Compact Quad Band MIMO Antenna Design with Enhanced Gain for Wireless Communications
Abstract
1. Introduction
2. Antenna Design
2.1. Meander-Line Antenna Element Design
2.2. Quad Elements MIMO Antenna Design
3. Results and Discussions
3.1. Single Antenna Performance
3.2. MIMO Antenna Performance
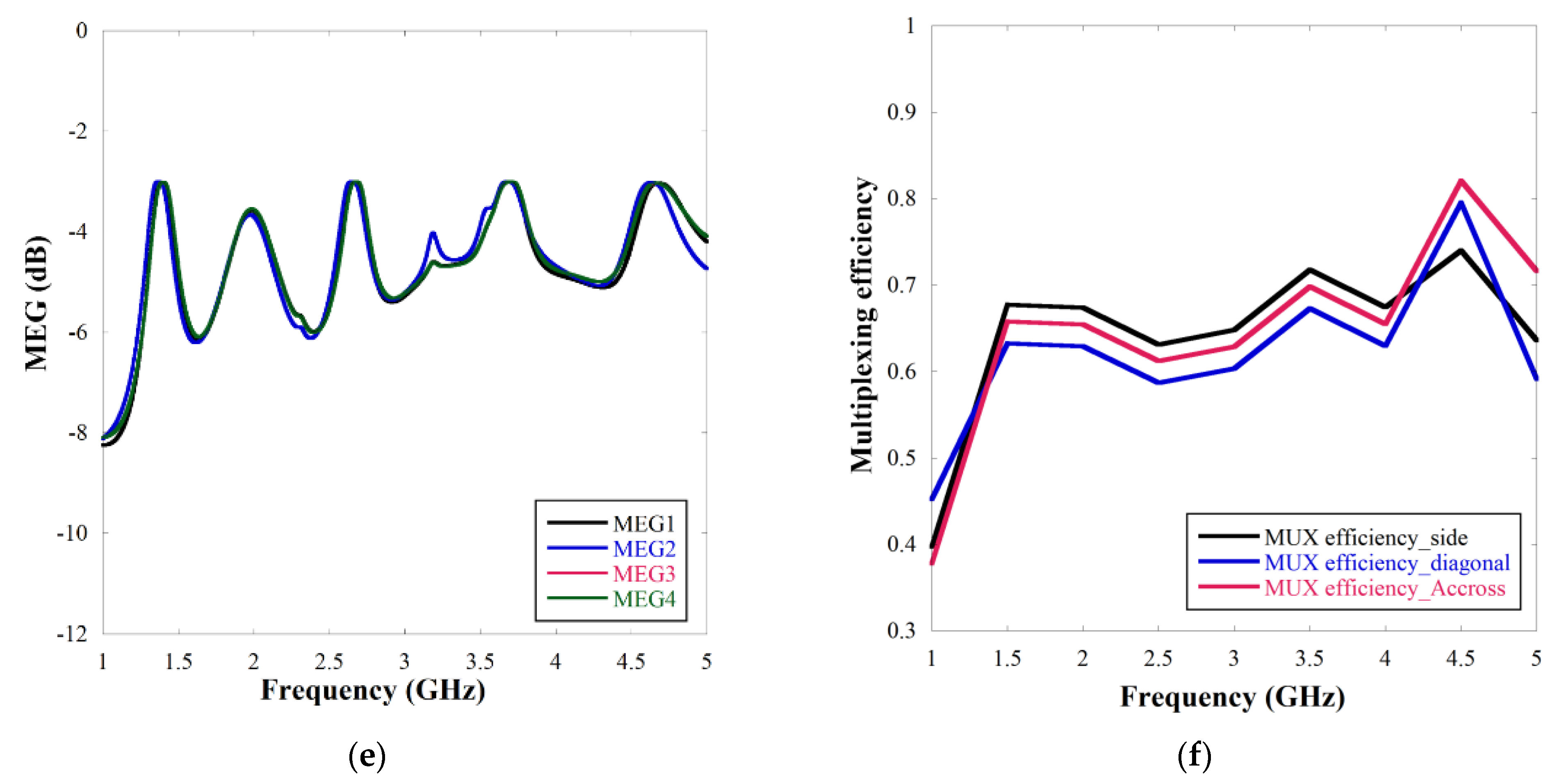
3.3. Diversity Performance
3.4. Measurement Results
4. Conclusions
Author Contributions
Funding
Conflicts of Interest
References
- Amin, F.; Saleem, R.; Shabbir, T.; Rehman, S.U.; Bilal, M.; Shafique, M.F. A Compact Quad-Element UWB-MIMO Antenna System with Parasitic Decoupling Mechanism. Appl. Sci. 2019, 9, 2371. [Google Scholar] [CrossRef]
- Rafique, U.; Khan, S.; Ahmed, M.M.; Kiani, S.H.; Abbas, S.M.; Saeed, S.I.; Alibakhshikenari, M.; Dalarsson, M. Uni-Planar MIMO Antenna for Sub-6 GHz 5G Mobile Phone Applications. Appl. Sci. 2022, 12, 3746. [Google Scholar] [CrossRef]
- Abdullah, M.; Altaf, A.; Anjum, M.R.; Arain, Z.A.; Jamali, A.A.; Alibakhshikenari, M.; Limiti, E. Future Smartphone: MIMO Antenna System for 5G Mobile Terminals. IEEE Access 2021, 9, 91593–91603. [Google Scholar]
- Saleem, A.; Cui, H.; He, Y.; Boag, A. Channel Propagation Characteristics for Massive Multiple-Input/Multiple-Output Systems in a Tunnel Environment [Measurements Corner]. IEEE Antennas Propag. Mag. 2022, 64, 126–142. [Google Scholar] [CrossRef]
- Liu, X.; Zhang, J.; Xi, H.; Yang, X.; Sun, L.; Gan, L. A compact four-band high-isolation quad-port MIMO antenna for 5G and WLAN applications. AEU-Int. J. Electron. Commun. 2022, 153, 154294. [Google Scholar] [CrossRef]
- Fei, W.; Shifeng, L.; Qing, Z.; Yu-Bin, G. Compact wideband quad-element MIMO antenna with reversed s-shaped walls. Prog. Electromagn. Res. M 2019, 78, 193–201. [Google Scholar]
- Chataut, R.; Akl, R. Massive MIMO Systems for 5G and Beyond Networks-Overview, Recent Trends, Challenges, and Future Research Direction. Sensors 2020, 20, 2753. [Google Scholar] [CrossRef]
- Saleem, A.; Xu, Y.; Khan, R.A.; Rasheed, I.; Jaffri, Z.U.A.; Layek, M.A. Statistical Characteristics of 3D MIMO Channel Model for Vehicle-to-Vehicle Communications. Wirel. Commun. Mob. Comput. 2022, 2022, 9090494. [Google Scholar] [CrossRef]
- Saad, A.A.R.; Mohamed, H.A. Printed millimeter-wave MIMO-based slot antenna arrays for 5G networks. Int. J. Electron. Commun. 2019, 99, 59–69. [Google Scholar] [CrossRef]
