Research on the Dual Modulation of All-Fiber Optic Current Sensor
Abstract
:1. Introduction
2. Principle of Operation
2.1. Optical Design
2.2. Signal Demodulation Algorithm
3. Modeling and Simulation
3.1. Ratio Error
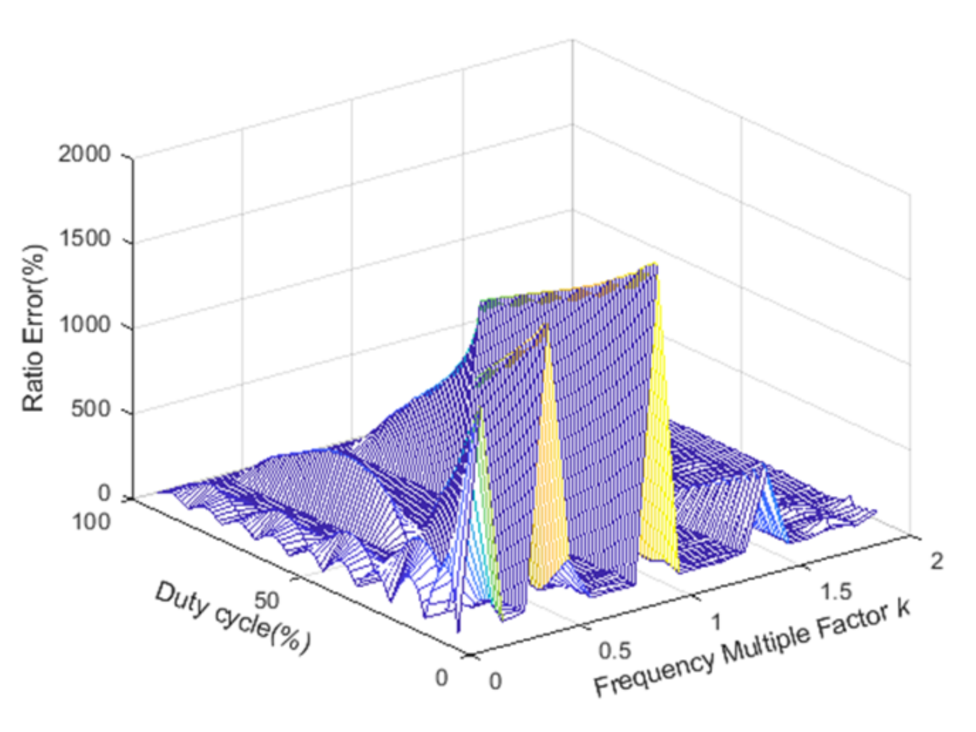
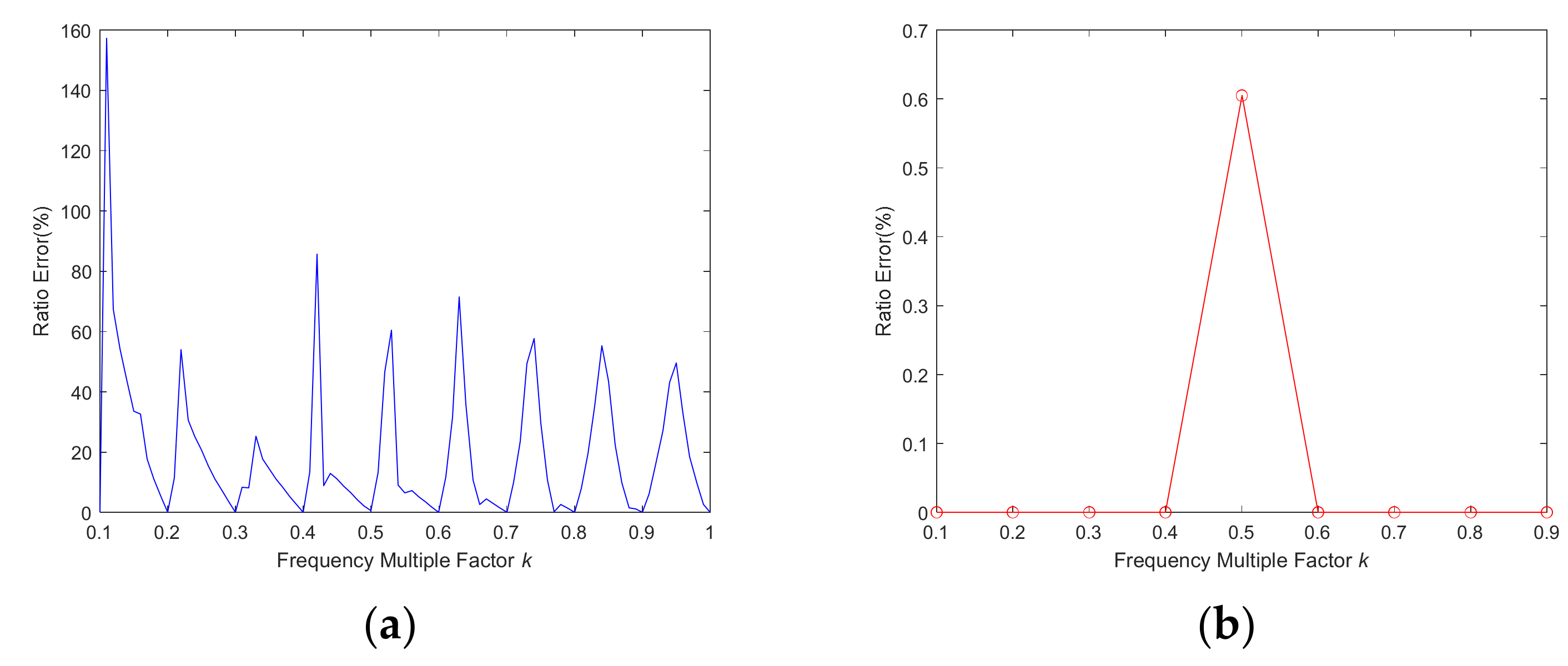
3.1.1. The Effects of Frequency Multiplication Factor
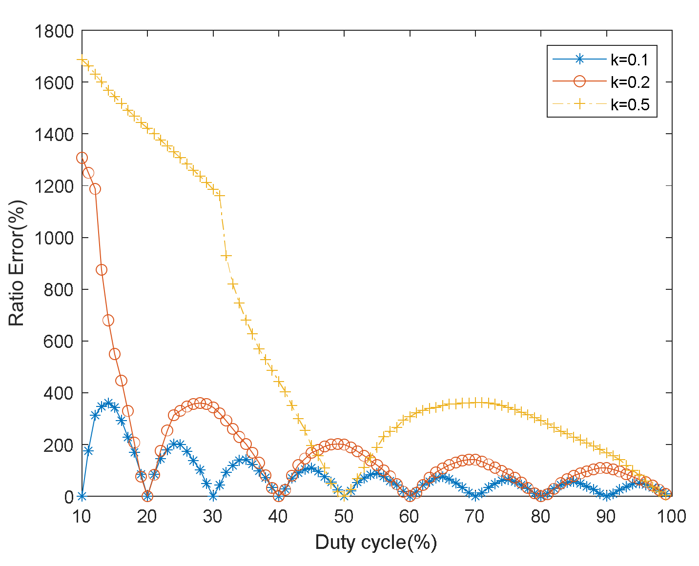
3.1.2. The Effects of Duty Cycle
3.2. Scale Factor
4. Experiments and Discussion
4.1. Experimental System
4.2. Result and Discussion
4.2.1. The Effect of Duty Cycle
4.2.2. The Effect of the Frequency Multiplication Factor
5. Conclusions
Author Contributions
Funding
Institutional Review Board Statement
Informed Consent Statement
Acknowledgments
Conflicts of Interest
References
- Blake, J.; Tantaswadi, P.; Carvalho, R. In-line Sagnac interferometer current sensor. IEEE Trans. Power Deliv. 1996, 11, 116–121. [Google Scholar] [CrossRef]
- Chen, J.; Xu, Q.; Wang, K. Research and Application of Generator Protection Based on Fiber Optical Current Transformer. IEEE Access 2020, 8, 172405–172411. [Google Scholar] [CrossRef]
- Gubin, V.P.; Starostin, N.I.; Przhiyalkovsky, Y.V.; Morshnev, S.K.; Sazonov, A.I. Recording of pulsed currents by a fibre-optic Faraday effect-based sensor with limited frequency band. Quantum Electron. 2019, 49, 887–893. [Google Scholar] [CrossRef]
- Zhao, J.; Shi, L.; Sun, X.H. Design and Performance Study of a Temperature Compensated ±1100-kV UHVDC All Fiber Current Transformer. IEEE Trans. Instrum. Meas. 2021, 70, 7001206. [Google Scholar] [CrossRef]
