Surface Metrology Based on Scanning Conoscopic Holography for In Situ and In-Process Monitoring of Microtexture in Paintings
Abstract
:1. Introduction
1.1. Background and Motivation
1.2. Paper Organization
2. Materials and Methods
2.1. Surface Metrology Based on Areal Field Parameters
2.1.1. Amplitude Parameters
2.1.2. Spatial Parameters
2.1.3. Hybrid Parameters
2.2. Design of the Validation Experiments: The Treatment of the Tintoretto Masterpiece
- 1
- Multi-step treatment laser–chemicalThe experiment analyzes the surface processed with the two-phase laser–chemical cleaning treatment. The different steps of the procedure are studied in a single region of interest (ROI) or in multiple ROIs, thus testing an “in-process” or an “off-line” diagnostics. Multiple ROI testing is necessary when performing the optimization of parameters (e.g., the laser pulse) for a single step.
- Multiple ROIs Profilometry is performed on different test areas of a red lake painted surface, in which the main steps are reproduced: a ROI is not treated, two ROIs are treated with the laser set at different pulse modes, and a ROI is treated with the laser combined with a specific chemical treatment.The typical practice, in which the restorer prepares various test areas of the treatment, for a performance analysis is carried out off-line (see Figure 1a).
- SingleROI Profilometry is performed on a region painted with azurite and lead white, which was pre-treated with solvents to remove most of the degraded upper layer (old varnish and candle soot), leaving residues [10]. The ROI is subjected to the whole laser–chemical cleaning treatment and the temporal evolution of the surface is monitored at different steps of the procedure.It is a controlled situation, in which an in-process diagnostics is performed in synergy with the restorer (see Figure 1b).
- 2
- Chemical treatment stepsThe experiment analyzes the effects of the chemical treatments on the microsurface. In this case, different ROIs treated with different solvent mixtures are acquired.A typical situation is the quality control being performed off-line on the final surface subjected to different processing (see Figure 1c).
| Experiments | ROI | Laser Er:YAG | Solvent |
|---|---|---|---|
| 1. Multi-step treatment: | |||
| a. Multiple ROIs, red lake | A1 | / | / |
| A2 | Very Short pulse 1 | / | |
| A3 | Short pulse 2 | / | |
| A4 | Short pulse | isooctane 80% ethyl alcohol 20% | |
| b. Single ROI, azurite | T0,T1,T2 | Short pulse | isooctane 80% ethyl alcohol 20% |
| 2. Chemical treatment steps | 1, …, 10 | / | 10%, …, 100% ethyl alcohol |
| 1, …, 10 | / | 10%, …, 100% acetone |
2.3. Microprofilometry Based on Conoscopic Holography Sensors for In Situ Measurements of Paintings
