? Evidence from Focal Brain Lesions. Front. Psychol. 2015, 6, 1661. [Google Scholar] [CrossRef]
- Dreyer, F.R.; Pulvermüller, F. Abstract Semantics in the Motor System?—An Event-Related FMRI Study on Passive Reading of Semantic Word Categories Carrying Abstract Emotional and Mental Meaning. Cortex 2018, 100, 52–70. [Google Scholar] [CrossRef]
- Glenberg, A.M.; Robertson, D.A. Indexical Understanding of Instructions. Discourse Process. 1999, 28, 1–26. [Google Scholar] [CrossRef]
- Glenberg, A.M.; Kaschak, M.P. Grounding Language in Action. Psychon. Bull. Rev. 2002, 9, 558–565. [Google Scholar] [CrossRef]
- Borghi, A.M.; Barca, L.; Binkofski, F.; Tummolini, L. Abstract Concepts, Language and Sociality: From Acquisition to Inner Speech. Philos. Trans. R. Soc. B Biol. Sci. 2018, 373, 20170134. [Google Scholar] [CrossRef]
- Borghi, A.M.; Binkofski, F. The WAT Proposal and the Role of Language. In Words as Social Tools: An Embodied View on Abstract Concepts; Borghi, A.M., Binkofski, F., Eds.; SpringerBriefs in Psychology; Springer: New York, NY, USA, 2014; pp. 19–37. ISBN 978-1-4614-9539-0. [Google Scholar]
- Granito, C.; Scorolli, C.; Borghi, A.M. Naming a Lego World. The Role of Language in the Acquisition of Abstract Concepts. PLoS ONE 2015, 10, e0114615. [Google Scholar] [CrossRef]
- Cangelosi, A.; Harnad, S. The Adaptive Advantage of Symbolic Theft over Sensorimotor Toil: Grounding Language in Perceptual Categories. Available online: http://cogprints.org/2036/ (accessed on 17 May 2021).
- Liberman, A.M.; Whalen, D.H. On the Relation of Speech to Language. Trends Cogn. Sci. 2000, 4, 187–196. [Google Scholar] [CrossRef]
- Gentilucci, M.; Corballis, M.C. From Manual Gesture to Speech: A Gradual Transition. Neurosci. Biobehav. Rev. 2006, 30, 949–960. [Google Scholar] [CrossRef] [PubMed]
- Passingham, R.E. The Frontal Lobes and Voluntary Action; Oxford University Press: New York, NY, USA, 1993; ISBN 978-0-19-852185-3. [Google Scholar]
- Rizzolatti, G.; Arbib, M.A. Language within Our Grasp. Trends Neurosci. 1998, 21, 188–194. [Google Scholar] [CrossRef]
- Petrides, M.; Pandya, D.N. Distinct Parietal and Temporal Pathways to the Homologues of Broca’s Area in the Monkey. PLoS Biol. 2009, 7, e1000170. [Google Scholar] [CrossRef] [PubMed]
- Coudé, G.; Ferrari, P.F.; Rodà, F.; Maranesi, M.; Borelli, E.; Veroni, V.; Monti, F.; Rozzi, S.; Fogassi, L. Neurons Controlling Voluntary Vocalization in the Macaque Ventral Premotor Cortex. PLoS ONE 2011, 6, e26822. [Google Scholar] [CrossRef] [PubMed]
- Corballis, M.C. How Language Evolved from Manual Gestures. Gesture 2012, 12, 200–226. [Google Scholar] [CrossRef]
- Andric, M.; Solodkin, A.; Buccino, G.; Goldin-Meadow, S.; Rizzolatti, G.; Small, S.L. Brain Function Overlaps When People Observe Emblems, Speech, and Grasping. Neuropsychologia 2013, 51, 1619–1629. [Google Scholar] [CrossRef]
