Deep Learning with Multimodal Integration for Predicting Recurrence in Patients with Non-Small Cell Lung Cancer
Abstract
:1. Introduction
- Neural network-based recurrence prediction models exploiting (1) clinical information, (2) radiomics, and (3) deep learning-based features, respectively, were developed.
 - The performance of ensemble models using various combinations of the three patient-derived multi-modal features was evaluated.
 - The ensemble model using all three features showed the best performance.
 - A first recurrence prediction model for early NSCLC through the integration of the aforementioned three features was proposed.
 
2. Materials and Methods
2.1. Patient Data Acquisition
2.2. Image Processing
2.3. Feature Extraction and Selection
2.4. Neural Network-Based Cancer Prediction Model
2.5. Model Assessment
3. Results
3.1. Quantitative Measurements
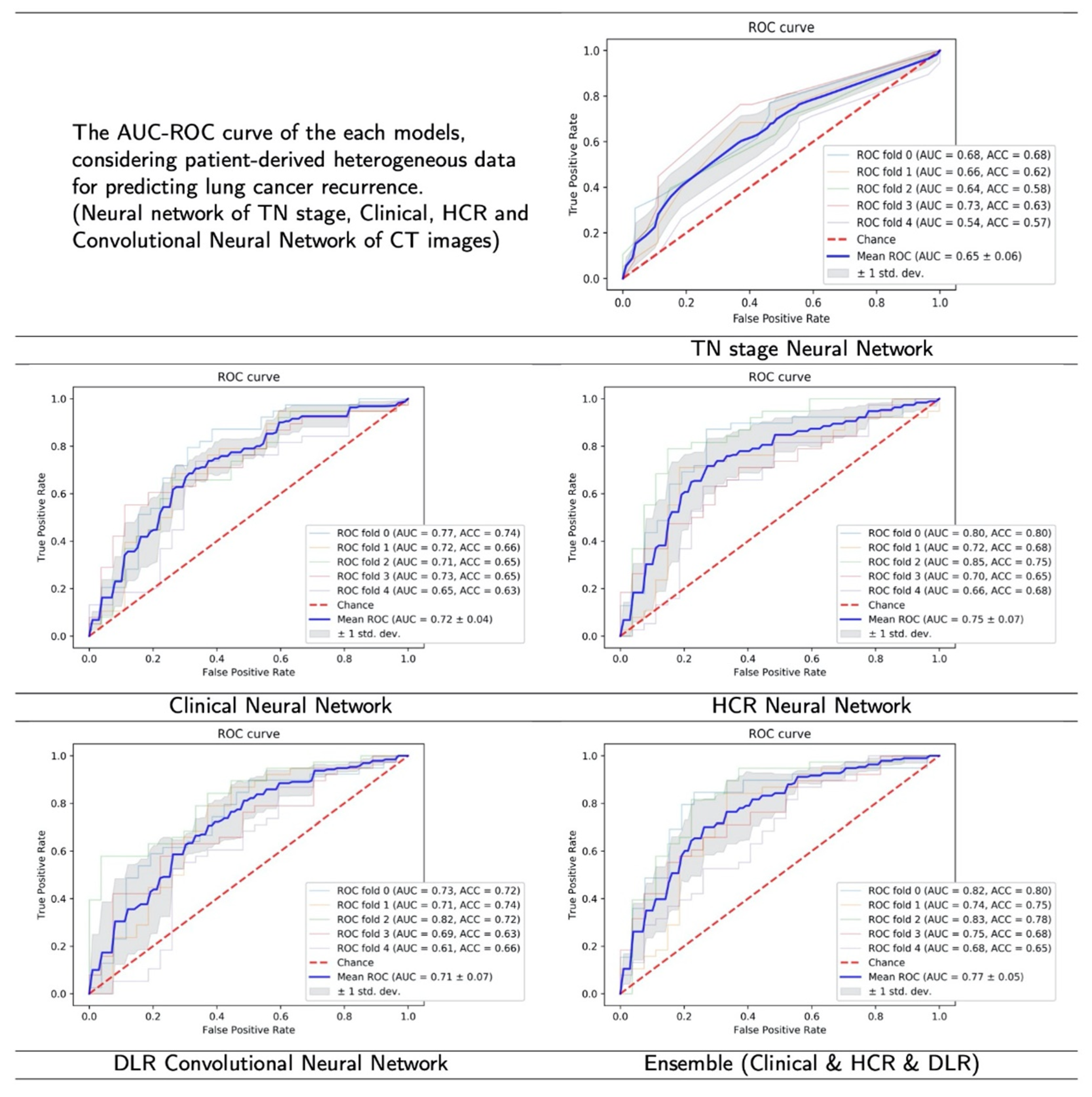
3.2. ROC Curve with AUC Value
3.3. Kaplan–Meier Curve
4. Discussion
5. Conclusions
Author Contributions
Funding
Institutional Review Board Statement
Informed Consent Statement
Data Availability Statement
Acknowledgments
Conflicts of Interest
Abbreviations
| NSCLC | non-small cell lung cancer | 
| LUAD | lung adenocarcinoma | 
| LUSC | lung squamous cell carcinoma | 
| TN | tumor node | 
| HCR | handcrafted radiomics | 
| DLR | deep learning-based radiomics | 
| CNN | convolutional neural network | 
| PH | proportional hazards | 
| SD | standard deviation | 
References
- Parmar, C.; Leijenaar, R.T.; Grossmann, P.; Rios Velazquez, E.; Bussink, J.; Rietveld, D.; Rietbergen, M.M.; Haibe-Kains, B.; Lambin, P.; Aerts, H.J. Radiomic feature clusters and prognostic signatures specific for lung and head & neck cancer. Sci. Rep. 2015, 5, 11044. [Google Scholar]
 - Jemal, A.; Bray, F.; Center, M.M.; Ferlay, J.; Ward, E.; Forman, D. Global cancer statistics. CA Cancer J. Clin. 2011, 61, 69–90. [Google Scholar] [CrossRef] [PubMed]
 - Chen, Y.-Y.; Huang, T.-W.; Tsai, W.-C.; Lin, L.-F.; Cheng, J.-B.; Chang, H.; Lee, S.-C. Risk factors of postoperative recurrences in patients with clinical stage I NSCLC. World J. Surg. Oncol. 2014, 12, 10. [Google Scholar] [CrossRef] [PubMed]
 - Ponn, R.B.; Lo Cicero, J., III; Daly, B.D. Surgical treatment of non-small cell lung cancer. Gen. Thorac. Surg. 2005, 6, 1548–1587. [Google Scholar]
 - Wright, G.; Manser, R.L.; Byrnes, G.; Hart, D.; Campbell, D.A. Surgery for non-small cell lung cancer: Systematic review and meta-analysis of randomised controlled trials. Thorax 2006, 61, 597–603. [Google Scholar] [CrossRef] [PubMed]
