Research on Configuration Constraints of Airborne Bistatic SARs
Abstract
:1. Introduction
2. Imaging Geometry Model of Bistatic SAR
3. Imaging Principle Model of Bistatic SAR
3.1. Analysis of Bistatic SAR Echo Signal
3.2. Bistatic SAR Imaging Algorithm
3.3. Simulation Verification of Bistatic SAR Imaging Algorithm
4. Analysis of Cooperative Configuration Constraints for Aircrafts
4.1. Analysis of Bistatic SAR Imaging Architecture
- First, determine the standard flight track of the radar signal receiving platform according to the flight destination.
- According to the preset flight trajectory of the receiving platform, design the flight airspace range of the transmitting platform that meets the requirements of the imaging resolution.
- Further, determine the actual flight envelope of the transmitting platform based on the flight airspace range of the transmitting platform in (2), considering the deviation of the actual navigation and control system of the transmitting platform, as well as the engineering constraints, such as the change of the range between the flight platform and the target, and the communication between the platforms.
- Finally, plan the cooperative flight scheme and flight parameters of the receiving platform and the transmitting platform.
4.2. Resolution Analysis of Multi-Base SAR Imaging Based on Gradient Principle
5. Bistatic Imaging Simulation Based on Configuration Constraints for Aircraft Platform
5.1. Simulation Verification of Bistatic SAR Imaging in Different Configurations
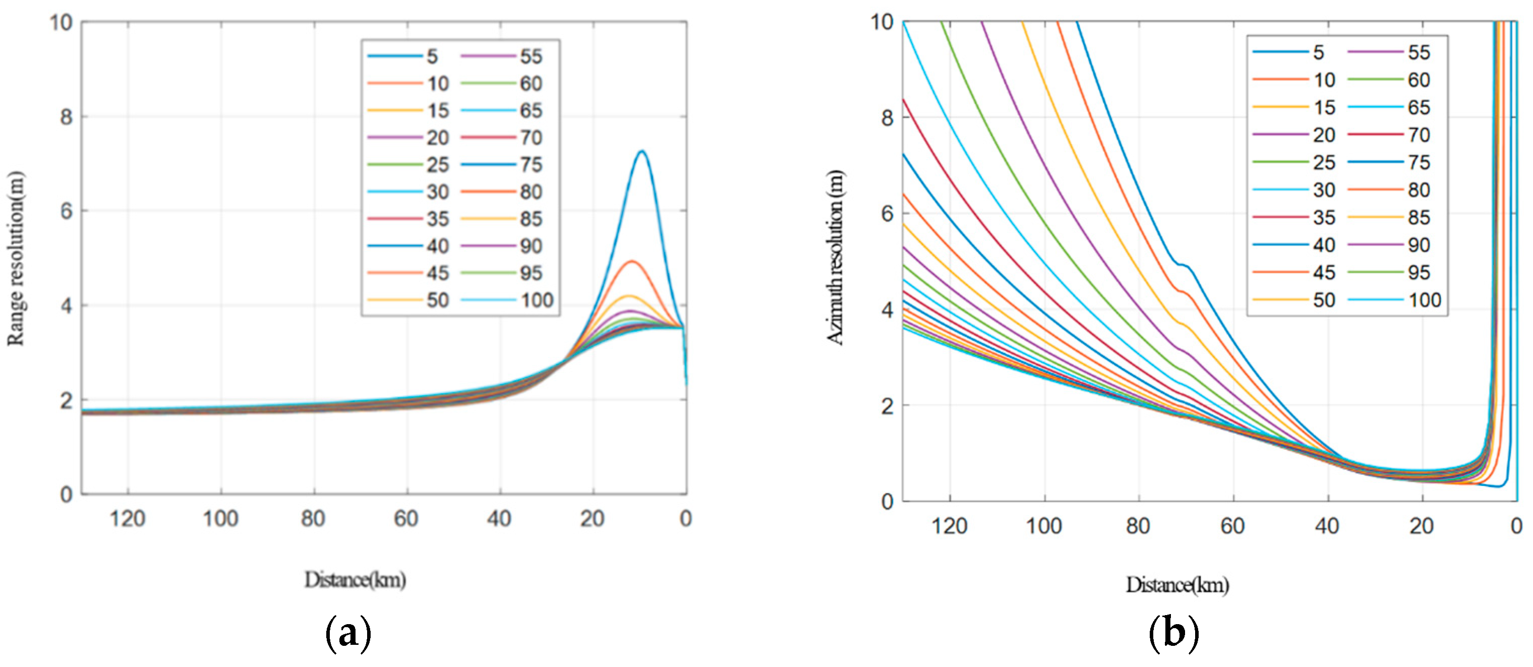
- The resolution simulation in the case of a fixed longitude distance and variable transverse distance between two platforms.
