Joint User-Slice Pairing and Association Framework Based on H-NOMA in RAN Slicing
Abstract
1. Introduction
1.1. Related Work
1.2. Contribution
- o
- Joint user-association and pairing algorithms are considered for eMBB and uRLLC users in HetNets while considering the different association and pairing metrics required for each user type.
- o
- In our system architecture, eMBB users are treated as downlink (DL) data-rate-hungry users and uRLLC users as latency and reliability-constrained users. The user-slice association and pairing processes are expressed as a multi-objective optimization problem to optimize the DL data rate for UEs and reduce the DL transmitted latency for uRLLC UEs whereas considering the users’ data rate-dependent QoS requirements and ensuring the intra-isolation for each slice by applying orthogonal frequency multiple access (OFDMA) technology between the similar service’s users; meanwhile, the inter-isolation between slices is assigned a DL threshold rate for each slice.
- o
- We suggest a system model in which eMBB traffic is transmitted over long TTIs , whereas uRLLC traffic is transmitted over short TTIs by superimposing the ongoing eMBB transmissions. Here, transmitting the incoming uRLLC traffic in the short TTI guarantees its delay demand. The data rate of eMBB traffic is picked up by Shannon’s capacity considering the effect of uRLLC transmissions, while uRLLC depends on the finite block-length capacity model due to its small packet size nature.
- o
- We separate the multi-objective optimization problem into UE-slice association and UE-slice pairing sub-problems. Moreover, we improve a framework based on a one-to-many matching game to find a solution for the UE-slice association sub-problem in which BSs and UEs rate each other based on clear preference measures that define UEs’ and BSs’ needs. Meanwhile, the UE-slice pairing sub-problem is optimized by a one-to-one matching game in which the associated uRLLC and eMBB UEs with the same BS rank one another through some mini slots. To our knowledge, no matching game has been researched in HetNet to solve the eMBB UEs and uRLLC UEs association and pairing problem.
- o
- We represent utility functions for UEs and BSs that consider the UEs’ different demands in terms of attained data rate, DL latency reliability, the threshold rate of each slice, dynamic criteria for limiting the number of attached UEs in HetNet, and the number of paired uRLLC UE with eMBB UEs (i.e., quota matching game), to achieve a reference rate for UEs.
- o
- The joint UE-slice association and UE-slice pairing algorithms are proposed to solve this game. Then, the proposed algorithms are proven to arrive at a stable matching. As well as the computation complexity study for the suggested algorithms is given. Simulation results illustrate that our submitted algorithms outperform the comparable approaches, especially regarding DL latency performance for uRLLC UEs and DL rate performance for eMBB and uRLLC UEs. To illustrate the effectiveness of the proposed algorithms, we also compare their performance with other search schemes.
1.3. Organization

| Notions | Definitions | Notions | Definitions | 
|---|---|---|---|
| Set of base stations | Minimum DL required data rate for | ||