- Gusarov, A.; Leysen, W.; Beaumont, P.; Wuilpart, M.; Dandu, P.; Boboc, A.; Croft, D.; Bekris, N.; Batistoni, P. Performance assessment of plasma current measurement at JET using fibre optics current sensor. Fusion Eng. Des. 2021, 165, 112228. [Google Scholar] [CrossRef]
- Yang, F.Q.; Sun, S.P.; Sima, W.X.; He, Y.X.; Luo, M.D. Progress of Advanced Voltage/Current Sensing Techniques for Smart Grid. High Volt. Eng. 2019, 45, 349–367. [Google Scholar]
- Burns, W.K.; Chen, C.L.; Moeller, R.P. Fiber-Optic Gyroscopes with Broad-Band Sources. J. Light. Technol. 1983, 1, 98–105. [Google Scholar] [CrossRef]
- Burns, W.; Moeller, R. Polarizer Requirements for Fiber Gyroscopes with High-Birefringence Fiber and Broad-Band Sources. J. Lightwave Technol. 1984, 2, 430–435. [Google Scholar] [CrossRef]
- Zhang, H.; Qiu, Y.; Li, H.; Huang, A.; Chen, H.; Li, G. High-current-sensitivity all-fiber current sensor based on fiber loop architecture. Opt. Express 2012, 20, 18591. [Google Scholar] [CrossRef] [PubMed]
- Liu, Y.; Chen, J.B.; Shu, X.M.; Hu, W.P.; Ding, Q.Y.; Ma, Z.Y.; Wei, Z.B. Fiber Optical Current Transformers based on Modulated Light Source. J. Xi’an Jiao Tong Univ. 2008, 42, 436–439. [Google Scholar]
- Zhang, H.; Jiang, J.; Zhang, Y.; Chen, H.; Zhao, N.; Lin, L.; Qiu, Y. A loop all-fiber current sensor based on single-polarization single-mode couplers. Sensors 2017, 17, 2674. [Google Scholar] [CrossRef] [PubMed] [Green Version]
- Du, J.; Tao, Y.; Liu, Y.; Ma, L.; Zhang, W.; He, Z. Highly sensitive and reconfigurable fiber optic current sensor by optical recirculating in a fiber loop. Opt. Express 2016, 24, 17980. [Google Scholar] [CrossRef] [PubMed]
- Xin, G.; Zhu, J.; Luo, C.; Tang, J.; Li, W.; Cao, Y.; Xu, H. Polarization Error Analysis of an All-Optical Fibre Small Current Sensor for Partial Discharge. J. Electr. Eng. Technol. 2020, 15, 2199–2210. [Google Scholar] [CrossRef]
