A Particleboard Surface Defect Detection Method Research Based on the Deep Learning Algorithm
Abstract
1. Introduction
2. Model Construction
2.1. Algorithm Research Framework
2.2. YOLO v5s Network Architecture
2.3. Seg-Lab v3+ Algorithm
2.3.1. Backbone Seg+ Module
2.3.2. RASPP Module
2.3.3. The FCAM Module (Feature Fusion Attention Mechanism)
3. Materials and Methods
3.1. Data Collection and Pre-Processing
3.2. Training Hyper-Parameters
3.3. Performance Evaluation Metrics
4. Results
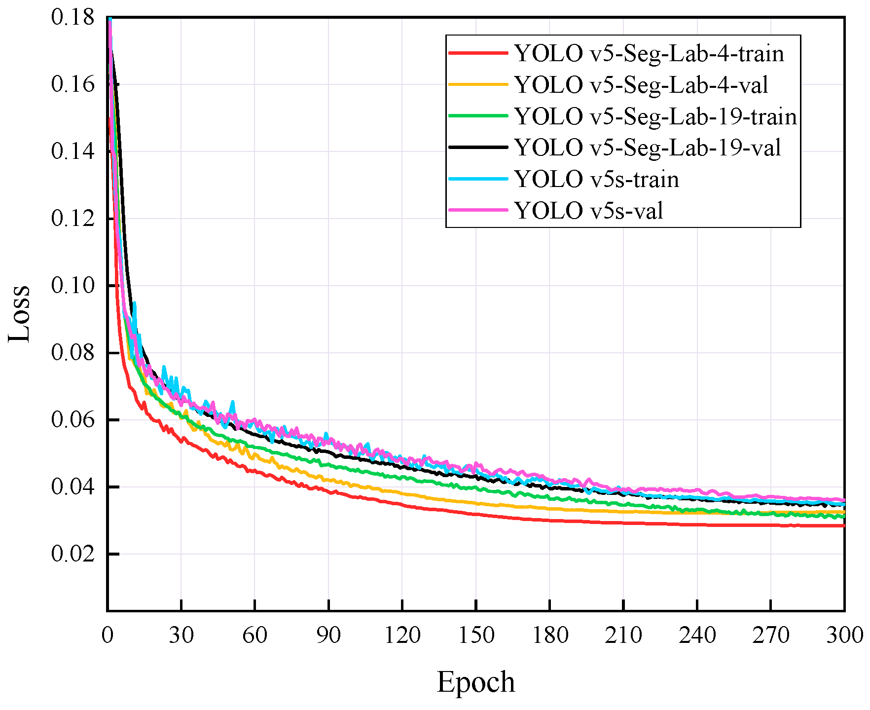
4.1. Training Results
4.2. Recognition Results of YOLO v5-Seg-Lab-4
4.3. Comparison of Different Algorithms
5. Discussion
6. Conclusions
Author Contributions
Funding
Institutional Review Board Statement
Informed Consent Statement
Data Availability Statement
Conflicts of Interest
References
- Silva, V.; Nascimento, M.; Oliveira, P.; Panzera, T.; Rezende, M.; Silva, D.; Aquino, V.; Lahr, F.; Christoforo, A. Circular vs. linear economy of building materials: A case study for particleboards made of recycled wood and biopolymer vs. conventional particleboards. Constr. Build. Mater. 2021, 285, 122906. [Google Scholar] [CrossRef]
- Palacios, P.; Fernández, F.G.; García-Iruela, A.; González-Rodrigo, B.; Esteban, L.G. Study of the influence of the physical properties of particleboard type P2 on the internal bond of panels using artificial neural networks. Comput. Electron. Agric. 2018, 155, 142–149. [Google Scholar] [CrossRef]
- Xia, B.Z.; Luo, H.; Shi, S.G. Improved Faster R-CNN Based Surface Defect Detection Algorithm for Plates. Comput. Intell. Neurosci. 2022, 2022, 3248722. [Google Scholar] [CrossRef] [PubMed]
- Zhao, Z.Y.; Yang, X.Y.; Ge, Z.D.; Sun, Q.Q.; Zhou, Y.C.; Liu, D.F. Real-time detection of particleboard surface defects based on improved YOLOV5 target detection. Sci. Rep. 2021, 11, 21777. [Google Scholar] [CrossRef]
- Yang, Y.; Shen, Y.J. History present state and future of non-destructive testing for Wood. Sci. Technol. Rev. 2010, 28, 113–117. [Google Scholar]
- Zhang, T.; Cheng, X.W.; Lu, W.D.; Liu, W.Q. Experimental Study on Testing Internal Hole Defects of Wood by Ultrasonic Method. J. Southwest For. Univ. 2016, 36, 121–125. [Google Scholar]
- Wang, Z.C.; Li, G.H.; Feng, H.L.; Fang, Y.M.; Fei, H. A method of wood defect identification and classification based on stress wave and SVM. J. Nanjing For. Univ. 2015, 39, 130–136. [Google Scholar]
- Qi, D.W.; Mu, H.B. Detection of wood defects types based on Hu invariant moments and BP neural network. J. Southeast Univ. 2013, 43, 63–66. [Google Scholar]
- Girshick, R.; Donahue, J.; Darrell, T.; Malik, J. Region-based convolutional networks for accurate object detection and segmentation. IEEE Trans. Pattern Anal. Mach. Intell 2015, 38, 142–158. [Google Scholar] [CrossRef] [PubMed]
