Joint Estimation for Time Delay and Direction of Arrival in Reconfigurable Intelligent Surface with OFDM
Abstract
:1. Introduction
- (i)
- We present a joint estimation algorithm for TD and DOA. The algorithmic model integrates the RIS array response and the OFDM subcarrier response to build a coded channel frequency response (Coded-Response). The algorithm achieves excellent estimation performance under low signal-to-noise ratio (SNR) conditions.
- (ii)
- Due to the reasonable combination of the RIS time-domain coding function and the OFDM multi-subcarrier features, we construct frequency asymmetry of the space–time phase. This method reduces the singularity of the signal correlation matrix and thus effectively suppresses the coherence signal.
- (iii)
- The covariance matrix of Coded-Response is reconstructed by using the structural advantages of tensor. Further use of CANDECOMP/PARAFAC to decompose the covariance matrix results in corresponding TD and DOA signal subspaces, avoiding multi-dimensional spectral peak search and greatly reducing complexity.
- (iv)
- Compared with the existing RIS- and OFDM-based localization algorithms [23,24], the proposed algorithm can obtain the required parameters for localization based on a single station node in a coherent environment. Simulation results show that the proposed algorithm avoids the aperture loss of current smoothing algorithms [22,25] when processing coherent signals and thus has more advantages in terms of estimation accuracy.
2. Signal Model
2.1. Time-Domain Model
2.2. Frequency-Domain Model
3. The Joint TD and DOA Estimation
3.1. Tensor Approach
3.2. TD Estimation
3.3. DOA Estimation
3.4. Algorithm Steps
| Algorithm 1 Algorithm steps. | |
| step1: | The Coded-Response in tensor form is constructed according to (23). |
| step2: | The tensor covariance matrix is constructed according to (25). |
| step3: | Perform a CPD of , which solves the signal subspaces and , and then the corresponding noise subspaces and are obtained by (35) and (39), respectively. and . |
| step4: | Proceed to conduct a 1D spectral peak search for to solve the by (36), and a 2D spectral peak search for to solve the by (40). |
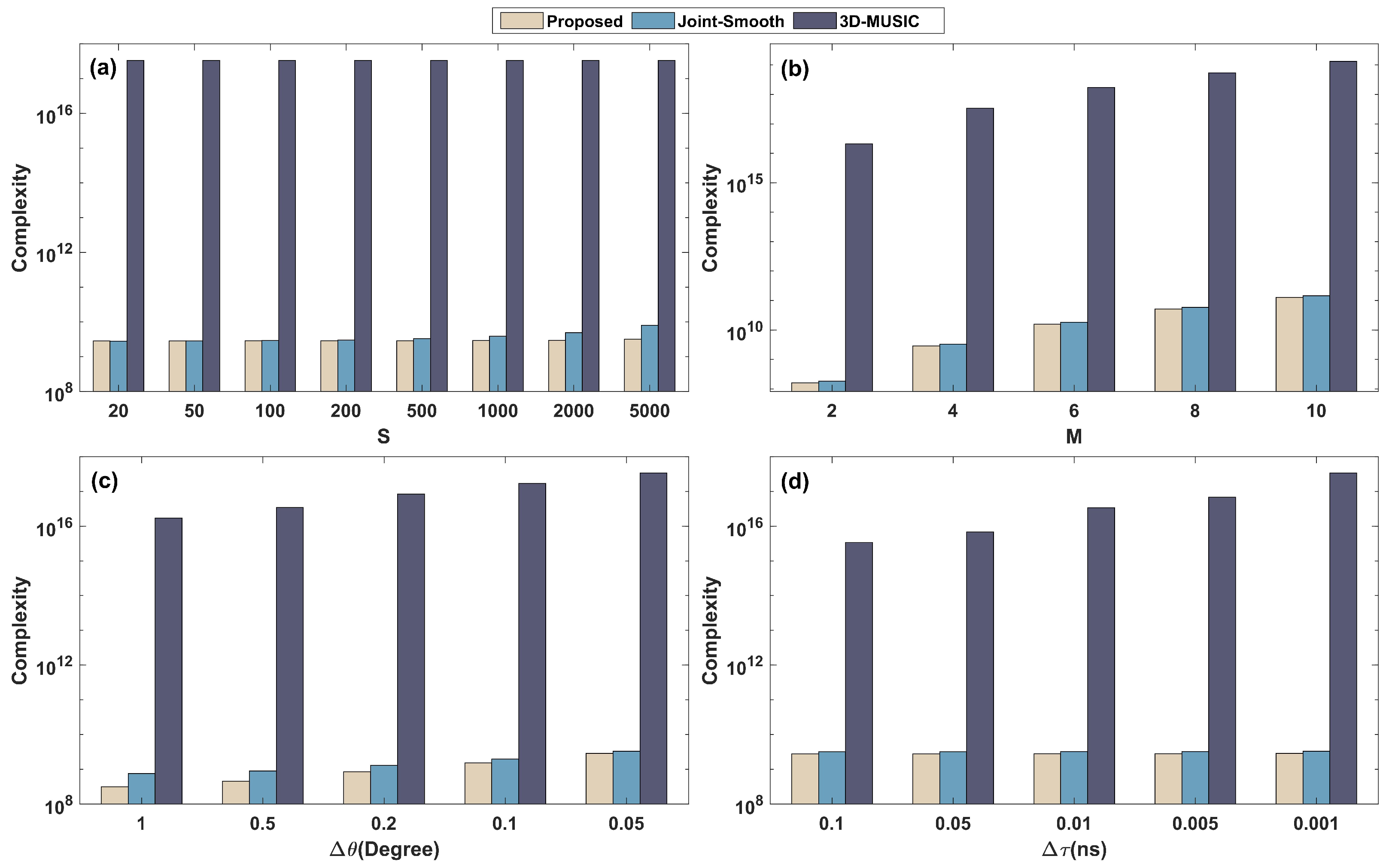
4. Algorithms Complexity
5. Simulation Results
5.1. Performance at Low SNR
5.2. Performance versus SNR
5.3. Performance versus Time Intervals
5.4. Performance versus RIS Elements
6. Conclusions
Author Contributions
Funding
Institutional Review Board Statement
Data Availability Statement
Conflicts of Interest
Appendix A. Proof of Proposition
References
- Zhang, L.; Chen, X.Q.; Liu, S.; Zhang, Q.; Zhao, J.; Dai, J.Y.; Bai, G.D.; Wan, X.; Cheng, Q.; Castaldi, G.; et al. Space-time-coding digital metasurfaces. Nat. Commun. 2018, 9, 4334. [Google Scholar] [CrossRef] [PubMed]