- Wu, J.; Zhang, X.; Chen, L.; Wu, B. Research on Measurement Technology of Ship Leakage Current by All-Fiber Optic Current Sensor. IEEE Access 2021, 9, 160268–160276. [Google Scholar] [CrossRef]
- Mihailovic, P.; Petricevic, S. Fiber Optic Sensors Based on the Faraday Effect. Sensors 2021, 21, 6564. [Google Scholar] [CrossRef] [PubMed]
- Pang, F.B.; Liu, Y.; Yuan, Y.B.; Gao, L. Influencing factors analysis on the detector output signal of fiber optic current transformer with sine modulation. Meas. J. Int. Meas. Confed. 2020, 151, 107151. [Google Scholar] [CrossRef]
- Cai, W.; Xing, J.H.; Yang, Z.Y. Contributions to Verdet constant of magneto-optical materials. Wuli Xuebao/Acta Phys. Sin. 2017, 66, 218–224. [Google Scholar] [CrossRef]
- Hu, G.S. Digital Signal Processing Theory, Algorithm and Implementation, 3rd ed.; Tsinghua University Press: Beijing, China, 2012; pp. 102–117. [Google Scholar]
- Lin, W.G. Application of the Approximate Evaluation of Bessel Functions to Frequency Modulation System. Wuli Xuebao/Acta Phys. 1955, 11, 411–419. [Google Scholar]
- Gao, J.Z. Detection of Weak Signals, 2nd ed.; Tsinghua University Press: Beijing, China, 2011; pp. 173–182. [Google Scholar]
- Hu, B.; Xiao, H.; Li, J.G.; Wei, S.P.; Li, H.B.; Li, Y.B.; Wang, X.Z.; Liu, D.W.; Yang, C.H. Noise Analysis and SNR Optimization Design of Fiber Optical Current Transforms. High Voltage Eng. 2017, 43, 654–660. [Google Scholar]
- Available online: https://www.zhinst.cn/china/en/products/mfli-lock-amplifier#multi-device-synchronization (accessed on 30 November 2021).