2.4. The Surface Metrology Workflow

3. Results
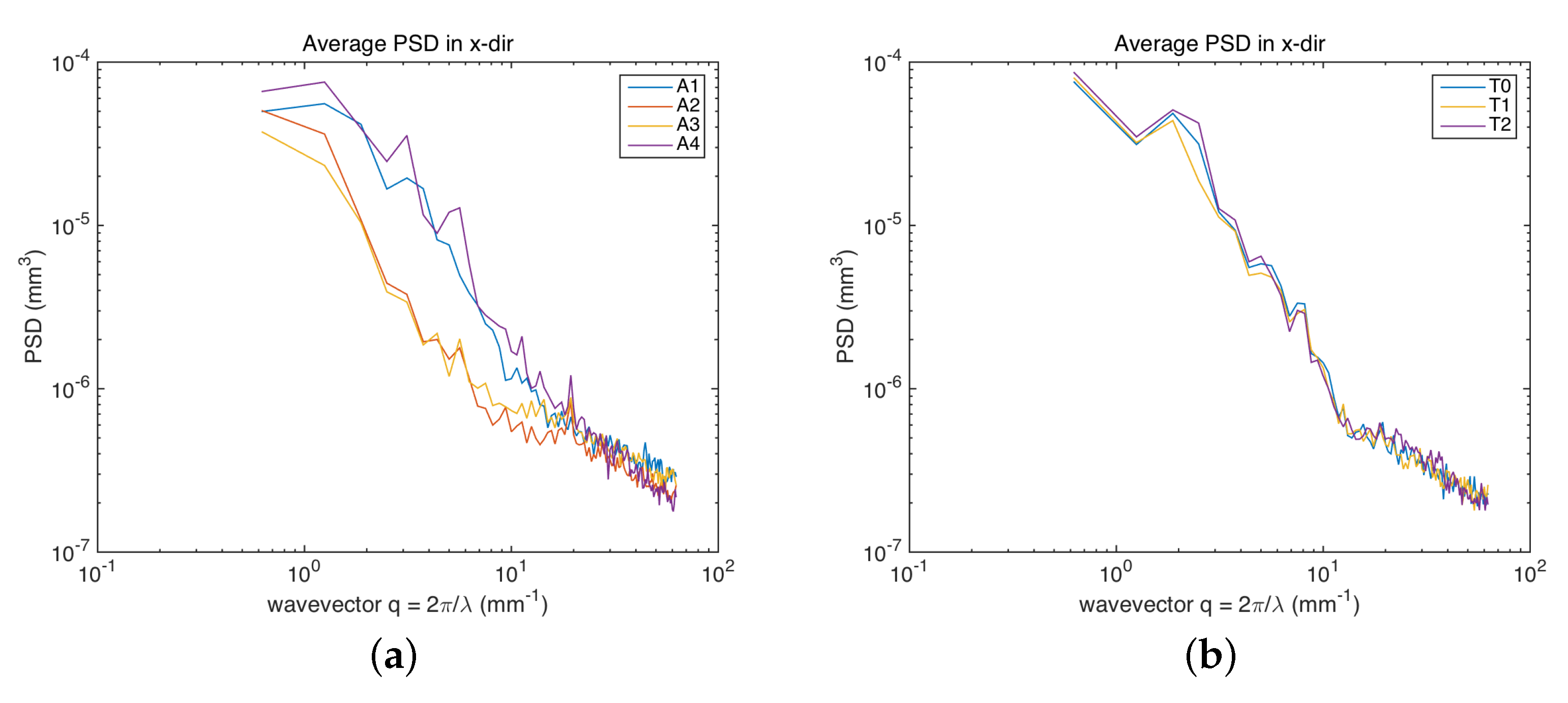
3.1. Multi-Step Treatment Laser–Chemical
3.2. Chemical Treatment Steps
4. Discussion
4.1. Surface Metrology in Heritage Science
4.2. Average Roughness or Brushstrokes?
4.3. Microprofilometry as Complementary Diagnostic Technique
5. Conclusions
Author Contributions
Funding
Data Availability Statement
Acknowledgments
Conflicts of Interest
Abbreviations
| Er:YAG | Erbium-Doped Yttrium Aluminium Garnet |
| OCT | Optical Coherence Tomography |
| RMS | Root Mean Square |
| ADF | Amplitude Distribution Function |
| PSD | Power Spectrum Density |
| ROI | Region of Interest |
| RTI | Reflectance Transformation Imaging |
References
- Jiang, X.; Scott, P.; Whitehouse, D.; Blunt, L. Paradigm shifts in surface metrology. Part II. The current shift. Proc. R. Soc. A Math. Phys. Eng. Sci. 2007, 463, 2071–2099. [Google Scholar] [CrossRef]
- Marchioro, G. A Framework for Surface Metrology on Cultural Heritage Objects bBased on Scanning Conoscopic Holography. Ph.D. Thesis, University of Verona, Verona, Italy, 2021. [Google Scholar]
- Mironova, A.; Robache, F.; Deltombe, R.; Guibert, R.; Nys, L.; Bigerelle, M. Digital Cultural Heritage Preservation in Art Painting: A Surface Roughness Approach to the Brush Strokes. Sensors 2020, 20, 6269. [Google Scholar] [CrossRef] [PubMed]
- Elkhuizen, W.S.; Callewaert, T.W.J.; Leonhardt, E.; Vandivere, A.; Song, Y.; Pont, S.C.; Geraedts, J.M.P.; Dik, J. Comparison of three 3D scanning techniques for paintings, as applied to Vermeer’s ‘Girl with a Pearl Earring’. Herit. Sci. 2019, 7, 89. [Google Scholar] [CrossRef]
- Marrugo, A.G.; Gao, F.; Zhang, S. State-of-the-art active optical techniques for three-dimensional surface metrology: A review. J. Opt. Soc. Am. A 2020, 37, B60–B77. [Google Scholar] [CrossRef] [PubMed]
- Álvarez, I.; Enguita, J.M.; Frade, M.; Marina, J.; Ojea, G. On-Line Metrology with Conoscopic Holography: Beyond Triangulation. Sensors 2009, 9, 7021–7037. [Google Scholar] [CrossRef]
- Gaburro, N.; Marchioro, G.; Daffara, C. A versatile optical profilometer based on conoscopic holography sensors for acquisition of specular and diffusive surfaces in artworks. Proc. SPIE 2017, 10331, 48–56. [Google Scholar] [CrossRef]
- Daffara, C.; Mazzocato, S.; Marchioro, G. Multiscale roughness analysis by microprofilometry based on conoscopic holography: A new tool for treatment monitoring in highly reflective metal artworks. Eur. Phys. J. Plus 2022, 137, 430. [Google Scholar] [CrossRef]
- Save Venice. Tintoretto 500 Campaign. Available online: http://www.savevenice.org/project/tintoretto-500-campaign (accessed on 1 March 2022).
