Hybrid Carbon Nanotubes/Gold Nanoparticles Composites for Trace Nitric Oxide Detection over a Wide Range of Humidity
Abstract
1. Introduction
2. Materials and Methods
3. Results and Discussion
3.1. Sensor Characterization
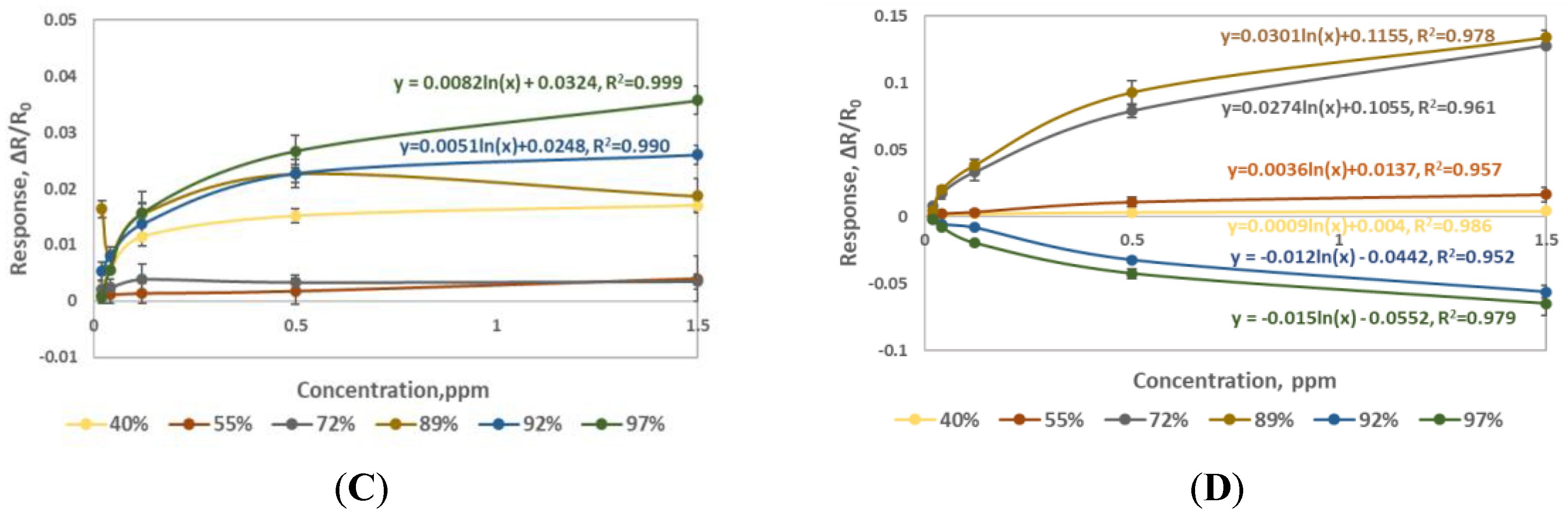
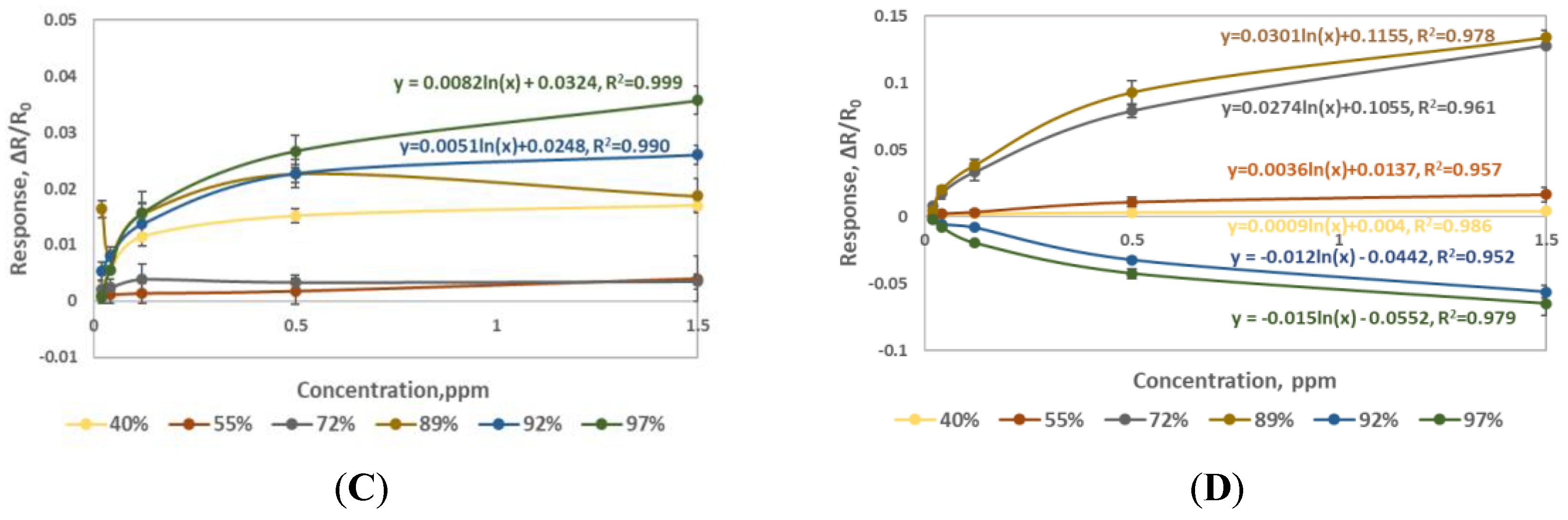
3.2. Humidity Effect on Sensor Response
3.3. Air and Nitrogen Environment Effect
3.4. Selectivity and NO Detection Limit
4. Conclusions
Author Contributions
Funding
Institutional Review Board Statement
Informed Consent Statement
Data Availability Statement
Acknowledgments
Conflicts of Interest
References
- Spagnolo, V.; Kosterev, A.A.; Dong, L.; Lewicki, R.; Tittel, F.K. NO trace gas sensor based on quartz-enhanced photoacoustic spectroscopy and external cavity quantum cascade laser. Appl. Phys. B 2010, 100, 125–130. [Google Scholar] [CrossRef]
- Wellburn, A.R. Air Pollution and Climate Change, 2nd ed.; Longman Scientific Technical: Harlow, UK, 1994; p. 186. [Google Scholar]
- Chun-Ying, L.; Wei-Hua, F.; Tian, Y.; Gui-Peng, Y.; Pei-Feng, L.; Bange, H.W. Determination of dissolved nitric oxide in coastal waters of the Yellow Sea off Qingdao. Ocean Sci. 2017, 13, 623–632. [Google Scholar]
- Miskoff, J.A.; Dewan, A.; Chaudhri, M. Fractional Exhaled Nitric Oxide Testing: Diagnostic Utility in Asthma, Chronic Obstructive Pulmonary Disease, or Asthma-chronic Obstructive Pulmonary Disease Overlap Syndrome. Cureus 2019, 11, e4864. [Google Scholar] [CrossRef]
- Boatta, F.; D’Alessandro, W.; Gagliano, A.L.; Liotta, M.; Milazzo, M.; Rodolfo-Metalpa, R.; Hall-Spencer, J.M.; Parello, F. Geochemical survey of Levante Bay, Vulcano Island (Italy), a natural laboratory for the study of ocean acidification. Mar. Pollut. Bull. 2013, 73, 485–494. [Google Scholar] [CrossRef] [PubMed]
- Naqvi, S.W.; Moffett, J.W.; Gauns, M.U.; Narvekar, P.V.; Pratihary, A.K.; Naik, H.; Shenoy, D.M.; Jayakumar, D.A.; Goepfert, T.J.; Patra, P.K.; et al. The Arabian Sea as a high-nutrient, low-chlorophyll region during the late Southwest Monsoon. Biogeosciences 2010, 7, 2091–2100. [Google Scholar] [CrossRef]
- Ji, Q.; Babbin, A.R.; Jayakumar, A.; Oleynik, S.; Ward, B.B. Nitrous oxide production by nitrification and denitrification in the Eastern Tropical South Pacific oxygen minimum zone. Geophys. Res. Lett. 2015, 42, 755–764. [Google Scholar] [CrossRef]