| Set of uRLLC users | Maximum DL tolerant delay on the system for | ||
| Set of eMBB users | payload size for | ||
| Set of eMBB and uRLLC users | Arrival rate for | ||
| Number of mini slots in long TTI | Block-length code for | ||
| Duration of a RAN time slot | uRLLC reliability probability | ||
| Duration of a RAN mini slot | Channel dispersion for | ||
| Set of slices per BS | WBH mean transmission packet delay for | ||
| Set of users in each slice BS | RAN mean transmission packet delay for | ||
| Set of virtual PRBs per BS’s slice | Received SINR for a SBS from MBS , | ||
| Binary UE-slice association matrix | Channel gain between MBS and SBS | ||
| Power allocation coefficient for | Noise power | ||
| Association decision variable, for | Threshold SINR of WBH network | ||
| Binary Superposition matrix by H-NOMA | Number of bits for a single successful WBH transmission | ||
| Superposition variable for on | WBH time slot | ||
| Integer number of mini slots for | Bandwidth of the backhaul network | ||
| Received signal by user from BS | WBH required number of time slots | ||
| Reserved rate for , | WBH Transmission success probability of one packet in a single transmission | ||
| Received SINR for UE from BS | Pathloss exponent of WBH link | ||
| Bandwidth of PRB per | RAN transmission time | ||
| Data rate for UE from BS on , per | Number of paired mini slots for with | ||
| Overall DL received rate for from BS | maximum threshold RAN’s packet delay | ||
| PRBs allocation decision variable, for | HARQ retransmission delay | ||
| Number of allocated PRBs for | Superimposed time for pairing with eMBB UE | ||
| Number of minimum required PRBs for | Total mean transmission packet delay on the system for | 
2. System Model
2.1. Network Model and Assumptions
2.2. Joint User Pairing and Association Matrix
2.3. Signalling Model
2.4. Data Rate Expression Based on Shannon Capacity Model
2.5. uRLLC Traffic
2.5.1. uRLLC Data Rate Depending on Finite Block-Length Coding
2.5.2. uRLLC Mean Packet Delay
2.5.3. Wireless Backhaul Network
2.5.4. Wireless RAN Network
3. Problem Formulation
3.1. UE-Slice Association Sub-Problem
3.2. UE-Slice Pairing Sub-Problem
4. Solution Using Matching Game-Based U-S. A and U-S. P Algorithms
4.1. One-Sided Matching Based Solution Approach Sub-Problem (19)
4.1.1. UEs Utility Function
4.1.2. Base Stations Utility Function
| Algorithm 1: Matching Game for User-Slice Association | 
| 1: Input: | 
| 2: Output: Find stable Matching | 
| 3: Initialization: , | 
| 4: Every UE construct using | 
| 5: Repeat | 
| 6: | 
| 7: for do | 
| 8: for do with as its best preferred in do | 
| 9: while and do | 
| 10: If and then | 
| 11: If and then | 
| 12: | 
| 13: | 
| 14: | 
| 15: else | 
| 16: | 
| 17: | 
| 18: while () do | 
| 19: , | 
| 21: , | 
| 22: | 
| 23: | 
| 24: | 
| 25: If and then | 
| 26: | 
| 27: | 
| 28: | 
| 29: else | 
| 30: , | 
| 31: | 
| 32: for do | 
| 33: , , | 
| 34: until | 
4.2. One-Sided Matching Based Solution Approach Sub-Problem (26)
4.2.1. eMBB UEs Utility Function
4.2.2. uRLLC UEs Utility Function
| Algorithm 2: Matching Game for User-Slice Pairing | 
| 1: Input: | 
| 2: Output: Find stable Matching | 
| 3: Initialization: , | 
| 4: Repeat | 
| 5: | 