 - Strauss, G.M. Adjuvant chemotherapy of lung cancer: Methodologic issues and therapeutic advances. Hematol./Oncol. Clin. 2005, 19, 263–281. [Google Scholar] [CrossRef]
 - Herbst, R.; Heymach, J. liPPman Sm. Lung Cancer. N. Engl. J. Med. 2008, 359, 1367–1380. [Google Scholar] [CrossRef]
 - Song, J.; Liu, Z.; Zhong, W.; Huang, Y.; Ma, Z.; Dong, D.; Liang, C.; Tian, J. Non-small cell lung cancer: Quantitative phenotypic analysis of CT images as a potential marker of prognosis. Sci. Rep. 2016, 6, 38282. [Google Scholar] [CrossRef]
 - Papadimitrakopoulou, V. PC03.03 Future Strategies in Early Stage EGFR-mut NSCLC. J. Thorac. Oncol. 2019, 14, S142–S143. [Google Scholar] [CrossRef]
 - Scagliotti, G.V.; Fossati, R.; Torri, V.; Crino, L.; Giaccone, G.; Silvano, G.; Martelli, M.; Clerici, M.; Cognetti, F.; Tonato, M. Randomized study of adjuvant chemotherapy for completely resected stage I, II, or IIIA non–small-cell lung cancer. J. Natl. Cancer Inst. 2003, 95, 1453–1461. [Google Scholar] [CrossRef]
 - Laskin, J.J. Adjuvant chemotherapy for non-small cell lung cancer: The new standard of care. Future Med. 2005, 1, 619–623. [Google Scholar] [CrossRef]
 - Elston, C.W.; Ellis, I.O. Pathological prognostic factors in breast cancer. I. The value of histological grade in breast cancer: Experience from a large study with long-term follow-up. Histopathology 1991, 19, 403–410. [Google Scholar] [CrossRef]
 - Harpole, D.H., Jr.; Herndon, J.E.; Wolfe, W.G.; Iglehart, J.D.; Marks, J.R. A prognostic model of recurrence and death in stage I non-small cell lung cancer utilizing presentation, histopathology, and oncoprotein expression. Cancer Res. 1995, 55, 51–56. [Google Scholar]
 - Harpole, D.H., Jr.; Herndon, J.E.; Young, W.G., Jr.; Wolfe, W.G.; Sabiston, D.C., Jr. Stage I nonsmall cell lung cancer. A multivariate analysis of treatment methods and patterns of recurrence. Cancer 1995, 76, 787–796. [Google Scholar] [CrossRef]
 - Vansteenkiste, J.; Crino, L.; Dooms, C.; Douillard, J.-Y.; Faivre-Finn, C.; Lim, E.; Rocco, G.; Senan, S.; Van Schil, P.; Veronesi, G.; et al. 2nd ESMO Consensus Conference on Lung Cancer: Early-stage non-small-cell lung cancer consensus on diagnosis, treatment and follow-up. Ann. Oncol. 2014, 25, 1462–1474. [Google Scholar] [CrossRef] [PubMed]
 - Crino, L.; Weder, W.; Van Meerbeeck, J.; Felip, E. Early stage and locally advanced (non-metastatic) non-small-cell lung cancer: ESMO Clinical Practice Guidelines for diagnosis, treatment and follow-up. Ann. Oncol. 2010, 21, v103–v115. [Google Scholar] [CrossRef] [PubMed]
 - Detterbeck, F.C.; Boffa, D.J.; Tanoue, L.T. The new lung cancer staging system. Chest 2009, 136, 260–271. [Google Scholar] [CrossRef]