- Stramma, L.; Johnson, G.C.; Firing, E.; Schmidtko, S. Eastern Pacific oxygen minimum zones: Supply paths and multidecadal changes. J. Geophys. Res. 2010, 115, C09011. [Google Scholar] [CrossRef]
- Dobbie, K.E.; Smith, K.A. Impact of different forms of N fertilizer on N2O emissions from intensive grassland. Nutr. Cycl. Agroecosystems 2003, 67, 37–46. [Google Scholar] [CrossRef]
- Thronson, A.; Quigg, A. Fifty-Five Years of Fish Kills in Coastal Texas. Estuaries Coasts 2008, 31, 802–813. [Google Scholar] [CrossRef]
- Bange, H.W.; Freing, A.; Kock, A.; Löscher, C. Marine pathways to nitrous oxide. In Nitrous Oxide and Climate Change; Smith, K., Ed.; Earthscan: London, UK, 2010; pp. 36–62. [Google Scholar]
- Bange, H.W.; Capone, D.G.; Bronk, D.A.; Mulholland, M.R.; Carpenter, E.J. Gaseous Nitrogen Compounds (NO, N2O, N2, NH3) in the Ocean; Elsevier: Amsterdam, The Netherlands, 2008; pp. 51–94. [Google Scholar]
- Elkins, J.W. Determination of dissolved nitrous oxide in aquatic systems by gas chromatography using electron-capture detection and multiple phase equilibration. Anal. Chem. 1980, 52, 263–267. [Google Scholar] [CrossRef]
- Gill, M.; Walker, S.; Khan, A.; Green, S.M.; Kim, L.; Gray, S.; Krauss, B. Exhaled nitric oxide levels during acute asthma exacerbation. Acad. Emerg. Med. 2005, 12, 579–586. [Google Scholar] [CrossRef] [PubMed]
- Garthwaite, J.; Boulton, C. Nitric oxide signaling in the central nervous system. Annu. Rev. Physiol. 1995, 57, 683–706. [Google Scholar] [CrossRef]
- Ratnawati; Morton, J.; Henry, R.L.; Thomas, P.S. Exhaled breath condensate nitrite/nitrate and pH in relation to pediatric asthma control and exhaled nitric oxide. Pediatr. Pulmonol. 2006, 41, 929–936. [Google Scholar] [CrossRef] [PubMed]
- Meier, J.; Stapleton, J.; Hofferber, E.; Haworth, A.; Kachman, S.; Iverson, N.M. Quantification of Nitric Oxide Concentration Using Single-Walled Carbon Nanotube Sensors. Nanomaterials 2021, 11, 243. [Google Scholar] [CrossRef]
- Kuzmych, O.; Allen, B.L.; Star, A. Carbon nanotube sensors for exhaled breath components. Nanotechnology 2007, 18, 5502–5509. [Google Scholar] [CrossRef]
- Mondal, S.P.; Dutta, P.K.; Hunter, G.W.; Ward, B.J.; Laskowski, D.; Dweik, R.A. Development of high sensitivity potentiometric NOx sensor and its application to breath analysis. Sens. Actuators B. 2011, 158, 292–298. [Google Scholar] [CrossRef]