| 6: for do | 
| 7: Sorts attached with in descending order based on the achieved rate and construct using | 
| 8: for do | 
| 9: BS construct using | 
| 10: | 
| 11: | 
| 12: If do | 
| 13: | 
| 14: while and do | 
| 15: If 0 then | 
| 16: | 
| 17: , | 
| 18: | 
| 19: else | 
| 20: | 
| 21: | 
| 22: while () do | 
| 23: , | 
| 24: , | 
| 25: | 
| 26: | 
| 27: | 
| 28: | 
| 29: until | 
5. Results
5.1. Simulation Setup
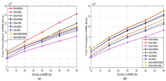
5.2. Simulation Results
6. Discussion
7. Conclusions
Author Contributions
Funding
Institutional Review Board Statement
Informed Consent Statement
Data Availability Statement
Conflicts of Interest
Abbreviations
| RAN | Radio access network | 
| HetNet | heterogeneous networks | 
| NS | Network slicing | 
| QoS | Quality of service | 
| uRLLC | Ultra-reliability low latency communications | 
| eMBB | Enhanced mobile broadband | 
| UE | User equipment | 
| NOMA | Non-orthogonal multiple access | 
| SIC | Successive interference cancellation | 
| U-S. A | UE-slice association | 
| U-S. P | UE-slice Pairing | 
| MBS | Macro base station | 
| SBS | Small bas station | 
| WBH | Wireless backhaul network | 
| H-NOMA | Heterogenous non-orthogonal multiple access | 
| ITU | International Telecommunications Union | 
| mMTC | massive Machine Type Communication | 
| HARQ | Hybrid Automatic Repeat reQuest | 
| CN | Core network | 
| SDN | Software-Defined Networking | 
| NFV | Network Functions Virtualization | 
| EDF | Earliest deadline first | 
| RSMA | Rate-splitting multiple access | 
| CSI | Channel status information | 
| MIMO | multiple-input multiple-output | 
| RIS | Reconfigurable intelligent surface | 
| EPS | Enhanced Pre-emptive Scheduling | 
| C-RAN | Cloud radio access network | 
| DRL | Deep reinforcement learning | 
| MC | Multi-connectivity | 
| PtrNet | Pointer network | 
| RAT | Radio access technology | 
| OFDM | Orthogonal frequency-division multiple access | 
| TTI | Transmission time interval | 
| InP | Infrastructure provider | 
| NLOS | Non-line-of-sight | 
| PRB | Physical resource block | 
| CCI | Co-channel interferences | 
| QoE | Quality of experience | 
| DAA | Deferred acceptance algorithm | 
| EAA | Early acceptance algorithm | 
| MAX-SINR | Maximum-signal-to-interference-plus-noise ratio | 
| GA | Greedy algorithm | 
| OMA | Orthogonal multiple access | 
| PUNC | Puncturing | 
| C-NOMA | Cooperative non-orthogonal multiple access | 
| CR-NOMA | Cognitive radio non-orthogonal multiple access | 
| FANET | Flying Ad Hoc Networks | 
References
- Parkvall, S.; Dahlman, E.; Furuskar, A.; Frenne, M. NR: The New 5G Radio Access Technology. IEEE Commun. Stand. Mag. 2017, 1, 24–30. [Google Scholar] [CrossRef]
- Zhang, G.; Quek, T.Q.S.; Kountouris, M.; Huang, A.; Shan, H. Fundamentals of heterogeneous backhaul design—Analysis and optimization. IEEE Trans. Commun. 2016, 64, 876–889. [Google Scholar] [CrossRef]
- Celik, A.; Tsai, M.-C.; Radaydeh, R.M.; Al-Qahtani, F.S.; Alouini, M.-S. Distributed Cluster Formation and Power-Bandwidth Allocation for Imperfect NOMA in DL-HetNets. IEEE Trans. Commun. 2018, 67, 1677–1692. [Google Scholar] [CrossRef]