 - van Riel, S.J.; Sánchez, C.I.; Bankier, A.A.; Naidich, D.P.; Verschakelen, J.; Scholten, E.T.; de Jong, P.A.; Jacobs, C.; van Rikxoort, E.; Peters-Bax, L.; et al. Observer variability for classification of pulmonary nodules on low-dose CT images and its effect on nodule management. Radiology 2015, 277, 863–871. [Google Scholar] [CrossRef]
 - Arena, E.A.; Bilchik, A.J. What is the optimal means of staging colon cancer? Adv. Surg. 2013, 47, 199–211. [Google Scholar] [CrossRef]
 - Bizzego, A.; Bussola, N.; Salvalai, D.; Chierici, M.; Maggio, V.; Jurman, G.; Furlanello, C. Integrating deep and radiomics features in cancer bioimaging. In Proceedings of the 2019 IEEE Conference on Computational Intelligence in Bioinformatics and Computational Biology (CIBCB), Siena, Italy, 9–11 July 2019; pp. 1–8. [Google Scholar]
 - Aerts, H.J.; Velazquez, E.R.; Leijenaar, R.T.; Parmar, C.; Grossmann, P.; Carvalho, S.; Bussink, J.; Monshouwer, R.; Haibe-Kains, B.; Rietveld, D.; et al. Decoding tumour phenotype by noninvasive imaging using a quantitative radiomics approach. Nat. Commun. 2014, 5, 4006. [Google Scholar] [CrossRef] [PubMed]
 - Cetin, K.; Ettinger, D.S.; Hei, Y.-J.; O’Malley, C.D. Survival by histologic subtype in stage IV nonsmall cell lung cancer based on data from the Surveillance, Epidemiology and End Results Program. Clin. Epidemiol. 2011, 3, 139. [Google Scholar] [CrossRef] [PubMed]
 - Coroller, T.P.; Grossmann, P.; Hou, Y.; Velazquez, E.R.; Leijenaar, R.T.; Hermann, G.; Lambin, P.; Haibe-Kains, B.; Mak, R.H.; Aerts, H.J. CT-based radiomic signature predicts distant metastasis in lung adenocarcinoma. Radiother. Oncol. 2015, 114, 345–350. [Google Scholar] [CrossRef] [PubMed]
 - Lambin, P.; Rios-Velazquez, E.; Leijenaar, R.; Carvalho, S.; Van Stiphout, R.G.; Granton, P.; Zegers, C.M.; Gillies, R.; Boellard, R.; Dekker, A.; et al. Radiomics: Extracting more information from medical images using advanced feature analysis. Eur. J. Cancer 2012, 48, 441–446. [Google Scholar] [CrossRef] [PubMed] [Green Version]
 - Orlhac, F.; Nioche, C.; Soussan, M.; Buvat, I. Understanding changes in tumor texture indices in PET: A comparison between visual assessment and index values in simulated and patient data. J. Nucl. Med. 2017, 58, 387–392. [Google Scholar] [CrossRef]
 - Chalkidou, A.; O’Doherty, M.J.; Marsden, P.K. False discovery rates in PET and CT studies with texture features: A systematic review. PLoS ONE 2015, 10, e0124165. [Google Scholar]
 - Kato, S.; Nambu, A.; Onishi, H.; Saito, A.; Kuriyama, K.; Komiyama, T.; Marino, K.; Araki, T. Computed tomography appearances of local recurrence after stereotactic body radiation therapy for stage I non-small-cell lung carcinoma. Jpn. J. Radiol. 2010, 28, 259–265. [Google Scholar] [CrossRef]