- Brunetto, A.; Bono, G.; Frezzato, F. Er:YAG laser cleaning of ‘San Marziale in Gloria’ by Jacopo Tintoretto in the Church of San Marziale, Venice. J. Inst. Conserv. 2020, 43, 44–58. [Google Scholar] [CrossRef]
- Pereira-Pardo, L.; Korenberg, C. The use of erbium lasers for the conservation of cultural heritage. A review. J. Cult. Herit. 2018, 31, 236–247. [Google Scholar] [CrossRef]
- Teppo, E. Introduction: Er:YAG lasers in the conservation of artworks. J. Inst. Conserv. 2020, 43, 2–11. [Google Scholar] [CrossRef]
- Zhu, G.; Xu, Z.; Jin, Y.; Chen, X.; Yang, L.; Xu, J.; Shan, D.; Chen, Y.; Guo, B. Mechanism and application of laser cleaning: A review. Opt. Lasers Eng. 2022, 157, 107130. [Google Scholar] [CrossRef]
- Striova, J.; Fontana, R.; Barbetti, I.; Pezzati, L.; Fedele, A.; Riminesi, C. Multisensorial Assessment of Laser Effects on Shellac Applied on Wall Paintings. Sensors 2021, 21, 3354. [Google Scholar] [CrossRef]
- Moretti, P.; Iwanicka, M.; Melessanaki, K.; Dimitroulaki, E.; Kokkinaki, O.; Daugherty, M.; Sylwestrzak, M.; Pouli, P.; Targowski, P.; van den Berg, K.J.; et al. Laser cleaning of paintings: In situ optimization of operative parameters through non-invasive assessment by optical coherence tomography (OCT), reflection FT-IR spectroscopy and laser induced fluorescence spectroscopy (LIF). Herit. Sci. 2019, 7, 44. [Google Scholar] [CrossRef]
- Chillè, C.; Papadakis, V.M.; Theodorakopoulos, C. An analytical evaluation of Er:YAG laser cleaning tests on a nineteenth century varnished painting. Microchem. J. 2020, 158, 105086. [Google Scholar] [CrossRef]
- Andreotti, A.; Bracco, P.; Colombini, M.P.; de Cruz, A.; Lanterna, G.; Nakahara, K.; Penaglia, F. Novel Applications of the Er:YAG Laser Cleaning of Old Paintings. In Lasers in the Conservation of Artworks; Nimmrichter, J., Kautek, W., Schreiner, M., Eds.; Springer: Berlin/Heidelberg, Germany, 2007; Volume 116, pp. 239–247. [Google Scholar] [CrossRef]
- Fontana, R.; Fovo, A.D.; Striova, J.; Pezzati, L.; Pampaloni, E.; Raffaelli, M.; Barucci, M. Application of non-invasive optical monitoring methodologies to follow and record painting cleaning processes. Appl. Phys. A 2015, 121, 957–966. [Google Scholar] [CrossRef]
- Striova, J.; Fontana, R.; Barucci, M.; Felici, A.; Marconi, E.; Pampaloni, E.; Raffaelli, M.; Riminesi, C. Optical devices provide unprecedented insights into the laser cleaning of calcium oxalate layers. Microchem. J. 2016, 124, 331–337. [Google Scholar] [CrossRef]
- Blateyron, F. The Areal Field Parameters. In Characterisation of Areal Surface Texture; Leach, R., Ed.; Springer: Berlin/Heidelberg, Germany, 2013; pp. 15–43. [Google Scholar]