- Islam, S.M.R.; Avazov, N.; Dobre, O.A.; Kwak, K.-S. Power-Domain Non-Orthogonal Multiple Access (NOMA) in 5G Systems: Potentials and Challenges. IEEE Commun. Surv. Tutor. 2016, 19, 721–742. [Google Scholar] [CrossRef]
- Zhang, X.; Haenggi, M. The Performance of Successive Interference Cancellation in Random Wireless Networks. IEEE Trans. Inf. Theory 2014, 60, 6368–6388. [Google Scholar] [CrossRef]
- Series, M. Minimum Requirements Related to Technical Performance for IMT-2020 Radio Interface (s); Report 2410-0; ITU: Geneva, Switzerland, 2017. [Google Scholar]
- Kazmi, S.A.; Khan, L.U.; Tran, N.H.; Hong, C.S. Network Slicing for 5G and Beyond Networks; Springer: Berlin/Heidelberg, Germany, 2019; Volume 1. [Google Scholar]
- Li, X.; Samaka, M.; Chan, H.A.; Bhamare, D.; Gupta, L.; Guo, C.; Jain, R. Network Slicing for 5G: Challenges and Opportunities. IEEE Internet Comput. 2017, 21, 20–27. [Google Scholar] [CrossRef]
- Sattar, D.; Matrawy, A. Optimal slice allocation in 5G core networks. IEEE Netw. Lett. 2019, 1, 48–51. [Google Scholar] [CrossRef]
- Barakabitze, A.A.; Ahmad, A.; Mijumbi, R.; Hines, A. 5G network slicing using SDN and NFV: A survey of taxonomy, architectures and future challenges. Comput. Netw. 2020, 167, 106984. [Google Scholar] [CrossRef]
- Elayoubi, S.E.; Jemaa, S.B.; Altman, Z.; Galindo-Serrano, A. 5G RAN slicing for verticals: Enablers and challenges. IEEE Commun. Mag. 2019, 57, 28–34. [Google Scholar]
- Carugi, M. Key features and requirements of 5G/IMT-2020 networks. In ITU Arab Forum on Emerging Technologies; Internetsociety.org: Reston, VA, USA, 2018. [Google Scholar]
- Abedin, S.F.; Alam MG, R.; Kazmi, S.A.; Tran, N.H.; Niyato, D.; Hong, C.S. Resource allocation for ultra-reliable and enhanced mobile broadband IoT applications in fog network. IEEE Trans. Commun. 2018, 67, 489–502. [Google Scholar]
- Liu, D.; Wang, L.; Chen, Y.; Elkashlan, M.; Wong, K.-K.; Schober, R.; Hanzo, L. User Association in 5G Networks: A Survey and an Outlook. IEEE Commun. Surv. Tutor. 2016, 18, 1018–1044. [Google Scholar] [CrossRef]
- Guo, T.; Suárez, A. Enabling 5G RAN slicing with EDF slice scheduling. IEEE Trans. Veh. Technol. 2019, 68, 2865–2877. [Google Scholar] [CrossRef]
- Popovski, P.; Trillingsgaard, K.F.; Simeone, O.; Durisi, G. 5G wireless network slicing for eMBB, URLLC, and mMTC: A communication-theoretic view. Ieee Access 2018, 6, 55765–55779. [Google Scholar]
- Ding, Z.; Lei, X.; Karagiannidis, G.K.; Schober, R.; Yuan, J.; Bhargava, V.K. A survey on non-orthogonal multiple access for 5G networks: Research challenges and future trends. IEEE J. Sel. Areas Commun. 2017, 35, 2181–2195. [Google Scholar]
- Aldababsa, M.; Toka, M.; Gökçeli, S.; Kurt, G.K.; Kucur, O. A tutorial on nonorthogonal multiple access for 5G and beyond. Wirel. Commun. Mob. Comput. 2018, 2018, 9713450. [Google Scholar]
- Liu, Y.; Qin, Z.; Elkashlan, M.; Ding, Z.; Nallanathan, A.; Hanzo, L. Non-orthogonal multiple access for 5G and beyond. arXiv 2018, arXiv:1808.00277. [Google Scholar]
- Wang, Y.; Ren, B.; Sun, S.; Kang, S.; Yue, X. Analysis of non-orthogonal multiple access for 5G. China Commun. 2016, 13, 52–66. [Google Scholar]
- Dos Santos, E.J.; Souza, R.D.; Rebelatto, J.L. Rate-Splitting Multiple Access for URLLC Uplink in Physical Layer Network Slicing With eMBB. IEEE Access 2021, 9, 163178–163187. [Google Scholar] [CrossRef]