- Wang, S.H.; Shen, C.Y.; Su, J.M.; Chang, S.W. A Room Temperature Nitric Oxide Gas Sensor Based on a Copper-Ion-Doped Polyaniline/Tungsten Oxide Nanocomposite. Sensors 2015, 15, 7084–7095. [Google Scholar] [CrossRef]
- Kukkola, J.; Maklin, J.; Halonen, N.; Kyllönen, T.; Tóth, G.; Szabó, M.; Shchukarev, A.; Mikkola, J.P.; Jantunen, H.; Kordás, K. Gas sensors based on anodic tungsten oxide. Sens. Actuators B Chem. 2011, 153, 293–300. [Google Scholar] [CrossRef]
- Fruhberger, B.; Stirling, N.; Grillo, F.G.; Ma, S.; Ruthven, D.; Lad, R.J.; Frederick, B.G. Detection and quantification of nitric oxide in human breath using a semiconducting oxide based chemiresistive microsensor. Sens. Actuators B Chem. 2001, 76, 226–234. [Google Scholar] [CrossRef]
- Sun, C.; Maduraiveeran, G.; Dutta, P. Nitric oxide sensors using combination of p- and n-type semiconducting oxides and its application for detecting NO in human breath. Sens. Actuators B. 2013, 186, 117–125. [Google Scholar] [CrossRef]
- Ali, M.; Wang, C.Y.; Rohlig, C.C.; Cimalla, V.; Stauden, T.; Ambacher, O. NOx sensing properties of In2O3 thin films grown by MOCVD. Sens. Actuators B Chem. 2008, 129, 467–472. [Google Scholar] [CrossRef]
- Kim, J.W.; Oh, E.G.; Cha, G.Y.; Jeong, S.H.; Huh, J.S. NO Sensing Characteristics of ZnO Nanorod Prepared by Ultrasound Radiation Method. Sensors IEEE 2006, 221, 239–242. [Google Scholar] [CrossRef]
- Luo, P.; Xie, M.; Luo, J.; Kan, H.; Wei, Q. Nitric oxide sensors using nanospiral ZnO thin film deposited by GLAD for application to exhaled human breath. RSC Adv. 2020, 10, 14877–14884. [Google Scholar] [CrossRef]
- Sharma, A.; Tomar, M.; Gupta, V. Low temperature operating SnO2 thin film sensor loaded with WO3 micro-discs with enhanced response for NO2 gas. Sens. Actuators B Chem. 2012, 161, 1114–1118. [Google Scholar] [CrossRef]
- Wang, S.H.; Kuo, S.-H.; Shen, C.-Y. A nitric oxide gas sensor based on Rayleigh surface acoustic wave resonator for room temperature operation. Sens. Actuators B. Chem. 2011, 156, 668–672. [Google Scholar] [CrossRef]
- Ueda, T.; Norimatsu, H.; Bhuiyan, M.M.H.; Ikegami, T.; Ebihara, K. NO Sensing Property of Carbon Nanotube Based Thin Film Gas Sensors Prepared by Chemical Vapor Deposition Techniques. Jpn. J. Appl. Phys. 2006, 45, 8393–8397. [Google Scholar] [CrossRef]