- Yang, L.; Tao, L.; Yan, S. Highly compact MIMO antenna system for LTE/ISM applications. Int. J. Antennas Propag. 2015, 2015, 714817. [Google Scholar] [CrossRef]
- Nandi, S.; Mohan, A. A self-diplexing MIMO antenna for WLAN applications. Microw. Opt. Technol. Lett. 2019, 61, 239–244. [Google Scholar] [CrossRef]
- Chaudhari, A.A.; Gupta, R.K. A simple tri-band MIMO antenna using a single ground stub. Prog. Electromagn. Res. C 2018, 86, 191–201. [Google Scholar] [CrossRef]
- Lin, I.K.C.; Jamaluddin, M.H.; Awang, A.; Selvaraju, R.; Dahri, M.H.; Yen, L.C.; Rahim, H.A. A triple band hybrid MIMO rectangular dielectric resonator antenna for LTE applications. IEEE Access 2019, 7, 122900–122913. [Google Scholar]
- Nandi, S.; Mohan, A. CRLH unit cell loaded triband compact MIMO antenna for WLAN/WIMAX applications. IEEE Antennas Wirel. Propag. Lett. 2017, 16, 1816–1819. [Google Scholar]
- Wenying, W.; Ruixing, Z.; Yingjian, C.; Han, L.; Yanhua, T.; Gui, L. A compact multiband MIMO antenna for IEEE 802.11 a/b/g/n applications. Prog. Electromagn. Res. Lett. 2019, 84, 59–65. [Google Scholar]
- Rao, P.S.; Babu, K.J.; Prasad, A.M. Compact multi-band MIMO antenna with improved isolation. Prog. Electromagn. Res. M 2017, 62, 199–210. [Google Scholar]
- Ojaroudi Parchin, N.; Jahanbakhsh Basherlou, H.; Al-Yasir, Y.I.; Ullah, A.; Abd-Alhameed, R.A.; Noras, J.M. Multi-band MIMO antenna design with user-impact investigation for 4G and 5G mobile terminals. Sensors 2019, 19, 456. [Google Scholar] [CrossRef]
- Ikram, M.; Nguyen-Trong, N.; Abbosh, A. multiband MIMO microwave and millimeter antenna system employing dual-function tapered slot structure. IEEE Trans. Antennas Propag. 2019, 67, 5705–5710. [Google Scholar] [CrossRef]
- Wang, H.; Zhang, R.; Luo, Y.; Yang, G. Compact eight-element antenna array for triple-band MIMO operation in 5G mobile terminals. IEEE Access 2020, 8, 19433–19449. [Google Scholar] [CrossRef]
- Islam, S.N.; Das, S. Dual-band cpw fed MIMO antenna with polarization diversity and improved gain. Int. J. RF Microw. Comput.-Aided Eng. 2020, 30, e22128. [Google Scholar] [CrossRef]
- Nguyen, N.L. Gain enhancement in MIMO antennas using defected ground structure. Prog. Electromagn. Res. M 2019, 87, 127–136. [Google Scholar] [CrossRef]
- Andrade, E.F.; Miguel, A.P.; Villanueva, R.G.; Aguilar, H.J. Characteristic mode analysis applied to reduce the mutual coupling of a four-element patch MIMO antenna using a defected ground structure. IET Microw. Antennas Propag. 2020, 14, 215–226. [Google Scholar] [CrossRef]