- Zhang, L.; Chen, M.Z.; Tang, W.; Dai, J.Y.; Miao, L.; Zhou, X.Y.; Jin, S.; Cheng, Q.; Cui, T.J. A wireless communication scheme based on space-and frequency-division multiplexing using digital metasurfaces. Nat. Electron. 2021, 4, 218–227. [Google Scholar] [CrossRef]
- He, J.; Wymeersch, H.; Sanguanpuak, T.; Silvén, O.; Juntti, M. Adaptive beamforming design for mmwave ris-aided joint localization and communication. In Proceedings of the 2020 IEEE Wireless Communications and Networking Conference Workshops (WCNCW), Seoul, Korea, 6–9 April 2020; pp. 1–6. [Google Scholar]
- Chen, P.; Yang, Z.; Chen, Z.; Guo, Z. Reconfigurable intelligent surface aided sparse doa estimation method with non-ula. IEEE Signal Process. Lett. 2021, 28, 2023–2027. [Google Scholar] [CrossRef]
- Jin, E.-S.; Park, H. A novel frequency domain preamble detection for ofdm based wlan systems. In Proceedings of the 2020 International Conference on Information and Communication Technology Convergence (ICTC), Jeju, Korea, 21–23 October 2020; pp. 1494–1498. [Google Scholar]
- Kumar, T.A.; Anjaneyulu, L. Channel estimation techniques for multicarrier ofdm 5g wireless communication systems. In Proceedings of the 2020 IEEE 10th International Conference on System Engineering and Technology (ICSET), Shah Alam, Malaysia, 9 November 2020; pp. 98–101. [Google Scholar]
- Guo, C.-L.; Wei, L.; Qi, W.-D. Channel estimation aided accurate toa estimation for ofdm systems in nlos environments. In Wireless Communication and Sensor Network, Proceedings of the International Conference on Wireless Communication and Sensor Network (WCSN 2015), Changsha, China, 12–13 December 2015; World Scientific: Singapore, 2016; pp. 155–165. [Google Scholar]
- Pradhan, C.; Li, A.; Song, L.; Li, J.; Vucetic, B.; Li, Y. Reconfigurable intelligent surface (ris)-enhanced two-way ofdm communications. IEEE Trans. Veh. Technol. 2020, 69, 16270–16275. [Google Scholar] [CrossRef]
- He, Z.; Shen, H.; Xu, W.; Zhao, C. Low-cost passive beamforming for ris-aided wideband ofdm systems. IEEE Wirel. Commun. Lett. 2022, 11, 318–322. [Google Scholar] [CrossRef]
- Jeong, S.; Farhang, A.; Perović, N.S.; Flanagan, M.F. Low-complexity joint cfo and channel estimation for ris-aided ofdm systems. IEEE Wirel. Commun. Lett. 2021, 11, 203–207. [Google Scholar] [CrossRef]
- Zheng, Y.; Sheng, M.; Liu, J.; Li, J. Exploiting aoa estimation accuracy for indoor localization: A weighted aoa-based approach. IEEE Wirel. Commun. Lett. 2019, 8, 65–68. [Google Scholar] [CrossRef]