- Chen, Q.; Wang, J.; Jiang, H. URLLC and eMBB Coexistence in MIMO Non-orthogonal Multiple Access Systems. arXiv 2021, arXiv:2109.05725. [Google Scholar]
- Almekhlafi, M.; Arfaoui, M.A.; Elhattab, M.; Assi, C.; Ghrayeb, A. Joint Resource Allocation and Phase Shift Optimization for RIS-Aided eMBB/URLLC Traffic Multiplexing. IEEE Trans. Commun. 2022, 70, 1304–1319. [Google Scholar] [CrossRef]
- Esswie, A.A.; Pedersen, K.I. Opportunistic Spatial Preemptive Scheduling for URLLC and eMBB Coexistence in Multi-User 5G Networks. IEEE Access 2018, 6, 38451–38463. [Google Scholar] [CrossRef]
- Matera, A.; Kassab, R.; Simeone, O.; Spagnolini, U. Non-orthogonal eMBB-URLLC radio access for cloud radio access networks with analog fronthauling. Entropy 2018, 20, 661. [Google Scholar]
- Alsenwi, M.; Tran, N.H.; Bennis, M.; Bairagi, A.K.; Hong, C.S. eMBB-URLLC resource slicing: A risk-sensitive approach. IEEE Commun. Lett. 2019, 23, 740–743. [Google Scholar]
- Alsenwi, M.; Tran, N.H.; Bennis, M.; Pandey, S.R.; Bairagi, A.K.; Hong, C.S. Intelligent resource slicing for eMBB and URLLC coexistence in 5G and beyond: A deep reinforcement learning based approach. IEEE Trans. Wirel. Commun. 2021, 20, 4585–4600. [Google Scholar] [CrossRef]
- Anand, A.; De Veciana, G.; Shakkottai, S. Joint scheduling of URLLC and eMBB traffic in 5G wireless networks. IEEE/ACM Trans. Netw. 2020, 28, 477–490. [Google Scholar]
- Bairagi, A.K.; Munir, S.; Alsenwi, M.; Tran, N.H.; Alshamrani, S.S.; Masud, M.; Han, Z.; Hong, C.S. Coexistence mechanism between eMBB and uRLLC in 5G wireless networks. IEEE Trans. Commun. 2020, 69, 1736–1749. [Google Scholar] [CrossRef]
- Tebe, P.I.; Ntiamoah-Sarpong, K.; Tian, W.; Li, J.; Huang, Y.; Wen, G. Using 5G network slicing and non-orthogonal multiple access to transmit medical data in a mobile hospital system. IEEE Access 2020, 8, 189163–189178. [Google Scholar]
- Zhang, K.; Xu, X.; Zhang, J.; Zhang, B.; Tao, X.; Zhang, Y. Dynamic multiconnectivity based joint scheduling of eMBB and uRLLC in 5G networks. IEEE Syst. J. 2020, 15, 1333–1343. [Google Scholar] [CrossRef]
- Wang, K.; Liu, Y.; Ding, Z.; Nallanathan, A.; Peng, M. User Association and Power Allocation for Multi-Cell Non-Orthogonal Multiple Access Networks. IEEE Trans. Wirel. Commun. 2019, 18, 5284–5298. [Google Scholar] [CrossRef]
- Hasan, N.; Rizvi, S.; Shabbir, A. A Clustered PD-NOMA in an Ultra-Dense Heterogeneous Network with Improved System Capacity and Throughput. Appl. Sci. 2022, 12, 5206. [Google Scholar] [CrossRef]
- Wang, K.; Liu, Y.; Ding, Z.; Nallanathan, A. User Association in Non-Orthogonal Multiple Access Networks. In Proceedings of the 2018 IEEE International Conference on Communications (ICC), Kansas City, MO, USA, 20–24 May 2018; pp. 1–6. [Google Scholar] [CrossRef]
- Yu, Z.; Hou, J. Research on Interference Coordination Optimization Strategy for User Fairness in NOMA Heterogeneous Networks. Electronics 2022, 11, 1700. [Google Scholar] [CrossRef]
- Amine, M.; Kobbane, A.; Ben-Othman, J. New network slicing scheme for UE association solution in 5G ultra dense HetNets. In Proceedings of the ICC 2020–2020 IEEE International Conference on Communications (ICC), Dublin, Ireland, 7–11 June 2020; IEEE: Piscataway, NJ, USA, 2020; pp. 1–6. [Google Scholar]