- Mark, R.; Rajak, N.; Mandal, K.; Das, S. Isolation and gain enhancement using metamaterial-based superstrate for MIMO applications. Radioengineering 2019, 28, 689–695. [Google Scholar] [CrossRef]
- Hammerstead, E.O. Equation of Microstrip Circuit Design. In Proceedings of the 1975 5th European Microwave Conference, Hamburg, Germany, 1–4 September 1975; pp. 268–272. [Google Scholar]
- Balanis, C.A. Advanced Electromagnetics; John Wiley & Sons: New York, NY, USA, 1989; p. 728. [Google Scholar]
- Ahmad, S.; Khan, S.; Manzoor, B.; Soruri, M.; Alibakhshikenari, M.; Dalarsson, M.; Falcone, F. A Compact CPW-Fed Ultra-Wideband Multi-Input-Multi-Output (MIMO) Antenna for Wireless Communication Networks. IEEE Access 2022, 10, 25278–25289. [Google Scholar] [CrossRef]
- Ghosh, A.; Kumar, V.; Sen, G.; Das, S. Gain enhancement of triple-band patch antenna by using triple-band artificial magnetic conductor. IET Microw. Antennas Propag. 2018, 12, 1400–1406. [Google Scholar] [CrossRef]














| Parameter | Ls × Ws | wm | wc | wf | S1 | S2 | S3 | S4 | S5 | S6 | S7 | Sf | P1 | P2 | P3 | P4 | P5 | P6 | Pf |
|---|---|---|---|---|---|---|---|---|---|---|---|---|---|---|---|---|---|---|---|
| Dimension (mm) | 60 × 60 | 2.5 | 2.0 | 2.8 | 9 | 11.5 | 7 | 8.5 | 7.5 | 7.5 | 7 | 25.5 | 12.6 | 10 | 8 | 7 | 14 | 11 | 24 |
| Parameter | Dimension (mm) |
|---|---|
| Lm × Wm | 80 × 70 |
| Dm | 6 |
| Dt | 9 |
| Sm | 2.5 |
| St | 2.5 |
| Ds | 2 |
| Length of Two Successive Nodes (mm) | Resonant Frequency (GHz) | |
|---|---|---|
| Theoretical | Simulation | |
| 67.9 | 1.227 | 1.23 |
| 34.0 | 2.45 | 2.47 |
| 23.8 | 3.5 | 3.5 |
| 17.0 | 4.9 | 4.95 |
| Frequency (GHz) | Gain (dB) | |
|---|---|---|
| Without Parasitic Cross Microstrip Line | With Parasitic Cross Microstrip Line | |
| 1.23 | 0.67 | 1.73 |
| 2.45 | 3.41 | 4.83 |
| 3.5 | 5.14 | 7.62 |
| 4.95 | 6.72 | 9.81 |
| Frequency (GHz) | Simulated | Measured | Intended Wireless Application Bands | ||||
|---|---|---|---|---|---|---|---|
| Frequency (GHz) | Bandwidth | Gain (dB) | Frequency (GHz) | Bandwidth | Gain (dB) | ||
| First resonance | 1.23 | 40 MHz (1.21–1.24 GHz) | 1.73 | 1.237 | 30 MHz (1.22–1.25 GHz) | 1.67 | GPS L2 (1.22–1.23 GHz) |
| Second resonance | 2.45 | 80 MHz (2.4–2.48 GHz) | 4.83 | 2.42 | 80 MHz (2.4–2.48 GHz) | 4.1 | Wi-Fi (2.4–2.48 GHz) |