- Li, J.; Lu, Y. Carbon Nanotube Based Chemical Sensors for Space and Terrestrial Applications. ECS Trans. 2009, 19, 7–15. [Google Scholar] [CrossRef]
- Penza, M.; Rossi, R.; Alvisi, M.; Cassano, G.; Signore, M.A.; Serra, E.; Giorgi, R. Pt- and Pd-nanoclusters functionalized carbon nanotubes networked films for sub-ppm gas sensors. Sens. Actuators B Chem. 2008, 135, 289–297. [Google Scholar] [CrossRef]
- Kang, B.-C.; Jeon, J.-Y.; Byun, Y.T.; Ha, T.-J. Functionalized Carbon Nanotube Sensors for the Detection of Sub-ppm Nitric Oxide Gas. J. Nanosci. Nanotechnol. 2018, 18, 6562–6564. [Google Scholar] [CrossRef]
- Mäklin, J.; Mustonen, T.; Kordás, K.; Saukko, S.; Toth, G.; Vähäkangas, J. Nitric oxide gas sensors with functionalized carbon nanotubes. Phys. Stat. Sol. 2007, 244, 4298–4302. [Google Scholar] [CrossRef]
- Jeong, D.-W.; Kim, K.H.; Kim, B.S.; Byun, Y.T. Characteristics of Highly Sensitive and Selective Nitric Oxide Gas Sensors Using Defect-Functionalized Single-Walled Carbon Nanotubes at Room Temperature. Appl. Surf. Sci. 2021, 550, 149250. [Google Scholar] [CrossRef]
- Jeon, J.; Kang, B.; Byun, Y.T.; Ha, T. High-performance gas sensors based on single-wall carbon nanotube random networks for the detection of nitric oxide down to the ppb-level. Nanoscale 2019, 11, 1587–1594. [Google Scholar] [CrossRef]
- Charlier, J. Defects in Carbon Nanotubes. Acc. Chem. Res. 2002, 35, 1063–1069. [Google Scholar] [CrossRef]
- Seo, S.M.; Kang, T.J.; Cheon, J.H.; Kim, Y.H.; Park, Y.J. Facile and scalable fabrication of chemiresistive sensor array for hydrogen detection based on gold-nanoparticle decorated SWCNT network. Sens. Actuators B Chem. 2014, 204, 716–722. [Google Scholar] [CrossRef]
- Star, A.; Joshi, V.; Skarupo, S.; Thomas, D.; Gabriel, J.C. Gas sensor array based on metal-decorated carbon nanotubes. J. Phys. Chem. B 2006, 110, 21014–21020. [Google Scholar] [CrossRef]
- Mubeen, S.; Lim, J.-H.; Srirangarajan, A.; Mulchandani, A.; Deshusses, M.A.; Myung, N.V. Gas Sensing Mechanism of Gold Nanoparticles Decorated Single-Walled Carbon Nanotubes. Electroanalysis 2011, 23, 2687–2692. [Google Scholar] [CrossRef]