- Le TH, T.; Tran, N.H.; LeAnh, T.; Hong, C.S. User matching game in virtualized 5G cellular networks. In Proceedings of the 2016 18th Asia-Pacific Network Operations and Management Symposium (APNOMS), Kanazawa, Japan, 5–7 October 2016; IEEE: Piscataway, NJ, USA, 2016; pp. 1–4. [Google Scholar]
- Ma, M.; Wong, V.W. Joint user pairing and association for multicell NOMA: A pointer network-based approach. In Proceedings of the 2020 IEEE International Conference on Communications Workshops (ICC Workshops), Dublin, Ireland, 7–11 June 2020; IEEE: Piscataway, NJ, USA, 2020; pp. 1–6. [Google Scholar]
- Gu, Y.; Saad, W.; Bennis, M.; Debbah, M.; Han, Z. Matching theory for future wireless networks: Fundamentals and applications. IEEE Commun. Mag. 2015, 53, 52–59. [Google Scholar] [CrossRef]
- Manzoor, A.; Kazmi, S.A.; Pandey, S.R.; Hong, C.S. Contract-based scheduling of URLLC packets in incumbent EMBB traffic. IEEE Access 2020, 8, 167516–167526. [Google Scholar] [CrossRef]
- Elhattab, M.K.; Elmesalawy, M.M.; Salem, F.M.; Ibrahim, I.I. Device-aware cell association in heterogeneous cellular networks: A matching game approach. IEEE Trans. Green Commun. Netw. 2018, 3, 57–66. [Google Scholar] [CrossRef]
- Anany, M.; Elmesalawy, M.M.; Abd El-Haleem, A.M. Matching game-based cell association in multi-rat HetNet considering device requirements. IEEE Internet Things J. 2019, 6, 9774–9782. [Google Scholar]
- Gora, J.; Redana, S. In-band and out-band relaying configurations for dual-carrier LTE-advanced system. In Proceedings of the 2011 IEEE 22nd International Symposium on Personal, Indoor and Mobile Radio Communications, Toronto, ON, Canada, 11–14 September 2011; IEEE: Piscataway, NJ, USA, 2011; pp. 1820–1824. [Google Scholar]
- Sharma, A.; Ganti, R.K.; Milleth, J.K. Joint backhaul-access analysis of full duplex self-backhauling heterogeneous networks. IEEE Trans. Wirel. Commun. 2017, 16, 1727–1740. [Google Scholar] [CrossRef]
- Peng, M.; Zhang, K.; Jiang, J.; Wang, J.; Wang, W. Energy-Efficient Resource Assignment and Power Allocation in Heterogeneous Cloud Radio Access Networks. IEEE Trans. Veh. Technol. 2014, 64, 5275–5287. [Google Scholar] [CrossRef]
- Dos Santos, E.J.; Souza, R.D.; Rebelatto, J.L.; Alves, H. Network slicing for URLLC and eMBB with max-matching diversity channel allocation. IEEE Commun. Lett. 2019, 24, 658–661. [Google Scholar] [CrossRef]
- Parsaeefard, S.; Dawadi, R.; Derakhshani, M.; Le-Ngoc, T. Joint User-Association and Resource-Allocation in Virtualized Wireless Networks. IEEE Access 2016, 4, 2738–2750. [Google Scholar] [CrossRef]
- Rezvani, S.; Yamchi, N.M.; Javan, M.R.; Jorswieck, E.A. Resource allocation in virtualized CoMP-NOMA HetNets: Multi-connectivity for joint transmission. IEEE Trans. Commun. 2021, 69, 4172–4185. [Google Scholar]
- Poornima, P.; Laxminarayana, G.; Rao, D.S. Performance analysis of channel capacity and throughput of lte downlink system. Int. J. Comput. Netw. Commun. 2017, 9, 55–69. [Google Scholar]
- Karimi, A.; Pedersen, K.I.; Mahmood, N.H.; Pocovi, G.; Mogensen, P. Efficient Low Complexity Packet Scheduling Algorithm for Mixed URLLC and eMBB Traffic in 5G. In Proceedings of the 2019 IEEE 89th Vehicular Technology Conference (VTC2019-Spring), Kuala Lumpur, Malaysia, 28 April–1 May 2019; pp. 1–6. [Google Scholar] [CrossRef]