| Third resonance | 3.5 | 210 MHz (3.39–3.6 GHz) | 7.62 | 3.48 | 230 MHz (3.37–3.6 GHz) | 7.21 | Wi-MAX (3.4–3.6 GHz) |
| Fourth resonance | 4.95 | 100 MHz (4.9–5.0 GHz) | 9.81 | 4.9 | 100 MHz (4.85–4.95 GHz) | 9.67 | WLAN IEEE 802.11y (4.94–4.99 GHz) |
| Reference | Frequency Band (GHz) | No. of Elements | Total Layout (λ × λ) | Minimum Isolation (dB) | Maximum Gain (dB) | CCL (bps/Hz) |
|---|---|---|---|---|---|---|
| [11] | 5.1, 5.7 | 4 | 0.42 λ × 0.41 λ | 15 | 2.96 | N/A |
| [12] | 2.4, 3.5, 5.25 | 2 | 0.26 λ × 0.25 λ | 20 | 4 | N/A |
| [13] | 0.9, 1.8, 2.3 | 2 | NA | 15.3 | 4.1 | N/A |
| [14] | 2.4, 3.5, 5.5 | 2 | 0.2 λ× 0.36 λ | 15 | 3.2 | 0.4 |
| [16] | 4.75, 5.89, 6.74, 8.25, 9.82 | 2 | 1.01 λ × 0.55 λ | 21.5 | N/A | N/A |
| [17] | 2.6, 3.5, 5. 2 | 4 | 0.65 λ × 1.29 λ | 17 | N/A | N/A |
| [18] | 2.25, 2.6, 5.2, 24, 28 | 4 | 0.85 λ × 0.85 λ | 16 | 11 | N/A |
| [19] | 3.5, 4.8, 5.5 | 8 | NA | 10.5 | 4.8 | NA |
| [20] | 3.5, 5.2 | 2 | 0.39 λ × 0.39 λ | 19 | 4.7 | 0.3 |
| [21] | 5.3 | 4 | 2.56 λ × 1.55 λ | 20 | 9.5 | N/A |
| [22] | 5.8 | 4 | 1.1 λ × 1.1 λ | 30 | 5.3 | 0.0023 |
| [23] | 5.7 | 4 | 1.33 λ × 1.14 λ | 20 | 9.49 | N/A |
| Proposed work | 1.23, 2.45, 3.5, 4.9 | 4 | 0.33 λ × 0.29 λ | 22 | 9.67 | 0.0025 |
Publisher’s Note: MDPI stays neutral with regard to jurisdictional claims in published maps and institutional affiliations. |
© 2022 by the authors. Licensee MDPI, Basel, Switzerland. This article is an open access article distributed under the terms and conditions of the Creative Commons Attribution (CC BY) license (https://creativecommons.org/licenses/by/4.0/).
Share and Cite
Nej, S.; Ghosh, A.; Ahmad, S.; Ghaffar, A.; Hussein, M. Compact Quad Band MIMO Antenna Design with Enhanced Gain for Wireless Communications. Sensors 2022, 22, 7143. https://doi.org/10.3390/s22197143
Nej S, Ghosh A, Ahmad S, Ghaffar A, Hussein M. Compact Quad Band MIMO Antenna Design with Enhanced Gain for Wireless Communications. Sensors. 2022; 22(19):7143. https://doi.org/10.3390/s22197143
Chicago/Turabian StyleNej, Sanjukta, Anumoy Ghosh, Sarosh Ahmad, Adnan Ghaffar, and Mousa Hussein. 2022. "Compact Quad Band MIMO Antenna Design with Enhanced Gain for Wireless Communications" Sensors 22, no. 19: 7143. https://doi.org/10.3390/s22197143
APA StyleNej, S., Ghosh, A., Ahmad, S., Ghaffar, A., & Hussein, M. (2022). Compact Quad Band MIMO Antenna Design with Enhanced Gain for Wireless Communications. Sensors, 22(19), 7143. https://doi.org/10.3390/s22197143