- Gentilucci, M.; Fogassi, L.; Luppino, G.; Matelli, M.; Camarda, R.; Rizzolatti, G. Functional Organization of Inferior Area 6 in the Macaque Monkey. Exp. Brain Res. 1988, 71, 475–490. [Google Scholar] [CrossRef]
- Gentilucci, M.; Campione, G.C. Do Postures of Distal Effectors Affect the Control of Actions of Other Distal Effectors? Evidence for a System of Interactions between Hand and Mouth. PLoS ONE 2011, 6, e19793. [Google Scholar] [CrossRef][Green Version]
- Goldin-Meadow, S.; Alibali, M.W. Gesture’s Role in Speaking, Learning, and Creating Language. Annu. Rev. Psychol. 2013, 64, 257–283. [Google Scholar] [CrossRef]
- Özçalışkan, Ş.; Goldin-Meadow, S. Gesture Is at the Cutting Edge of Early Language Development. Cognition 2005, 96, B101–B113. [Google Scholar] [CrossRef]
- Colonnesi, C.; Stams, G.J.J.M.; Koster, I.; Noom, M.J. The Relation between Pointing and Language Development: A Meta-Analysis. Dev. Rev. 2010, 30, 352–366. [Google Scholar] [CrossRef]
- Kuhn, L.J.; Willoughby, M.T.; Wilbourn, M.P.; Vernon-Feagans, L.; Blair, C.B. Early Communicative Gestures Prospectively Predict Language Development and Executive Function in Early Childhood. Child Dev. 2014, 85, 1898–1914. [Google Scholar] [CrossRef] [PubMed]
- Barsalou, L.W. Grounded Cognition: Past, Present, and Future. Top. Cogn. Sci. 2010, 2, 716–724. [Google Scholar] [CrossRef]
- Bernardis, P.; Gentilucci, M. Speech and Gesture Share the Same Communication System. Neuropsychologia 2006, 44, 178–190. [Google Scholar] [CrossRef]
- Gentilucci, M.; Bernardis, P.; Crisi, G.; Volta, R.D. Repetitive Transcranial Magnetic Stimulation of Broca’s Area Affects Verbal Responses to Gesture Observation. J. Cogn. Neurosci. 2006, 18, 1059–1074. [Google Scholar] [CrossRef] [PubMed]
- De Marco, D.; De Stefani, E.; Gentilucci, M. Gesture and Word Analysis: The Same or Different Processes? NeuroImage 2015, 117, 375–385. [Google Scholar] [CrossRef] [PubMed]
- De Stefani, E.; De Marco, D. Language, Gesture, and Emotional Communication: An Embodied View of Social Interaction. Front. Psychol. 2019, 10, 2063. [Google Scholar] [CrossRef]
- Capirci, O.; Contaldo, A.; Caselli, M.C.; Volterra, V. From Action to Language through Gesture: A Longitudinal Perspective. Gesture 2005, 5, 155–177. [Google Scholar] [CrossRef]
- Volterra, V.; Capirci, O.; Rinaldi, P.; Sparaci, L. From Action to Spoken and Signed Language through Gesture: Some Basic Developmental Issues for a Discussion on the Evolution of the Human Language-Ready Brain. Interact. Stud. 2018, 19, 216–238. [Google Scholar] [CrossRef]
- Kendon, A. How Gestures Can Become like Words. In Cross-Cultural Perspectives in Nonverbal Communication; Hogrefe & Huber Publishers: Ashland, OH, USA, 1988; pp. 131–141. ISBN 978-3-8017-0278-6. [Google Scholar]
- Shtyrov, Y.; Butorina, A.; Nikolaeva, A.; Stroganova, T. Automatic Ultrarapid Activation and Inhibition of Cortical Motor Systems in Spoken Word Comprehension. Proc. Natl. Acad. Sci. USA 2014, 111, E1918–E1923. [Google Scholar] [CrossRef]