- Zhang, G.; Quek, T.Q.; Huang, A.; Kountouris, M.; Shan, H. Backhaul-aware base station association in two-tier heterogeneous cellular networks. In Proceedings of the 2015 IEEE 16th International Workshop on Signal Processing Advances in Wireless Communications (SPAWC), Stockholm, Sweden, 28 June–1 July 2015; IEEE: Piscataway, NJ, USA, 2015; pp. 390–394. [Google Scholar]
- Maaz, D.; Galindo-Serrano, A.; Elayoubi, S.E. URLLC user plane latency performance in new radio. In Proceedings of the 2018 25th International Conference on Telecommunications (ICT), Saint-Malo, France, 26–28 June 2018; IEEE: Piscataway, NJ, USA, 2018; pp. 225–229. [Google Scholar]
- Elsayed, M.; Erol-Kantarci, M. AI-enabled radio resource allocation in 5G for URLLC and eMBB users. In Proceedings of the 2019 IEEE 2nd 5G World Forum (5GWF), Dresden, Germany, 30 September–2 October 2019; IEEE: Piscataway, NJ, USA; pp. 590–595. [Google Scholar]
- Kazmi, S.M.A.; Tran, N.H.; Saad, W.; Han, Z.; Ho, T.M.; Oo, T.Z.; Hong, C.S. Mode Selection and Resource Allocation in Device-to-Device Communications: A Matching Game Approach. IEEE Trans. Mob. Comput. 2017, 16, 3126–3141. [Google Scholar] [CrossRef]
- Liang, W.; Ding, Z.; Li, Y.; Song, L. User Pairing for Downlink Non-Orthogonal Multiple Access Networks Using Matching Algorithm. IEEE Trans. Commun. 2017, 65, 5319–5332. [Google Scholar] [CrossRef]
- Alizadeh, A.; Vu, M. Distributed User Association in B5G Networks Using Early Acceptance Matching Game. IEEE Trans. Wirel. Commun. 2020, 20, 2428–2441. [Google Scholar] [CrossRef]
- Zalghout, M.; Helard, J.-F.; Crussiere, M.; Abdul-Nabi, S.; Khalil, A. A Greedy Heuristic Algorithm for Context-Aware User Association and Resource Allocation in Heterogeneous Wireless Networks. In Proceedings of the 2017 IEEE 86th Vehicular Technology Conference (VTC-Fall), Toronto, ON, Canada, 24–27 September 2017; pp. 1–7. [Google Scholar] [CrossRef]
- Pradhan, A.; Das, S. Joint Preference Metric for Efficient Resource Allocation in Co-Existence of eMBB and URLLC. In Proceedings of the 2020 International Conference on COMmunication Systems & NETworkS (COMSNETS), Bengaluru, India, 7–11 January 2020; pp. 897–899. [Google Scholar] [CrossRef]
- Ginige, N.U.; Manosha, K.S.; Rajatheva, N.; Latva-aho, M. Admission control in 5G networks for the coexistence of eMBB-URLLC users. In Proceedings of the 2020 IEEE 91st Vehicular Technology Conference (VTC2020-Spring), Antwerp, Belgium, 25–28 May 2020; IEEE: Piscataway, NJ, USA, 2020; pp. 1–6. [Google Scholar]
- Darabi, M.; Jamali, V.; Lampe, L.; Schober, R. Hybrid Puncturing and Superposition Scheme for Joint Scheduling of URLLC and eMBB Traffic. IEEE Commun. Lett. 2022, 26, 1081–1085. [Google Scholar] [CrossRef]
- Yue, X.; Liu, Y.; Kang, S.; Nallanathan, A.; Ding, Z. Outage performance of full/half-duplex user relaying in NOMA systems. In Proceedings of the 2017 IEEE International Conference on Communications (ICC), Paris, France, 21–25 May 2017; pp. 1–6. [Google Scholar] [CrossRef]
- Mahbub, M. UAV Assisted 5G Het-Net: A Highly Supportive Technology for 5G NR Network Enhancement. EAI Endorsed Trans. Internet Things 2020, 6, e4. [Google Scholar] [CrossRef]