 - Huang, K.; Dahele, M.; Senan, S.; Guckenberger, M.; Rodrigues, G.B.; Ward, A.; Boldt, R.G.; Palma, D.A. Radiographic changes after lung stereotactic ablative radiotherapy (SABR)–can we distinguish recurrence from fibrosis? A systematic review of the literature. Radiother. Oncol. 2012, 102, 335–342. [Google Scholar] [CrossRef] [PubMed]
 - Uramoto, H.; Tanaka, F. Recurrence after surgery in patients with NSCLC. Transl. Lung Cancer Res. 2014, 3, 242. [Google Scholar]
 - Clark, K.; Vendt, B.; Smith, K.; Freymann, J.; Kirby, J.; Koppel, P.; Moore, S.; Phillips, S.; Maffitt, D.; Pringle, M.; et al. The Cancer Imaging Archive (TCIA): Maintaining and operating a public information repository. J. Digit. Imaging 2013, 26, 1045–1057. [Google Scholar] [CrossRef]
 - Bakr, S.; Gevaert, O.; Echegaray, S.; Ayers, K.; Zhou, M.; Shafiq, M.; Zheng, H.; Benson, J.A.; Zhang, W.; Leung, A.N.; et al. A radiogenomic dataset of non-small cell lung cancer. Sci. Data 2018, 5, 1–9. [Google Scholar] [CrossRef]
 - Romans, L. Computed Tomography for Technologists: A comprehensive Text; Lippincott Williams & Wilkins: Philadelphia, PA, USA, 2018. [Google Scholar]
 - Crvenkova, S. Prognostic factors and survival in non-small cell lung cancer patients treated with chemoradiotherapy. Open Access Maced. J. Med. Sci. 2015, 3, 75. [Google Scholar] [CrossRef] [PubMed]
 - Shiono, S.; Abiko, M.; Sato, T. Positron emission tomography/computed tomography and lymphovascular invasion predict recurrence in stage I lung cancers. J. Thorac. Oncol. 2011, 6, 43–47. [Google Scholar] [CrossRef] [PubMed]
 - Kong, F.; Machtay, M.; Bradley, J.; Ten Haken, R.; Xiao, Y.; Matuszak, M.; Hirsh, V.; Pryma, D. RTOG 1106/ACRIN 6697: Randomized Phase II Trial of Individualized Adaptive Radiotherapy Using during Treatment FDG-PET/CT and Modern Technology in Locally Advanced Non-Small Lung Cancer (NSCLC); NRG Oncology (NRG): Philadelphia, PA, USA, 2012. [Google Scholar]
 - Kong, F.-M.; Ten Haken, R.K.; Schipper, M.; Frey, K.A.; Hayman, J.; Gross, M.; Ramnath, N.; Hassan, K.A.; Matuszak, M.; Ritter, T. Effect of midtreatment PET/CT-adapted radiation therapy with concurrent chemotherapy in patients with locally advanced non–small-cell lung cancer: A phase 2 clinical trial. JAMA Oncol. 2017, 3, 1358–1365. [Google Scholar] [CrossRef]
 - Van Griethuysen, J.J.; Fedorov, A.; Parmar, C.; Hosny, A.; Aucoin, N.; Narayan, V.; Beets-Tan, R.G.; Fillion-Robin, J.-C.; Pieper, S.; Aerts, H.J. Computational radiomics system to decode the radiographic phenotype. Cancer Res. 2017, 77, e104–e107. [Google Scholar] [CrossRef] [PubMed]