- Barbieri, F.; Buonocore, A.; Volta, R.D.; Gentilucci, M. How Symbolic Gestures and Words Interact with Each Other. Brain Lang. 2009, 110, 1–11. [Google Scholar] [CrossRef] [PubMed]
- Mayer, K.M.; Yildiz, I.B.; Macedonia, M.; von Kriegstein, K. Visual and Motor Cortices Differentially Support the Translation of Foreign Language Words. Curr. Biol. 2015, 25, 530–535. [Google Scholar] [CrossRef]
- Macedonia, M.; Mueller, K. Exploring the Neural Representation of Novel Words Learned through Enactment in a Word Recognition Task. Front. Psychol. 2016, 7, 953. [Google Scholar] [CrossRef] [PubMed]
- Repetto, C.; Pedroli, E.; Macedonia, M. Enrichment Effects of Gestures and Pictures on Abstract Words in a Second Language. Front. Psychol. 2017, 8, 2136. [Google Scholar] [CrossRef] [PubMed]
- Mathias, B.; Sureth, L.; Hartwigsen, G.; Macedonia, M.; Mayer, K.M.; von Kriegstein, K. Visual Sensory Cortices Causally Contribute to Auditory Word Recognition Following Sensorimotor-Enriched Vocabulary Training. Cereb. Cortex 2021, 31, 513–528. [Google Scholar] [CrossRef] [PubMed]
- Alibali, M.W.; DiRusso, A.A. The Function of Gesture in Learning to Count: More than Keeping Track. Cogn. Dev. 1999, 14, 37–56. [Google Scholar] [CrossRef]
- Ruciński, M.; Cangelosi, A.; Belpaeme, T. Robotic Model of the Contribution of Gesture to Learning to Count. In Proceedings of the 2012 IEEE International Conference on Development and Learning and Epigenetic Robotics (ICDL), San Diego, CA, USA, 7–9 November 2012; pp. 1–6. [Google Scholar]
- Cangelosi, A.; Stramandinoli, F. A Review of Abstract Concept Learning in Embodied Agents and Robots. Philos. Trans. R. Soc. B Biol. Sci. 2018, 373, 20170131. [Google Scholar] [CrossRef]
- Oldfield, R.C. The Assessment and Analysis of Handedness: The Edinburgh Inventory. Neuropsychologia 1971, 9, 97–113. [Google Scholar] [CrossRef]
- Wassermann, E.; Epstein, C.; Ziemann, U.; Walsh, V. Oxford Handbook of Transcranial Stimulation; OUP Oxford: Oxford, UK, 2008; ISBN 978-0-19-856892-6. [Google Scholar]
- Rossi, S.; Hallett, M.; Rossini, P.M.; Pascual-Leone, A. Safety, Ethical Considerations, and Application Guidelines for the Use of Transcranial Magnetic Stimulation in Clinical Practice and Research. Clin. Neurophysiol. 2009, 120, 2008–2039. [Google Scholar] [CrossRef]
- Villani, C.; Lugli, L.; Liuzza, M.T.; Nicoletti, R.; Borghi, A.M. Sensorimotor and Interoceptive Dimensions in Concrete and Abstract Concepts. J. Mem. Lang. 2021, 116, 104173. [Google Scholar] [CrossRef]
- Bertinetto, P.M.; Burani, C.; Laudanna, A.; Marconi, L.; Ratti, D.; Rolando, C.; Thornton, A.M. Colfis (Corpus e Lessico di Frequenza Dell’italiano Scritto). 2005, pp. 67–73. Available online: https://www.istc.cnr.it/grouppage/colfis (accessed on 21 October 2021).