- Penza, M.; Rossi, R.; Alvisi, M.; Cassano, G.; Serra, E. Functional characterization of carbon nanotube networked films functionalized with tuned loading of Au nanoclusters for gas sensing applications. Sens. Actuators B Chem. 2009, 140, 176–184. [Google Scholar] [CrossRef]
- Mudimela, P.R.; Scardamaglia, M.; González-León, O.; Reckinger, N.; Snyders, R.; Llobet, E.; Bittencourt, C.; Colomer, J.-F. Gas sensing with gold-decorated vertically aligned carbon nanotubes. Beilstein J. Nanotechnol. 2014, 5, 910–918. [Google Scholar] [CrossRef]
- Zanolli, Z.; Leghrib, R.; Felten, A.; Pireaux, J.-J.; Llobet, E.; Charlier, J.-C. Gas Sensing with Au-Decorated Carbon Nanotubes. ACS Nano 2011, 5, 4592–4599. [Google Scholar] [CrossRef]
- Young, S.J.; Lin, Z.D. Ammonia gas sensors with Au-decorated carbon nanotubes. Microsyst. Technol. 2018, 24, 4207–4210. [Google Scholar] [CrossRef]
- Abdelhalim, A.; Abdellah, A.; Scarpa, G.; Lugli, P. Metallic nanoparticles functionalizing carbon nanotube networks for gas sensing applications. Nanotechnology 2014, 25, 055208. [Google Scholar] [CrossRef]
- Balasubramanian, K.; Burghard, M. Electrochemically functionalized carbon nanotubes for device applications. J. Mater. Chem. 2008, 18, 3071–3083. [Google Scholar] [CrossRef]
- Zhang, J.; Zou, H.; Qing, Q.; Yang, Y.; Li, Q.; Liu, Z.; Guo, X.; Du, Z. Effect of Chemical Oxidation on the Structure of Single-Walled Carbon Nanotubes. J. Phys. Chem. B 2003, 107, 3712–3718. [Google Scholar] [CrossRef]
- Datsyuk, V.; Kalyva, M.; Papagelis, K.; Parthenios, J.; Tasis, D.; Siokou, A.; Kallitsis, I.; Galiotis, C. Chemical Oxidation of Multiwalled Carbon Nanotubes. Carbon 2008, 46, 833–840. [Google Scholar] [CrossRef]
- Wang, J.; Mao, S.; Li, H.-F.; Lin, J.-M. Multi-DNAzymes-functionalized gold nanoparticles for ultrasensitive chemiluminescence detection of thrombin on microchip. Anal. Chim. Acta 2018, 76, 76–82. [Google Scholar] [CrossRef] [PubMed]
- Ojea-Jiménez, I.; Romero, F.M.; Bastús, N.G.; Puntes, V. Small Gold Nanoparticles Synthesized with Sodium Citrate and Heavy Water: Insights into the Reaction Mechanism. J. Phys. Chem. C 2010, 114, 1800–1804. [Google Scholar] [CrossRef]
- Dong, J.; Carpinone, P.L.; Pyrgiotakis, G.; Demokritou, P.; Moudgil, B.M. Synthesis of Precision Gold Nanoparticles Using Turkevich Method. Kona Powder Sci. Technol. Jpn. 2020, 37, 224–232. [Google Scholar] [CrossRef] [PubMed]