- Kim, S.; Kim, B.; Lee, J. Low-complexity-based rd-music with extrapolation for joint toa and doa at automotive fmcw radar systems. J. Sens. 2020, 2020, 7342385. [Google Scholar] [CrossRef]
- Cao, F.; Li, M. Frequency domain doa estimation and tracking of uwb signals. In Proceedings of the 2010 6th International Conference on Wireless Communications Networking and Mobile Computing (WiCOM), Chengdu, China, 23–25 September 2010; pp. 1–4. [Google Scholar]
- Ni, H.; Ren, G.; Chang, Y. Novel toa estimation algorithm for ofdm wireless networks. J. Xidian Univ. 2009, 36, 17–21. [Google Scholar]
- Jiang, H.; Cao, F.; Ding, R. Propagator method-based toa estimation for uwb indoor environment in the presence of correlated fading amplitudes. In Proceedings of the 2008 4th IEEE International Conference on Circuits and Systems for Communications, Shanghai, China, 26–28 May 2008; pp. 535–538. [Google Scholar]
- Wang, J.; Shen, Z. An improved music toa estimator for rfid positioning. In Proceedings of the 2002 International Radar Conference, Edinburgh, UK, 15–17 October 2002; pp. 478–482. [Google Scholar]
- Kim, S.; Oh, D.; Lee, J. Joint dft-esprit estimation for toa and doa in vehicle fmcw radars. IEEE Antennas Wirel. Propag. Lett. 2015, 14, 1710–1713. [Google Scholar] [CrossRef]
- Ding, R.; Qian, Z.-H.; Wang, X. Uwb positioning system based on joint toa and doa estimation. J. Electron. Inf. Technol. 2010, 32, 313–317. [Google Scholar] [CrossRef]
- Ba, B.; Liu, G.-C.; Li, T.; Lin, Y.-C.; Wang, Y. Joint for time of arrival and direction of arrival estimation algorithm based on the subspace of extended hadamard product. Acta Phys. Sin. 2015, 64, 078403. [Google Scholar]
- Jiang, H.; Wang, S.-X. On temporal smoothing for two-dimensional direction-of-arrival estimation of coherent signals in multiplicative/additive noises environment. In Proceedings of the 2005 Asia-Pacific Conference on Communications, Perth, WA, Australia, 5 October 2005; pp. 119–123. [Google Scholar]
- Xu, H.; Wang, D.; Ba, B.; Cui, W.; Zhang, Y. Direction-of-arrival estimation for both uncorrelated and coherent signals in coprime array. IEEE Access 2019, 7, 18590–18600. [Google Scholar] [CrossRef]
- Du, J.; Cui, W.; Ba, B.; Jian, C.; Li, H. Fast joint estimation for time delay and angle of arrival based on smooth preprocessing with orthogonal frequency division multiplexing. Iet Radar Sonar Navig. 2022. [Google Scholar] [CrossRef]
- Lin, Y.; Jin, S.; Matthaiou, M.; You, X. Channel estimation and user localization for irs-assisted mimo-ofdm systems. IEEE Trans. Wirel. Commun. 2021, 21, 2320–2335. [Google Scholar] [CrossRef]
- Ma, T.; Xiao, Y.; Lei, X.; Xiong, W.; Ding, Y. Indoor localization with reconfigurable intelligent surface. IEEE Commun. Lett. 2021, 25, 161–165. [Google Scholar] [CrossRef]