- Pexman, P.M.; Heard, A.; Lloyd, E.; Yap, M.J. The Calgary Semantic Decision Project: Concrete/Abstract Decision Data for 10,000 English Words. Behav. Res. 2017, 49, 407–417. [Google Scholar] [CrossRef] [PubMed]
- Brainard, D.H. The Psychophysics Toolbox. Spat. Vis. 1997, 10, 433–436. [Google Scholar] [CrossRef] [PubMed]
- Kleiner, M.; Brainard, D.H.; Pelli, D.G. What is new in Psychophysics Toolbox. Perception 2007, 36, 416. [Google Scholar]
- Vainiger, D.; Labruna, L.; Ivry, R.B.; Lavidor, M. Beyond Words: Evidence for Automatic Language–Gesture Integration of Symbolic Gestures but Not Dynamic Landscapes. Psychol. Res. 2014, 78, 55–69. [Google Scholar] [CrossRef] [PubMed]
- Rizzolatti, G.; Cattaneo, L.; Fabbri-Destro, M.; Rozzi, S. Cortical Mechanisms Underlying the Organization of Goal-Directed Actions and Mirror Neuron-Based Action Understanding. Physiol. Rev. 2014, 94, 655–706. [Google Scholar] [CrossRef] [PubMed]
- Rizzolatti, G.; Sinigaglia, C. The Mirror Mechanism: A Basic Principle of Brain Function. Nat. Rev. Neurosci. 2016, 17, 757–765. [Google Scholar] [CrossRef]
- Pulvermüller, F.; Härle, M.; Hummel, F. Walking or Talking?: Behavioral and Neurophysiological Correlates of Action Verb Processing. Brain Lang. 2001, 78, 143–168. [Google Scholar] [CrossRef]
- Hauk, O.; Johnsrude, I.; Pulvermüller, F. Somatotopic Representation of Action Words in Human Motor and Premotor Cortex. Neuron 2004, 41, 301–307. [Google Scholar] [CrossRef]
- Pulvermüller, F.; Fadiga, L. Active Perception: Sensorimotor Circuits as a Cortical Basis for Language. Nat. Rev. Neurosci. 2010, 11, 351–360. [Google Scholar] [CrossRef]
- Kiefer, M.; Pulvermüller, F. Conceptual Representations in Mind and Brain: Theoretical Developments, Current Evidence and Future Directions. Cortex 2012, 48, 805–825. [Google Scholar] [CrossRef]
- de Vega, M.; Moreno, V.; Castillo, D. The Comprehension of Action-Related Sentences May Cause Interference Rather than Facilitation on Matching Actions. Psychol. Res. 2013, 77, 20–30. [Google Scholar] [CrossRef]
- Mollo, G.; Pulvermüller, F.; Hauk, O. Movement Priming of EEG/MEG Brain Responses for Action-Words Characterizes the Link between Language and Action. Cortex 2016, 74, 262–276. [Google Scholar] [CrossRef]
- Kousta, S.-T.; Vigliocco, G.; Vinson, D.P.; Andrews, M.; Del Campo, E. The Representation of Abstract Words: Why Emotion Matters. J. Exp. Psychol. Gen. 2011, 140, 14–34. [Google Scholar] [CrossRef]
- Vigliocco, G.; Kousta, S.-T.; Della Rosa, P.A.; Vinson, D.P.; Tettamanti, M.; Devlin, J.T.; Cappa, S.F. The Neural Representation of Abstract Words: The Role of Emotion. Cereb. Cortex 2014, 24, 1767–1777. [Google Scholar] [CrossRef]
- Moseley, R.; Carota, F.; Hauk, O.; Mohr, B.; Pulvermüller, F. A Role for the Motor System in Binding Abstract Emotional Meaning. Cereb. Cortex 2012, 22, 1634–1647. [Google Scholar] [CrossRef]
- Fischer, M.H.; Shaki, S. Number Concepts: Abstract and Embodied. Philos. Trans. R. Soc. B Biol. Sci. 2018, 373, 20170125. [Google Scholar] [CrossRef]
- Kiefer, M.; Barsalou, L.W. Grounding the Human Conceptual System in Perception, Action, and Internal States. In Action Science: Foundations of an Emerging Discipline; Prinz, W., Beisert, M., Herwig, A., Eds.; MIT Press: Cambridge, MA, USA, 2013; pp. 381–407. ISBN 978-0-262-01855-5. [Google Scholar]