- Ren, S.; He, K.; Girshick, R.; Sun, J. Faster R-CNN: Towards real-time object detection with region proposal networks. IEEE Trans. Pattern Anal. Mach. Intell 2016, 39, 1137–1149. [Google Scholar] [CrossRef] [PubMed]
- Redmon, J.; Divvala, S.; Girshick, R.; Farhadi, A. You only look once: Unified, real-time object detection. In Proceedings of the IEEE Conference on Computer Vision and Pattern Recognition, Las Vegas, NV, USA, 27–30 June 2016; pp. 779–788. [Google Scholar]
- Redmon, J.; Farhadi, A. YOLO9000: Better, Faster, Stronger. In Proceedings of the IEEE Conference on Computer Vision and Pattern Recognition, Honolulu, HI, USA, 21–26 July 2017; pp. 7263–7271. [Google Scholar]
- Redmon, J.; Farhadi, A. YOLO v3: An incremental improvement. arXiv 2018, arXiv:1804.02767. [Google Scholar]
- Bochkovskiy, A.; Wang, C.Y.; Liao, H.Y.M. YOLOv4: Optimal speed and accuracy of object detection. arXiv 2018, arXiv:2004.10934. [Google Scholar]
- Liu, W.; Anguelov, D.; Erhan, D.; Szegedy, C.; Reed, S.; Fu, C.Y.; Berg, A.C. SSD: Single shot multibox detector. In Proceedings of the the 14th European Conference on Computer Vision, Amsterdam, The Netherlands, 11–14 October 2016. [Google Scholar]
- Lin, T.Y.; Goyal, P.; Girshick, R.; He, K.; Dollar, P. Focal loss for dense object detection. In Proceedings of the IEEE International Conference on Computer Vision, Venice, Italy, 22–29 October 2017; pp. 2980–2988. [Google Scholar]
- Ronneberger, O.; Fischer, P.; Brox, T. U-net: Convolutional networks for biomedical image segmentation. In International Conference on Medical Image Computing and Computer-Assisted Intervention; Springer: Cham, Switzerland, 2015; pp. 234–241. [Google Scholar]
- Long, J.; Shelhamer, E.; Darrell, T. Fully convolutional networks for semantic segmentation. IEEE Trans. Pattern Anal. Mach. Intell 2014, 39, 40–51. [Google Scholar]
- Chen, L.C.; Papandreou, G.; Kokkinos, I.; Murphy, K.; Yuille, A.L. Semantic image segmentation with deep convolutional nets and fully connected CRFs. Comput. Sci. 2014, 4, 357–361. [Google Scholar]
- Chen, Z.; Ting, D.; Newbury, R.; Chen, C. Semantic segmentation for partially occluded apple trees based on deep learning. Comput. Electron. Agric. 2021, 181, 105952. [Google Scholar] [CrossRef]
- Chen, L.C.; Papandreou, G.; Schroff, F.; Adam, H. Rethinking atrous convolution for semantic image segmentation. arXiv 2017, arXiv:1706.05587. [Google Scholar]
- Chen, L.C.; Zhu, Y.; Papandreou, G.; Schroff, F.; Adam, H. Encoder-Decoder with atrous separable convolution for semantic image segmentation. In Proceedings of the European Conference on Computer Vision, ECCV, Munich, Germany, 8–14 September 2018; pp. 801–818. [Google Scholar]
- Silven, O.; Niskanen, M.; Kauppinen, H. Wood inspection with non-supervised clustering. Mach. Vis. Appl. 2013, 13, 275–285. [Google Scholar] [CrossRef]