- Nebu, J.; Devi, J.S.A.; Aparna, R.S.; Aswathy, B.; Lekha, G.M.; Sony, G. Fluorescence turn-on detection of fenitrothion using gold nanoparticle quenched fluorescein and its separation using superparamagnetic iron oxide nanoparticle. Sens. Actuators B Chem. 2018, 277, 271–280. [Google Scholar] [CrossRef]
- De Souza, C.D.; Nogueira, B.R.; Rostelato, M.E.C.M. Review of the methodologies used in the synthesis gold nanoparticles by chemical reduction. J. Alloys Compd. 2019, 798, 714–740. [Google Scholar] [CrossRef]
- Hannon, A.; Li, J. Solid State Electronic Sensors for Detection of Carbon Dioxide. Sensors 2019, 19, 3848. [Google Scholar] [CrossRef] [PubMed]
- Penza, M.; Rossi, R.; Alvisi, M.; Cassano, G.; Signore, M.A.; Serra, E.; Giorgi, R. Surface Modification of Carbon Nanotube Networked Films with Au Nanoclusters for Enhanced N O 2 Gas Sensing Applications. J. Sens. 2008, 2008, 107057. [Google Scholar] [CrossRef]
- Tchoul, M.; Ford, W.; Lolli, G.; Arepalli, D.R.S. Effect of Mild Nitric Acid Oxidation on Dispersability, Size, and Structure of Single-Walled Carbon Nanotubes. Chem. Mater. 2007, 19, 5765–5772. [Google Scholar] [CrossRef]
- Hong, L.; Lu, M.; Dinel, M.-P.; Blain, P.; Peng, W.; Gu, H.; Masson, J.-F. Hybridization conditions of oligonucleotide-capped gold nanoparticles for SPR sensing of microRNA. Biosens. Bioelectron. 2018, 109, 230–236. [Google Scholar] [CrossRef] [PubMed]
- Collins, P.G.; Bradley, K.; Ishigami, M.; Zettl, A. Extreme Oxygen Sensitivity of Electronic Properties of Carbon Nanotubes. Science 2000, 287, 1801–1804. [Google Scholar] [CrossRef]
- Zhao, J.; Buldum, A.; Han, J.; Lu, J.P. Gas molecule adsorption in carbon nanotubes and nanotube bundles. Nanotechnology 2002, 13, 195. [Google Scholar] [CrossRef]
- Nguyen, H.-S.; Huh, J.-Q. Behavior of single-walled carbon nanotube-based gas sensors at various temperatures of treatment and operation. Sens. Actuators B Chem. 2006, 117, 426–430. [Google Scholar] [CrossRef]
- Dong, K.Y.; Choi, J.; Lee, Y.D.; Kang, B.H.; Yu, Y.Y.; Choi, H.H.; Ju, B.K. Detection of a CO and NH3 gas mixture using carboxylic acid-functionalized single-walled carbon nanotubes. Nanoscale Res. Lett. 2013, 8, 12. [Google Scholar] [CrossRef] [PubMed]
- Penner, R.M. Mesoscopic Metal Particles and Wires by Electrodeposition. J. Phys. Chem. B 2002, 106, 3339–3353. [Google Scholar] [CrossRef]