- The transverse distance of the two vehicles ranges from 5 km to 100 km, and a simulation is conducted at every 5 km step, as shown in Figure 9. Figure 9a shows how the range resolution varies with the distance between the receiving platform and the target, while Figure 9b shows the performance of the azimuth resolution. Figure 10 shows the relationship between the resolution and the distance between the receiving platform and the target.
- It can be seen from the simulation that the larger the transverse distance between two vehicles, the better the final range resolution will be, because the larger the interval between two vehicles, the larger the ground projection component provided by the transmitting platform will be. The larger the transverse distance between the two vehicles, the worse the azimuth resolution of the final stage will be, because the transmitting platform with a short interval can provide a larger angular velocity component under the same velocity size. When the transverse distance between two platforms is small, the resolution angle is less than 30° in most cases, while when the transverse distance between the two platforms is large, the resolution angle remains 30° to 150° most of the time (except for the rear period), which meets the requirements of high-resolution imaging.
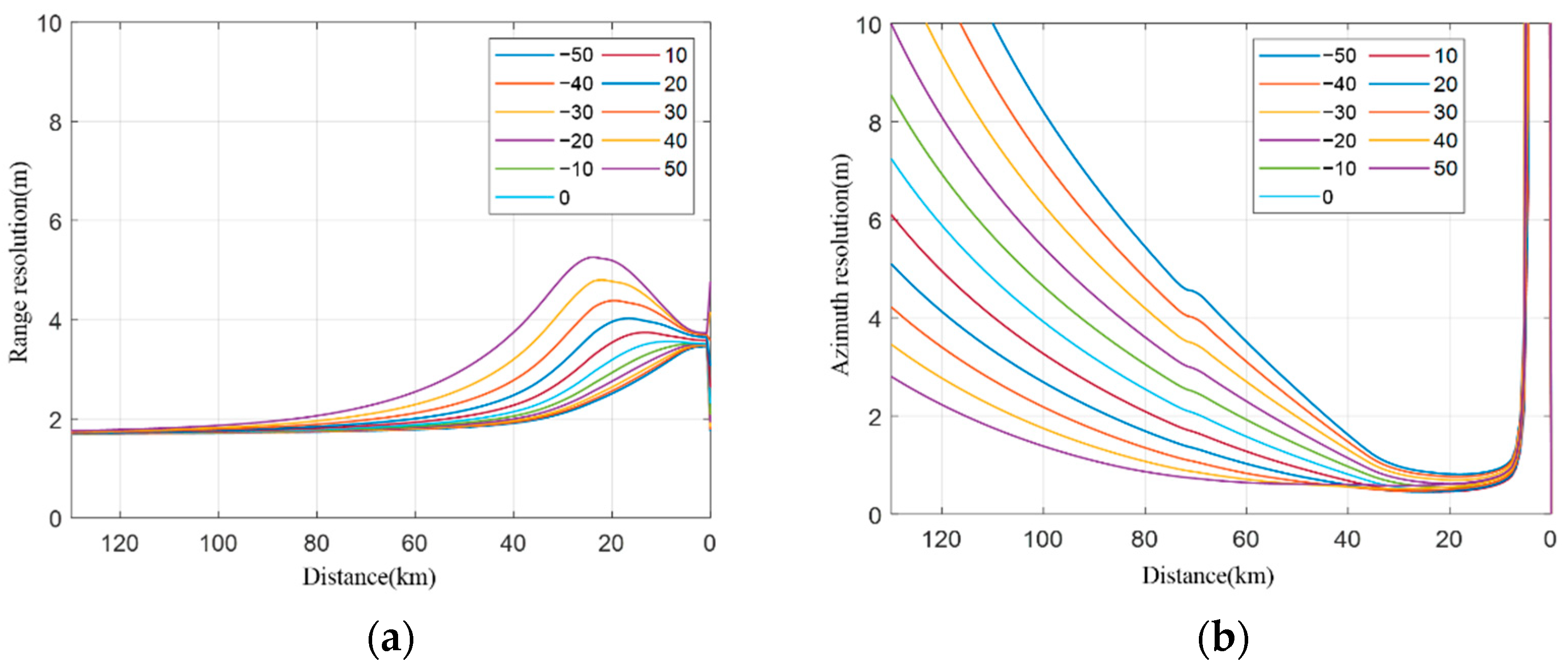
- Resolution simulation in the case of a fixed transverse distance and variable longitude distance between two platforms.