 - Cox, D.R. Regression models and life-tables. J. R. Stat. Soc. Ser. B 1972, 34, 187–202. [Google Scholar] [CrossRef]
 - Lee, B.; Chun, S.H.; Hong, J.H.; Woo, I.S.; Kim, S.; Jeong, J.W.; Kim, J.J.; Lee, H.W.; Na, S.J.; Beck, K.S.; et al. DeepBTS: Prediction of recurrence-free survival of non-small cell lung cancer using a time-binned deep neural network. Sci. Rep. 2020, 10, 1952. [Google Scholar] [CrossRef]
 - Yu, W.; Tang, C.; Hobbs, B.P.; Li, X.; Koay, E.J.; Wistuba, I.I.; Sepesi, B.; Behrens, C.; Canales, J.R.; Cuentas, E.R.P.; et al. Development and validation of a predictive radiomics model for clinical outcomes in stage I non-small cell lung cancer. Int. J. Radiat. Oncol. Biol. Phys. 2018, 102, 1090–1097. [Google Scholar] [CrossRef]
 - Diamant, A.; Chatterjee, A.; Vallières, M.; Shenouda, G.; Seuntjens, J. Deep learning in head & neck cancer outcome prediction. Sci. Rep. 2019, 9, 2764. [Google Scholar]
 - Hanley, J.A.; McNeil, B.J. The meaning and use of the area under a receiver operating characteristic (ROC) curve. Radiology 1982, 143, 29–36. [Google Scholar] [CrossRef]
 - Hanley, J.A.; McNeil, B.J. A method of comparing the areas under receiver operating characteristic curves derived from the same cases. Radiology 1983, 148, 839–843. [Google Scholar] [CrossRef]
 - Kumar, R.; Indrayan, A. Receiver operating characteristic (ROC) curve for medical researchers. Indian Pediatr. 2011, 48, 277–287. [Google Scholar] [CrossRef]
 - Hajian-Tilaki, K. Receiver operating characteristic (ROC) curve analysis for medical diagnostic test evaluation. Casp. J. Intern. Med. 2013, 4, 627. [Google Scholar]
 - Goel, M.K.; Khanna, P.; Kishore, J. Understanding survival analysis: Kaplan-Meier estimate. Int. J. Ayurveda Res. 2010, 1, 274. [Google Scholar] [PubMed]
 - De Ruysscher, D.; Faivre-Finn, C.; Nackaerts, K.; Jordan, K.; Arends, J.; Douillard, J.-Y.; Ricardi, U.; Peters, S. Recommendation for supportive care in patients receiving concurrent chemotherapy and radiotherapy for lung cancer. Ann. Oncol. 2020, 31, 41–49. [Google Scholar] [CrossRef]
 - Wada, H.; Hitomi, S.; Teramatsu, T. Adjuvant chemotherapy after complete resection in non-small-cell lung cancer. West Japan Study Group for Lung Cancer Surgery. J. Clin. Oncol. 1996, 14, 1048–1054. [Google Scholar] [CrossRef] [PubMed]
 - Guerra, J.L.; Gomez, D.; Lin, S.; Levy, L.; Zhuang, Y.; Komaki, R.; Jaen, J.; Vaporciyan, A.; Swisher, S.; Cox, J. Risk factors for local and regional recurrence in patients with resected N0–N1 non-small-cell lung cancer, with implications for patient selection for adjuvant radiation therapy. Ann. Oncol. 2013, 24, 67–74. [Google Scholar] [CrossRef] [PubMed]