- Mubeen, S.; Zhang, T.; Chartuprayoon, N.; Rheem, Y.; Mulchandani, A.; Myung, N.V.; Deshusses, M.A. Sensitive Detection of H2S Using Gold Nanoparticle Decorated Single-Walled Carbon Nanotubes. Anal. Chem. 2010, 82, 250–257. [Google Scholar] [CrossRef] [PubMed]
- Zou, M.; Aono, Y.; Inoue, S.; Matsumura, Y. Response of Palladium and Carbon Nanotube Composite Films to Hydrogen Gas and Behavior of Conductive Carriers. Materials 2020, 13, 4568. [Google Scholar] [CrossRef] [PubMed]
- Zhao, W.; Song, C.; Pehrsson, P.E. Water-Soluble and Optically pH-Sensitive Single-Walled Carbon Nanotubes from Surface Modification. J. Am. Chem. Soc. 2002, 124, 12418–12419. [Google Scholar] [CrossRef] [PubMed]
- Armor, J.N. Influence of pH and ionic strength upon solubility of nitric oxide in aqueous solution. J. Chem. Eng. Data 1974, 19, 82–84. [Google Scholar] [CrossRef]
- Tey, J.N.; Ho, X.; Wei, J. Effect of doping on single-walled carbon nanotubes network of different metallicity. Nanoscale Res. Lett. 2012, 7, 548. [Google Scholar] [CrossRef] [PubMed]











Publisher’s Note: MDPI stays neutral with regard to jurisdictional claims in published maps and institutional affiliations. |
© 2022 by the authors. Licensee MDPI, Basel, Switzerland. This article is an open access article distributed under the terms and conditions of the Creative Commons Attribution (CC BY) license (https://creativecommons.org/licenses/by/4.0/).
Share and Cite
Hannon, A.; Seames, W.; Li, J. Hybrid Carbon Nanotubes/Gold Nanoparticles Composites for Trace Nitric Oxide Detection over a Wide Range of Humidity. Sensors 2022, 22, 7581. https://doi.org/10.3390/s22197581
Hannon A, Seames W, Li J. Hybrid Carbon Nanotubes/Gold Nanoparticles Composites for Trace Nitric Oxide Detection over a Wide Range of Humidity. Sensors. 2022; 22(19):7581. https://doi.org/10.3390/s22197581
Chicago/Turabian StyleHannon, Ami, Wayne Seames, and Jing Li. 2022. "Hybrid Carbon Nanotubes/Gold Nanoparticles Composites for Trace Nitric Oxide Detection over a Wide Range of Humidity" Sensors 22, no. 19: 7581. https://doi.org/10.3390/s22197581
APA StyleHannon, A., Seames, W., & Li, J. (2022). Hybrid Carbon Nanotubes/Gold Nanoparticles Composites for Trace Nitric Oxide Detection over a Wide Range of Humidity. Sensors, 22(19), 7581. https://doi.org/10.3390/s22197581