- ISO 25178-2; Geometrical Product Specifications (GPS)-Surface Texture: Areal-Part 2: Terms, Definitions and Surface Texture Parameters. International Organization for Standardization: Geneva, Switzerland, 2012.
- MATLAB. Version 8.4.0.150421 (R2014b); The MathWorks Inc.: Natick, MA, USA, 2014. [Google Scholar]
- Pawlus, P.; Reizer, R.; Wieczorowski, M. Functional Importance of Surface Texture Parameters. Materials 2021, 14, 5326. [Google Scholar] [CrossRef]
- Leach, R.; Evans, C.; He, L.; Davies, A.; Duparré, A.; Henning, A.; Jones, C.W.; O’Connor, D. Open questions in surface topography measurement: A roadmap. Surf. Topogr. 2015, 3, 013001. [Google Scholar] [CrossRef]
- Persson, B.N.J.; Albohr, O.; Tartaglino, U.; Volokitin, A.I.; Tosatti, E. On the nature of surface roughness with application to contact mechanics, sealing, rubber friction and adhesion. J. Condens. Matter Phys. 2004, 17, R1–R62. [Google Scholar] [CrossRef] [Green Version]
- Duparré, A.; Ferre-Borrull, J.; Gliech, S.; Notni, G.; Steinert, J.; Bennett, J.M. Surface characterization techniques for determining the root-mean-square roughness and power spectral densities of optical components. Appl. Opt. 2002, 41, 154. [Google Scholar] [CrossRef]
- Jacobs, T.D.B.; Junge, T.; Pastewka, L. Quantitative characterization of surface topography using spectral analysis. Surf. Topogr. 2017, 5, 013001. [Google Scholar] [CrossRef]
- Podulka, P. Fast Fourier Transform detection and reduction of high-frequency errors from the results of surface topography profile measurements of honed textures. Eksploat. Niezawodn. Maint. Reliab. 2021, 23, 84–93. [Google Scholar] [CrossRef]
- Mazzocato, S.; Marchioro, G.; Daffara, C. Feasibility and performance analysis in 3D printing of artworks using laser scanning microprofilometry. ACTA IMEKO 2022, 11, 7. [Google Scholar] [CrossRef]
- Mazzocato, S.; Daffara, C. Experiencing the Untouchable: A Method for Scientific Exploration and Haptic Fruition of Artworks Microsurface Based on Optical Scanning Profilometry. Sensors 2021, 21, 4311. [Google Scholar] [CrossRef]
- Ko, S.L.; Park, S.W. Development of an Effective Measurement System for Burr Geometry. Proc. Inst. Mech. Eng. 2006, 220, 507–512. [Google Scholar] [CrossRef]
- Fernández, P.; Blanco, D.; Rico, C.; Valiño, G.; Mateos, S. Influence of Surface Position along the Working Range of Conoscopic Holography Sensors on Dimensional Verification of AISI 316 Wire EDM Machined Surfaces. Sensors 2014, 14, 4495–4512. [Google Scholar] [CrossRef]
- Seewig, J. Areal Filtering Methods. In Characterisation of Areal Surface Texture; Leach, R., Ed.; Springer: Berlin/Heidelberg, Germany, 2013; pp. 67–106. [Google Scholar]