- Huang, G.; Liu, Z.; Van Der Maaten, L.; Weinberger, K.Q. Densely Connected Convolutional Networks. In Proceedings of the 2017 IEEE Conference on Computer Vision and Pattern Recognition (CVPR), Honolulu, HI, USA, 21–26 July 2017; pp. 2261–2269. [Google Scholar]
- Jia, A.; Xue, X.; Wang, Y.; Luo, X.; Xue, W. An integrated approach to automatic pixel-level crack detection and quantification of asphalt pavement. Autom. Constr. 2020, 114, 103176. [Google Scholar] [CrossRef]
- Dong, Z.; Li, J.; Fang, T.; Shao, X. Lightweight boundary refinement module based on point supervision for semantic segmentation. Image Vis. Comput. 2021, 110, 104169. [Google Scholar] [CrossRef]
- Fan, J.N.; Liu, Y.; Hu, Z.K.; Zhao, Q.; Shen, L.X.; Zhou, X.L. Solid wood panel defect detection and recognition system based on Faster R-CNN. J. For. Eng. 2019, 4, 112–117. [Google Scholar]
- Ye, W. Research on rapid identification algorithm of wood defects based on LBP feature extraction. Electron. Compon. Inf. Technol. 2019, 3, 69–72. [Google Scholar]
- Shi, J.; Li, Z.; Zhu, T.; Wang, D.Y.; Chao, N. Defect Detection of Industry Wood Veneer Based on NAS and Multi-Channel Mask R-CNN. Sensors 2020, 20, 4398. [Google Scholar] [CrossRef] [PubMed]
- Kou, X.; Liu, S.; Cheng, K.; Qian, Y. Development of a YOLO-V3-based model for detecting defects on steel strip surface. Measurement 2021, 182, 109454. [Google Scholar] [CrossRef]
- Bai, T.; Yang, J.; Xu, G.; Yao, D. An optimized railway fastener detection method based on modified Faster R-CNN. Measurement 2021, 182, 109742. [Google Scholar] [CrossRef]
- Majidifard, H.; Adu-Gyamfi, Y.; Buttlar, W. Deep machine learning approach to develop a new asphalt pavement condition index. Constr. Build. Mater. 2020, 247, 118513. [Google Scholar] [CrossRef]
- Huang, Z.; Wang, J.; Fu, X.; Yu, T.; Guo, Y.; Wang, R. DC-SPP-YOLO: Dense connection and spatial pyramid pooling based YOLO for object detection. Inf. Sci. 2020, 522, 241–258. [Google Scholar] [CrossRef]
- Wu, D.H.; Lv, S.C.; Jiang, M.; Song, H.B. Using channel pruning-based YOLO v4 deep learning algorithm for the real-time and accurate detection of apple flowers in natural environments. Comput. Electron. Agric. 2020, 178, 105742. [Google Scholar] [CrossRef]
- Kuang, X.; Gao, X.; Wang, L.; Zhao, G.; Ke, L.; Zhang, Q. A discrete cosine transform-based query efficient attack on black-box object detectors. Inf. Sci. 2021, 546, 596–607. [Google Scholar] [CrossRef]
- Peng, X.; Zhong, X.; Zhao, C.; Chen, A.; Zhang, T. A UAV-based machine vision method for bridge crack recognition and width quantification through hybrid feature learning. Constr. Build. Mater. 2021, 299, 1238962. [Google Scholar] [CrossRef]
- Pan, Z.; Yang, J.; Wang, X.; Wang, F.; Azim, I.; Wang, C. Image-based surface scratch detection on architectural glass panels using deep learning approach. Constr. Build. Mater. 2021, 282, 122717. [Google Scholar] [CrossRef]