- In the collaborative flight of two platforms, the data transmission distance between the platforms is limited, and the platform spacing is generally within 20–40 km. Here, the transverse distance between the two platforms is fixed at 40 km for the simulation. The position of the receiving platform is fixed, and the distance between the transmitting platform and the receiving platform changes from −50 km to 50 km (negative indicates the backward direction). The simulation analysis is conducted at every 10 km step, and the results are shown in Figure 11. Among them, Figure 11a shows how the range resolution varies with the distance between the receiving platform and the target, while Figure 11b indicates the results of the azimuth resolution. Figure 12 shows the situation that the resolution-included angle in the imaging field varies with the distance between the receiving platform and the target.




5.2. Configuration Constraints Optimization
6. Conclusions
Author Contributions
Funding
Data Availability Statement
Conflicts of Interest
References
- Fan, C.Y.; He, S.S.; Guo, Q. Research status of radar forward-looking imaging technology. Electron. Opt. Control 2021, 28, 59–64. (In Chinese) [Google Scholar]
- Huber, S.; de Almeida, F.Q.; Villano, M.; Younis, M.; Krieger, G.; Moreira, A. Tandem-L: A technical perspective on future spaceborne SAR sensors for Earth observation. IEEE Trans. Geosci. Remote Sens. 2018, 56, 4792–4807. [Google Scholar]
- Zhang, H.; Deng, Y.; Wang, R.; Li, N.; Zhao, S.; Hong, F.; Wu, L.; Loffeld, O. Spaceborne/stationary bistatic SAR imaging with TerraSAR-X as an illuminator in staring-spotlight mode. IEEE Trans. Geosci. Remote Sens. 2016, 54, 5203–5216. [Google Scholar]
- Di Martino, G.; Di Simone, A.; Grassi, M.; Grasso, M.; Graziano, M.D.; Iodice, A.; Moccia, A.; Renga, A.; Riccio, D.; Ruello, G. Formation-Flying SAR Receivers in Far-from-Transmitter Geometry: Signal Model and Processing Scheme. In Proceedings of the 2021 IEEE International Geoscience and Remote Sensing Symposium IGARSS, Brussels, Belgium, 11–16 July 2021; pp. 2711–2714. [Google Scholar]
- Servidia, P.A.; Espana, M. On Autonomous Reconfiguration of SAR Satellite Formation Flight With Continuous Control. IEEE Trans. Aerosp. Electron. Syst. 2021, 57, 3861–3873. [Google Scholar]
- Lu, Z.; Wang, Y.; Kuang, H.; Huang, Y.; Wang, Z.; Zhu, Y. Formation Design and Accuracy Analysis of GEO-LEO Bistatic InSAR System. In Proceedings of the 2019 IEEE International Conference on Signal, Information and Data Processing (ICSIDP), Chongqing, China, 11–13 December 2019; pp. 1–4. [Google Scholar]
- Li, Y.; Meng, Z.; Xing, M.; Bao, Z. Configuration study of missile-borne bistatic forward-looking SAR. In Proceedings of the 2014 IEEE China Summit & International Conference on Signal and Information Processing (ChinaSIP), Xi’an, China, 9–13 July 2014; pp. 184–188. [Google Scholar]
- Meng, Z.; Li, Y.; Xing, M.; Bao, Z. Property analysis of bistatic forward-looking SAR with arbitrary geometry. J. Syst. Eng. Electron. 2016, 27, 111–127. [Google Scholar]
- Ding, J.; Li, Y.; Quan, Y.; Wu, C.; Wang, Z.; Mei, H. Analysis of Diving Configuration Of Bistatic Forward-Looking SAR Based on Nonlinear Chirp Scaling Algorithm. In Proceedings of the 2019 6th Asia-Pacific Conference on Synthetic Aperture Radar (APSAR), Xiamen, China, 26–29 November 2019; pp. 1–5. [Google Scholar]