- Khan, A.; Khan, S.; Fazal, A.S.; Zhang, Z.; Abuassba, A.O. Intelligent cluster routing scheme for flying ad hoc networks. Sci. China Inf. Sci. 2021, 64, 182305. [Google Scholar] [CrossRef]









| U-S. A Scheme | Complexity | U-S. P Scheme | Complexity | 
|---|---|---|---|
| DAA [37,39,55] | DAA | ||
| EAA [56] | EAA | ||
| GA [57] | GA | ||
| MAX-SINR | MAX-SINR | 
| Parameter | Value | 
|---|---|
| Transmit power of macro-BS | 46 dBm | 
| Transmit power of pico-BS | 33 dBm | 
| Backhaul bandwidth | 40 MHZ | 
| Backhaul timeslot | 25 µs | 
| 5GRAN bandwidth | 20 MHz | 
| Number of PRBs | 100 | 
| Inter-site distance | 500 m | 
| Pathloss between MBS and device | |
| Pathloss between SBS and device | |
| eMBB-rate threshold | [ Mbps | 
| uRLLC rate threshold | Mbps | 
| Modulation | 4- for uRLLC and eMBB, respectively | 
| uRLLC packet size | bytes | 
| PHY numerology | 15 kHz subcarrier spacing;12 subcarriers per PRB;2-OFDM symbols TTI (0.143 ms) | 
| HARQ | Asynchronous HARQ with chase combining, and 4 TTI round trip time; Max 6 HARQ retransmissions. | 
| Schemes | Outage Probability | 
|---|---|
| DAA-NOMA | 99.04% | 
| DAA-OMA | 97.03% | 
| DAA- PUNC | 98.3% | 
| EAA-NOMA | 98.85% | 
| EAA-OMA | 98.64% | 
| GHA-NOMA | 99.03% | 
| GHA-OMA | 99.42% | 
| MAX-SINR-NOMA | 99.78% | 
| MAX-SINR-OMA | 99.99% | 
| Compared Algorithms | DL Sum Rate Gains | 
|---|---|
| DAA-OMA | 24.3% | 
| DAA- PUNC | 41.9% | 
| EAA-NOMA | 16.4% | 
| EAA-OMA | 34.3% | 
| GHA-NOMA | 18.3% | 
| GHA-OMA | 32.3% | 
| MAX-SINR-NOMA | 14% | 
| MAX-SINR-OMA | 23.6% | 
| Schemes | Outage Probability | 
|---|---|
| DAA-NOMA | 98.6% | 
| DAA-OMA | 92.9% | 
| DAA-PUNC | 94.6% | 
| EAA-NOMA | 96.7% | 
| EAA-OMA | 94% | 
| GHA-NOMA | 96.7% | 
| GHA-OMA | 93.9% | 
| MAX-SINR-NOMA | 98.6% | 
| MAX-SINR-OMA | 93% | 
| Compared Algorithms | DL Latency Gains | 
|---|---|
| DAA-OMA | 92% | 
| DAA- PUNC | 77% | 
| EAA-NOMA | 40% | 
| EAA-OMA | 93% | 
| GHA-NOMA | 38% | 
| GHA-OMA | 91% | 
| MAX-SINR-NOMA | 49% | 
| MAX-SINR-OMA | 91% | 
| Publisher’s Note: MDPI stays neutral with regard to jurisdictional claims in published maps and institutional affiliations. | 
© 2022 by the authors. Licensee MDPI, Basel, Switzerland. This article is an open access article distributed under the terms and conditions of the Creative Commons Attribution (CC BY) license (https://creativecommons.org/licenses/by/4.0/).
Share and Cite
Riad, M.A.; El-Ghandour, O.; Abd El-Haleem, A.M. Joint User-Slice Pairing and Association Framework Based on H-NOMA in RAN Slicing. Sensors 2022, 22, 7343. https://doi.org/10.3390/s22197343
Riad MA, El-Ghandour O, Abd El-Haleem AM. Joint User-Slice Pairing and Association Framework Based on H-NOMA in RAN Slicing. Sensors. 2022; 22(19):7343. https://doi.org/10.3390/s22197343
Chicago/Turabian StyleRiad, Mai A., Osama El-Ghandour, and Ahmed M. Abd El-Haleem. 2022. "Joint User-Slice Pairing and Association Framework Based on H-NOMA in RAN Slicing" Sensors 22, no. 19: 7343. https://doi.org/10.3390/s22197343
APA StyleRiad, M. A., El-Ghandour, O., & Abd El-Haleem, A. M. (2022). Joint User-Slice Pairing and Association Framework Based on H-NOMA in RAN Slicing. Sensors, 22(19), 7343. https://doi.org/10.3390/s22197343
 
        




 
       