- Fingerhut, J.; Prinz, J.J. Grounding Evaluative Concepts. Philos. Trans. R. Soc. B Biol. Sci. 2018, 373, 20170142. [Google Scholar] [CrossRef]
- Vukovic, N.; Shtyrov, Y. Learning with the Wave of the Hand: Kinematic and TMS Evidence of Primary Motor Cortex Role in Category-Specific Encoding of Word Meaning. NeuroImage 2019, 202, 116179. [Google Scholar] [CrossRef]
- Van Dam, W.O.; van Dijk, M.; Bekkering, H.; Rueschemeyer, S.-A. Flexibility in Embodied Lexical-Semantic Representations. Hum. Brain Mapp. 2012, 33, 2322–2333. [Google Scholar] [CrossRef]
- Lüke, C.; Ritterfeld, U.; Grimminger, A.; Rohlfing, K.J.; Liszkowski, U. Integrated Communication System: Gesture and Language Acquisition in Typically Developing Children and Children with LD and DLD. Front. Psychol. 2020, 11, 118. [Google Scholar] [CrossRef]
- Bonifazi, S.; Tomaiuolo, F.; Altoè, G.; Ceravolo, M.G.; Provinciali, L.; Marangolo, P. Action Observation as a Useful Approach for Enhancing Recovery of Verb Production: New Evidence from Aphasia. Eur. J. Phys. Rehabil. Med. 2013, 49, 473–481. [Google Scholar]
- Murteira, A.; Nickels, L. Can Gesture Observation Help People with Aphasia Name Actions? Cortex 2020, 123, 86–112. [Google Scholar] [CrossRef]


| Gesture Stimuli | Verbal Stimuli | |||
|---|---|---|---|---|
| Gesture | Congruent Words | Incongruent Words | Pseudowords | |
| Thumb up | Alright (BENE) | Air (ARIA) | NEBA | RITIA |
| Thumb Down | Badly (MALE) | Faith (FEDE) | LEMA | DIFE |
| Stop | Standstill (FERMO) | Idea (IDEA) | MERFO | DEIA |
| Significant Comparisons | T1: 100 ms | T2: 250 ms | T3: 500 ms | |
|---|---|---|---|---|
| Within stimulation time (p < 0.05) | PRE CW vs.POST IPW PRE CW vs. POST CW PRE IW vs. POST IPW PRE IW vs. POST CW PRE CPW vs. POST IW | PRE CW vs. POST CW PRE IW vs. POST CW | PRE CW vs. POST CW PRE IW vs. POST CW | |
| Between stimulation time (p < 0.05) | Congruent Words | Incongruent Words | ||
| PRE CW 100 vs. PRE CW 500 PRE CW 250 vs. PRE CW 500 | PRE IW 100 vs. PRE CW 500 PRE IW 250 vs. PRE CW 500 POST IW 250 vs. POST IW 500 | |||
Publisher’s Note: MDPI stays neutral with regard to jurisdictional claims in published maps and institutional affiliations. |
© 2022 by the authors. Licensee MDPI, Basel, Switzerland. This article is an open access article distributed under the terms and conditions of the Creative Commons Attribution (CC BY) license (https://creativecommons.org/licenses/by/4.0/).
Share and Cite
De Marco, D.; De Stefani, E.; Vecchiato, G. Embodying Language through Gestures: Residuals of Motor Memories Modulate Motor Cortex Excitability during Abstract Words Comprehension. Sensors 2022, 22, 7734. https://doi.org/10.3390/s22207734
De Marco D, De Stefani E, Vecchiato G. Embodying Language through Gestures: Residuals of Motor Memories Modulate Motor Cortex Excitability during Abstract Words Comprehension. Sensors. 2022; 22(20):7734. https://doi.org/10.3390/s22207734
Chicago/Turabian StyleDe Marco, Doriana, Elisa De Stefani, and Giovanni Vecchiato. 2022. "Embodying Language through Gestures: Residuals of Motor Memories Modulate Motor Cortex Excitability during Abstract Words Comprehension" Sensors 22, no. 20: 7734. https://doi.org/10.3390/s22207734
APA StyleDe Marco, D., De Stefani, E., & Vecchiato, G. (2022). Embodying Language through Gestures: Residuals of Motor Memories Modulate Motor Cortex Excitability during Abstract Words Comprehension. Sensors, 22(20), 7734. https://doi.org/10.3390/s22207734