| Equipment or Device | Enterprise or Brand | Model or Main Parameters |
|---|---|---|
| Light source | Thorlabs China Co., Ltd., Shanghai, China. | S5FC1018P. |
| Polarizer | MC Fiber Optics Co., Ltd., Shenzhen, China. | The extinction ratio is no less than 28 dB. |
| Circulator | MC Fiber Optics Co., Ltd., Shenzhen, China. | |
| EOM | SWT OPTICS Co., Ltd., Beijing, China | The half-wave voltage is 4 V. |
| Delay line | YOFC Optical Fiber and Cable Co., Ltd., Wuhan, China | PM1016-A. |
| Quarter-wave plate | Do it by ourselves. | |
| Sensing fiber | YOFC Optical Fiber and Cable Co., Ltd., Wuhan, China. | SH-1016A, beat length is 10 mm, the spin pitch is 5 mm |
| Mirror | YOFC Optical Fiber and Cable Co., Ltd., Wuhan, China. | Reflectivity is greater than 99%@1310 nm. |
| Photodetector | Conquer Co., Ltd., Beijing, China. | KG-HSP. |
| Lock-in amplifier | Zurich Instruments China, Shanghai, China. | MFLI 500 kHz. |
| DC stabilized power supply | Rohde & Schwarz, Muenchen, Germany. | HMP4040. |
| Signal generator | Tektronix China Inc., Shanghai, China. | AFG 1062. |
| Duty Cycle | Frequency Multiplication Factors | Ratio Error | Normalized Scale Factor |
|---|---|---|---|
| 50% | 0.3 | 20.59% | 0.5279 |
| 50% | 0.7 | 5.24% | 0.5710 |
| 50% | 0.9 | 3.19% | 0.5725 |
| 30% | 0.3 | 9.27% | 0.3309 |
| 70% | 0.7 | 4.65% | 0.7608 |
| 90% | 0.9 | 1.79% | 1 |
Publisher’s Note: MDPI stays neutral with regard to jurisdictional claims in published maps and institutional affiliations. |
© 2022 by the authors. Licensee MDPI, Basel, Switzerland. This article is an open access article distributed under the terms and conditions of the Creative Commons Attribution (CC BY) license (https://creativecommons.org/licenses/by/4.0/).
Share and Cite
Wu, J.; Zhang, X.; Chen, L. Research on the Dual Modulation of All-Fiber Optic Current Sensor. Sensors 2022, 22, 430. https://doi.org/10.3390/s22020430
Wu J, Zhang X, Chen L. Research on the Dual Modulation of All-Fiber Optic Current Sensor. Sensors. 2022; 22(2):430. https://doi.org/10.3390/s22020430
Chicago/Turabian StyleWu, Jianhua, Xiaofeng Zhang, and Liang Chen. 2022. "Research on the Dual Modulation of All-Fiber Optic Current Sensor" Sensors 22, no. 2: 430. https://doi.org/10.3390/s22020430
APA StyleWu, J., Zhang, X., & Chen, L. (2022). Research on the Dual Modulation of All-Fiber Optic Current Sensor. Sensors, 22(2), 430. https://doi.org/10.3390/s22020430