- Haitjema, H. Surface profile and topography filtering by Legendre polynomials. Surf. Topogr. Metrol. Prop. 2021, 9, 015017. [Google Scholar] [CrossRef]
- Sacerdotti, F.; Porrino, A.; Butler, C.; Brinkmann, S.; Vermeulen, M. SCOUT - Surface Characterization Open-Source Universal Toolbox. Meas. Sci. Technol. 2002, 13, N21–N26. [Google Scholar] [CrossRef]
- Baij, L.; Hermans, J.; Ormsby, B.; Noble, P.; Iedema, P.; Keune, K. A review of solvent action on oil paint. Herit. Sci. 2020, 8, 43. [Google Scholar] [CrossRef]
- Czifra, Á.; Barányi, I. Sdq-Sdr Topological Map of Surface Topographies. Front. Mech. Eng. 2020, 6, 50. [Google Scholar] [CrossRef]
- Jiang, X.; Senin, N.; Scott, P.J.; Blateyron, F. Feature-based characterisation of surface topography and its application. CIRP Ann. Manuf. Technol. 2021, 70, 681–702. [Google Scholar] [CrossRef]
- Manfredi, M.; Bearman, G.; Williamson, G.; Kronkright, D.; Doehne, E.; Jacobs, M.; Marengo, E. A New Quantitative Method for the Non-Invasive Documentation of Morphological Damage in Paintings Using RTI Surface Normals. Sensors 2014, 14, 12271–12284. [Google Scholar] [CrossRef]
- Borg, B.; Dunn, M.; Ang, A.S.M.; Villis, C. Canvas Painting Analysis Using Spectroscopic Analysis and Microcharacterisation Techniques. Sensors 2022, 22, 1442. [Google Scholar] [CrossRef]











| Stand-Off Distance | Working Range | Accuracy 1 | Laser Spot | Repeatability 2 |
|---|---|---|---|---|
| 95 mm | 35 mm | 15 μm | 63 μm | 1.5 μm |
Publisher’s Note: MDPI stays neutral with regard to jurisdictional claims in published maps and institutional affiliations. |
© 2022 by the authors. Licensee MDPI, Basel, Switzerland. This article is an open access article distributed under the terms and conditions of the Creative Commons Attribution (CC BY) license (https://creativecommons.org/licenses/by/4.0/).
Share and Cite
Daffara, C.; Mazzocato, S. Surface Metrology Based on Scanning Conoscopic Holography for In Situ and In-Process Monitoring of Microtexture in Paintings. Sensors 2022, 22, 6637. https://doi.org/10.3390/s22176637
Daffara C, Mazzocato S. Surface Metrology Based on Scanning Conoscopic Holography for In Situ and In-Process Monitoring of Microtexture in Paintings. Sensors. 2022; 22(17):6637. https://doi.org/10.3390/s22176637
Chicago/Turabian StyleDaffara, Claudia, and Sara Mazzocato. 2022. "Surface Metrology Based on Scanning Conoscopic Holography for In Situ and In-Process Monitoring of Microtexture in Paintings" Sensors 22, no. 17: 6637. https://doi.org/10.3390/s22176637
APA StyleDaffara, C., & Mazzocato, S. (2022). Surface Metrology Based on Scanning Conoscopic Holography for In Situ and In-Process Monitoring of Microtexture in Paintings. Sensors, 22(17), 6637. https://doi.org/10.3390/s22176637