 - Burdett, S.; Pignon, J.P.; Tierney, J.; Tribodet, H.; Stewart, L.; Le Pechoux, C.; Aupérin, A.; Le Chevalier, T.; Stephens, R.J.; Arriagada, R.; et al. Adjuvant chemotherapy for resected early-stage non-small cell lung cancer. Cochrane Database Syst. Rev. 2015, 128, 2933–2943. [Google Scholar] [CrossRef] [Green Version]
 - Yamashita, T.; Uramoto, H.; Onitsuka, T.; Ono, K.; Baba, T.; So, T.; So, T.; Takenoyama, M.; Hanagiri, T.; Oyama, T. Association between lymphangiogenesis-/micrometastasis-and adhesion-related molecules in resected stage I NSCLC. Lung Cancer 2010, 70, 320–328. [Google Scholar] [CrossRef]
 - Nakagawa, M.; Uramoto, H.; Oka, S.; Chikaishi, Y.; Iwanami, T.; Shimokawa, H.; So, T.; Hanagiri, T.; Tanaka, F. Clinical significance of IGF1R expression in non–small-cell lung cancer. Clin. Lung Cancer 2012, 13, 136–142. [Google Scholar] [CrossRef]
 - Glatzer, M.; Panje, C.M.; Sirén, C.; Cihoric, N.; Putora, P.M. Decision making criteria in oncology. Oncology 2020, 98, 370–378. [Google Scholar] [CrossRef]
 - Tsukagoshi, S.; Ota, T.; Fujii, M.; Kazama, M.; Okumura, M.; Johkoh, T. Improvement of spatial resolution in the longitudinal direction for isotropic imaging in helical CT. Phys. Med. Biol. 2007, 52, 791. [Google Scholar] [CrossRef] [PubMed]
 - McCollough, C.H.; Leng, S.; Sunnegardh, J.; Vrieze, T.J.; Yu, L.; Lane, J.; Raupach, R.; Stierstorfer, K.; Flohr, T. Spatial resolution improvement and dose reduction potential for inner ear CT imaging using az-axis deconvolution technique. Med. Phys. 2013, 40, 061904. [Google Scholar] [CrossRef] [PubMed]
 - Higaki, T.; Nakamura, Y.; Tatsugami, F.; Nakaura, T.; Awai, K. Improvement of image quality at CT and MRI using deep learning. Jpn. J. Radiol. 2019, 37, 73–80. [Google Scholar] [CrossRef] [PubMed]
 





| Characteristics | Number of Patients (%) | |
|---|---|---|
| Institution | ||
| VHS Medical Center | 224 | (68.7%) | 
| TCIA (R01) | 102 | (31.3%) | 
| Age (70.92 ± 7.8) | ||
| Age < 60 | 17 | (5.2%) | 
| Age ≥ 60 | 309 | (94.8%) | 
| Histology | ||
| Adenocarcinoma | 167 | (51.2%) | 
| Squamous cell carcinoma | 159 | (48.8%) | 
| T stage | ||
| Tis, T1 | 146 | (44.8%) | 
| T2 | 149 | (45.7%) | 
| T3, T4 | 31 | (9.5%) | 
| N stage | ||
| N0 | 210 | (64.4%) | 
| N1 | 62 | (19.0%) | 
| N2 | 54 | (16.6%) | 
| Recurrence | ||
| Recurred | 193 | (59.2%) | 
| Not recurred | 133 | (40.8%) | 
| Clinical Features | 
|---|
| LUAD/LUSC, Age, Overall stage, T stage (T1, T2, T3), N stage (N0, N1, N2), | 
| Pathology-visceral pleural (+/−), Pathology-lymphovascular invasion (+/−) | 
| Handcrafted Radiomic Features by Category | |
|---|---|
| First Order | |
| Shape | 5 | 
| Second order (texture features) | |