- Wang, C.Y.; Liao, H.Y.M.; Wu, Y.H.; Chen, P.Y.; Hsieh, J.W.; Yeh, I.H. CSPNet: A new backbone that can enhance learning capability of CNN. In Proceedings of the IEEE Computer Society Conference on Computer Vision and Pattern Recognition Workshops, Seattle, WA, USA, 16–18 June 2020; pp. 1571–1580. [Google Scholar]
- He, K.; Zhang, X.; Ren, S.; Sun, J. Spatial Pyramid Pooling in Deep Convolutional Networks for Visual Recognition. IEEE Trans. Pattern Anal. Mach. Intell. 2015, 37, 1904–1916. [Google Scholar] [CrossRef] [PubMed]
- Yao, Z.; He, D.; Chen, Y.; Liu, B.; Miao, J.; Deng, J.; Shan, S. Inspection of exterior substance on high-speed train bottom based on improved deep learning method. Measurement 2020, 163, 108013. [Google Scholar] [CrossRef]
- Zhu, J.; Li, X.; Zhang, C.; Shi, T. An accurate approach for obtaining spatiotemporal information of vehicle loads on bridges based on 3D bounding box reconstruction with computer vision. Measurement 2021, 181, 109657. [Google Scholar] [CrossRef]
- Ding, F.; Zhuang, Z.; Liu, Y.; Jiang, D.; Yan, X.N.; Wang, Z.G. Detecting Defects on Solid Wood Panels Based on an Improved SSD Algorithm. Sensors 2020, 20, 5315. [Google Scholar] [CrossRef]











| Serial Number | Classification Type | Defect Characteristics | The Grayscale Amplitude of the Image | Interpretation Features | Total Number of Defects after Augmentation |
|---|---|---|---|---|---|
| 1 | SandLeakage | ![]() | ![]() | Dark gray, large area, a gray value close to the board gray value, difficult to identify. | 809 |
| 2 | BigShavings | ![]() | ![]() | White thin strip, small size, the large gap between gray value and board gray value. | 2021 |
| 3 | GlueSpot | ![]() | ![]() | Black, round and spherical, small in size, the large gap between gray value and board gray value. | 2736 |
| 4 | OilPollution | ![]() | ![]() | Black, wide strip, the large gap between gray value and board gray value. | 1310 |
| 5 | Soft | ![]() | ![]() | Dark gray and white, gray value and board gray value similar, difficult to identify. | 3526 |
| Training Parameters | Values |
|---|---|
| Initial learning rate | 0.0015 |
| Final learning rate | 0.2 |
| Optimizer | Adam |
| Momentum | 0.937 |
| Weight decay | 0.0005 |
| Train batch size | 32 |
| Epochs | 300 |
| Class | Precision (%) | Recall (%) | F1 Score (%) | mAP (%) |
|---|---|---|---|---|
| SandLeakage | 88.7 | 92.5 | 90.6 | 92.1 |
| BigShavings | 93.6 | 84.3 | 88.7 | 90.5 |
| GlueSpot | 93.5 | 84.5 | 88.8 | 90.8 |
| OilPollution | 95.5 | 90.1 | 92.7 | 94.9 |
| Soft | 90.5 | 97.8 | 94.0 | 97.9 |
| All | 92.4 | 89.8 | 91.1 | 93.2 |
| Model | mAP (%) | Single-Image Recognition Time (ms/pic) | FPS | Number of Parameters | Size of Model (MB) |
|---|---|---|---|---|---|