- Li, X.; Cui, W.; Xu, H.; Ba, B.; Zhang, Y. A novel method for doa and time delay joint estimation in multipath ofdm environment. Int. J. Antennas Propag. 2020, 2020, 3952175. [Google Scholar] [CrossRef]
- Kolda, T.G.; Bader, B.W. Tensor decompositions and applications. SIAM Rev. 2009, 51, 455–500. [Google Scholar] [CrossRef]
- Jakobsen, M.L.; Laugesen, K.; Manchón, C.N.; Kirkelund, G.E.; Rom, C.; Fleury, B. Parametric modeling and pilot-aided estimation of the wireless multipath channel in ofdm systems. In Proceedings of the 2010 IEEE International Conference on Communications, Cape Town, South Africa, 23–27 May 2010; pp. 1–6. [Google Scholar]
- Du, W.; Kirlin, R.L. Improved spatial smoothing techniques for doa estimation of coherent signals. IEEE Trans. Signal Process. 1991, 39, 1208–1210. [Google Scholar] [CrossRef]
- Stoica, P.; Nehorai, A. Music, maximum likelihood, and cramer-rao bound. IEEE Trans. Acoust. Speech Signal Process. 1989, 37, 720–741. [Google Scholar] [CrossRef]








| Transpose | |
| Conjugate | |
| Hermitian transpose | |
| Khatri-Rao product | ⊙ |
| Kronecker product | ⊗ |
| Hadamard product | ⊕ |
| Tensor outer product | ∘ |
| Convolution | ∗ |
| Identity matrix | I |
| Statistical expectation | |
| Orthogonalization | |
| Tensor contraction along the dimension |
| Algorithm | Complexity |
|---|---|
| Proposed | |
| 3D-Music | |
| Joint-Smooth |
Publisher’s Note: MDPI stays neutral with regard to jurisdictional claims in published maps and institutional affiliations. |
© 2022 by the authors. Licensee MDPI, Basel, Switzerland. This article is an open access article distributed under the terms and conditions of the Creative Commons Attribution (CC BY) license (https://creativecommons.org/licenses/by/4.0/).
Share and Cite
Du, J.; Cui, W.; Ba, B.; Jian, C.; Zhang, L. Joint Estimation for Time Delay and Direction of Arrival in Reconfigurable Intelligent Surface with OFDM. Sensors 2022, 22, 7083. https://doi.org/10.3390/s22187083
Du J, Cui W, Ba B, Jian C, Zhang L. Joint Estimation for Time Delay and Direction of Arrival in Reconfigurable Intelligent Surface with OFDM. Sensors. 2022; 22(18):7083. https://doi.org/10.3390/s22187083
Chicago/Turabian StyleDu, Jinzhi, Weijia Cui, Bin Ba, Chunxiao Jian, and Liye Zhang. 2022. "Joint Estimation for Time Delay and Direction of Arrival in Reconfigurable Intelligent Surface with OFDM" Sensors 22, no. 18: 7083. https://doi.org/10.3390/s22187083
APA StyleDu, J., Cui, W., Ba, B., Jian, C., & Zhang, L. (2022). Joint Estimation for Time Delay and Direction of Arrival in Reconfigurable Intelligent Surface with OFDM. Sensors, 22(18), 7083. https://doi.org/10.3390/s22187083