| gray level co-occurrence (GLCM) | 4 | 
| gray level run-length (GLRLM) | 3 | 
| gray level size zone (GLSZM) | 2 | 
| gray level dependence matrix (GLDM) | 2 | 
| neighborhood gray tone difference matrix (NGTDM) | 1 | 
| High order | 140 | 
| F1 Score | Precision | Recall | Accuracy | Model | Trainable Parameters  | |
|---|---|---|---|---|---|---|
| Clinical (David Cox) [38] | 68.11 (±2.4) | 56.51 (±1.4) | 85.84 (±5.5) | 52.90 (±2.5) | Cox PH | - | 
| HCR (Wen Yu et al.) [40] | 72.19 (±3.4) | 63.78 (±2.1) | 83.23 (±5.5) | 62.44 (±3.8) | RSF | - | 
| DLR (André Diamant et al.) [41] | 74.55 (±5.4) | 69.12 (±6.3) | 81.12 (±5.2) | 67.35 (±7.1) | CNN | 916 K | 
| TN stage (baseline) | 65.67 (±5.1) | 70.09 (±8.0) | 63.81 (±10.6) | 61.54 (±3.8) | NN | 1 K | 
| Clinical | 73.54 (±2.4) | 68.99 (±5.1) | 79.07 (±2.2) | 66.46 (±3.8) | NN1 | 1 K | 
| HCR | 76.61 (±4.7) | 73.07 (±5.2) | 80.61 (±4.7) | 71.08 (±5.7) | NN2 | 10 K | 
| DLR | 76.28 (±4.9) | 70.11 (±3.1) | 84.80 (±11.2) | 69.54 (±4.2) | CNN | 1046 K | 
| Clinical & HCR * | 77.58 (±5.0) | 75.29 (±4.1) | 80.08 (±6.4) | 72.92 (±5.6) | QDA | 11 K | 
| Clinical & DLR * | 76.86 (±4.7) | 71.03 (±3.7) | 83.75 (±6.1) | 70.46 (±5.6) | LR | 1047 K | 
| HCR & DLR * | 77.65 (±5.0) | 73.70 (±4.5) | 82.19 (±6.6) | 72.31 (±5.9) | LR | 1056 K | 
| Clinical & HCR & DLR * | 77.79 (±5.3) | 75.71 (±4.8) | 80.08 (±6.4) | 73.23 (±6.0) | LDA | 1057 K | 
Publisher’s Note: MDPI stays neutral with regard to jurisdictional claims in published maps and institutional affiliations.  | 
© 2022 by the authors. Licensee MDPI, Basel, Switzerland. This article is an open access article distributed under the terms and conditions of the Creative Commons Attribution (CC BY) license (https://creativecommons.org/licenses/by/4.0/).
Share and Cite
Kim, G.; Moon, S.; Choi, J.-H. Deep Learning with Multimodal Integration for Predicting Recurrence in Patients with Non-Small Cell Lung Cancer. Sensors 2022, 22, 6594. https://doi.org/10.3390/s22176594
Kim G, Moon S, Choi J-H. Deep Learning with Multimodal Integration for Predicting Recurrence in Patients with Non-Small Cell Lung Cancer. Sensors. 2022; 22(17):6594. https://doi.org/10.3390/s22176594
Chicago/Turabian StyleKim, Gihyeon, Sehwa Moon, and Jang-Hwan Choi. 2022. "Deep Learning with Multimodal Integration for Predicting Recurrence in Patients with Non-Small Cell Lung Cancer" Sensors 22, no. 17: 6594. https://doi.org/10.3390/s22176594
APA StyleKim, G., Moon, S., & Choi, J.-H. (2022). Deep Learning with Multimodal Integration for Predicting Recurrence in Patients with Non-Small Cell Lung Cancer. Sensors, 22(17), 6594. https://doi.org/10.3390/s22176594
        