| YOLO v5-Seg-Lab-4 | 93.2 | 17.85 | 56.02 | 7,952,864 | 15.9 |
| YOLO v5-Seg-Lab-19 | 89.3 | 18.91 | 52.88 | 7,959,008 | 15.9 |
| YOLO v5s | 90.8 | 17.63 | 56.72 | 7,257,790 | 14 |
| YOLO v4 | 87.6 | 70.36 | 14.21 | 63,913,079 | 244 |
| YOLO v3 | 80.7 | 89.63 | 11.16 | 61,528,501 | 235 |
| Model | mIoU | Single-Image Recognition Time (ms/pic) | FPS | Number of Parameters |
|---|---|---|---|---|
| YOLO v5-Seg-Lab-4 | 0.7663 | 17.85 | 56.02 | 7,952,864 |
| YOLO v5-Seg-Lab-19 | 0.7244 | 18.91 | 52.88 | 7,959,008 |
| DeepLab v3+ (MobileNet v2) | 0.7248 | 181.81 | 5.51 | 2,753,714 |
| DeepLab v3+ (Xception) | 0.7369 | 213.22 | 4.69 | 4,253,330 |
| U-Net | 0.6925 | 265.96 | 3.76 | 31,032,837 |
| Class | Origin Image | Ground Truth | YOLO v5-Seg-Lab-4 | YOLO v5-Seg-Lab-19 | DeepLab v3+ (Xception) | DeepLab v3+ (MobileNet v2) | U-Net |
|---|---|---|---|---|---|---|---|
| Sand-Leakage | ![]() | ![]() | ![]() | ![]() | ![]() | ![]() | ![]() |
| Big-Shavings | ![]() | ![]() | ![]() | ![]() | ![]() | ![]() | ![]() |
| GlueSpot | ![]() | ![]() | ![]() | ![]() | ![]() | ![]() | ![]() |
| Oil-Pollution | ![]() | ![]() | ![]() | ![]() | ![]() | ![]() | ![]() |
| Soft | ![]() | ![]() | ![]() | ![]() | ![]() | ![]() | ![]() |
| Defective Board | Average Value | |||||
|---|---|---|---|---|---|---|
| Defect Classes | SandLeakage | BigShavings | GlueSpot | OilPollution | Soft | |
| Detection rate | 96% | 97% | 100% | 98% | 100% | 98.2% |
| Missed detection rate | 4% | 3% | 0 | 2% | 0 | 1.8% |
Publisher’s Note: MDPI stays neutral with regard to jurisdictional claims in published maps and institutional affiliations. |
© 2022 by the authors. Licensee MDPI, Basel, Switzerland. This article is an open access article distributed under the terms and conditions of the Creative Commons Attribution (CC BY) license (https://creativecommons.org/licenses/by/4.0/).
Share and Cite
Zhao, Z.; Ge, Z.; Jia, M.; Yang, X.; Ding, R.; Zhou, Y. A Particleboard Surface Defect Detection Method Research Based on the Deep Learning Algorithm. Sensors 2022, 22, 7733. https://doi.org/10.3390/s22207733
Zhao Z, Ge Z, Jia M, Yang X, Ding R, Zhou Y. A Particleboard Surface Defect Detection Method Research Based on the Deep Learning Algorithm. Sensors. 2022; 22(20):7733. https://doi.org/10.3390/s22207733
Chicago/Turabian StyleZhao, Ziyu, Zhedong Ge, Mengying Jia, Xiaoxia Yang, Ruicheng Ding, and Yucheng Zhou. 2022. "A Particleboard Surface Defect Detection Method Research Based on the Deep Learning Algorithm" Sensors 22, no. 20: 7733. https://doi.org/10.3390/s22207733
APA StyleZhao, Z., Ge, Z., Jia, M., Yang, X., Ding, R., & Zhou, Y. (2022). A Particleboard Surface Defect Detection Method Research Based on the Deep Learning Algorithm. Sensors, 22(20), 7733. https://doi.org/10.3390/s22207733













