- Li, S.; Zhong, H.; Yang, C.; Song, H.; Zhao, R.; Cao, J.; Xu, X. Focusing Nonparallel-Track Bistatic SAR Data Using Modified Frequency Extended Nonlinear Chirp Scaling. IEEE Geosci. Remote Sens. Lett. 2020, 19, 1–5. [Google Scholar] [CrossRef]
- Neo, Y.L.; Wong, F.; Cumming, I.G. A two-dimensional spectrum for bistatic SAR processing using series reversion. IEEE Geosci. Remote Sens. Lett. 2007, 4, 93–96. [Google Scholar] [CrossRef]
- Wong, F.H.; Cumming, I.G.; Neo, Y.L. Focusing bistatic SAR data using the nonlinear chirp scaling algorithm. IEEE Trans. Geosci. Remote Sens. 2008, 46, 2493–2505. [Google Scholar] [CrossRef]
- Wang, R.; Loffeld, O.; Neo, Y.L.; Nies, H.; Walterscheid, I.; Espeter, T.; Klare, J.; Ender, J.H.G. Focusing bistatic SAR data in airborne/stationary configuration. IEEE Trans. Geosci. Remote Sens. 2009, 48, 452–465. [Google Scholar]
- Eldhuset, K. A new fourth-order processing algorithm for spaceborne SAR. IEEE Trans. Aerosp. Electron. Syst. 1998, 34, 824–835. [Google Scholar]
- Neo, Y.L.; Wong, F.H.; Cumming, I.G. Processing of azimuth-invariant bistatic SAR data using the range Doppler algorithm. IEEE Trans. Geosci. Remote Sens. 2007, 46, 14–21. [Google Scholar]
- Vu, V.T.; Pettersson, M.I. Fast backprojection algorithms based on subapertures and local polar coordinates for general bistatic airborne SAR systems. IEEE Trans. Geosci. Remote Sens. 2015, 54, 2706–2712. [Google Scholar]
- Li, Y.; Duan, C.; Wang, W.; Yang, X.; Yang, Z. Improvement of non-linear chirp-scaling algorithm for highly squint bistatic SAR data focusing. J. Eng. 2019, 2019, 6712–6717. [Google Scholar]
- Liang, M.; Su, W.; Gu, H. Focusing high-resolution high forward-looking bistatic SAR with nonequal platform velocities based on keystone transform and modified nonlinear chirp scaling algorithm. IEEE Sens. J. 2018, 19, 901–908. [Google Scholar] [CrossRef]
- Deng, H. Study on Imaging and Positioning of Missile-Borne Monostatic/Bistatic SAR with Curve Tracks. Ph.D. Thesis, Xidian University, Xi’an, China, 2018. (In Chinese). [Google Scholar]
- Mei, H.W. Imaging Algorithm and Position Method Study on Bistatic/Multistatic SAR. Ph.D. Thesis, Xidian University, Xi’an, China, 2019. (In Chinese). [Google Scholar]
- Meng, Z.Q.; Li, Y.C.; Xing, M.D.; Bao, Z. Imaging method for the extended scene of missile-borne bistatic forward-looking SAR. J. Xidian Univ. Electron. Sci. 2016, 43, 31–37. [Google Scholar]
- Sun, G.; Xing, M.; Wang, Y.; Wu, Y.; Wu, Y.; Bao, Z. Sliding spotlight and TOPS SAR data processing without subapertur. IEEE Geosci. Remote Sens. Lett. 2011, 8, 1036–1040. [Google Scholar] [CrossRef]
- Shao, Y.; Wang, R.; Deng, Y.K.; Liu, Y.; Chen, R.; Liu, G.; Balz, T.; Loffeld, O. Error analysis of bistatic SAR imaging and stereoscopy bistatic SAR. IEEE Trans. Geosci. Remote Sens. 2013, 51, 4518–4543. [Google Scholar] [CrossRef]
- Moccia, A.; Renga, A. Spatial resolution of bistatic synthetic aperture radar: Impact of acquisition geometry on imaging performance. IEEE Trans. Geosci. Remote Sens. 2011, 49, 3487–3503. [Google Scholar] [CrossRef]








| Parameter | Transmitter Down Angle | Receiver Down Angle | Transmitter Squint Angle | Receiver Squint Angle | Transmitter Initial Position | Receiver Initial Position |
|---|---|---|---|---|---|---|
| Value | 15.23° | 65.49° | −61.88° | 89.85° | (1, 0.5, 15) km | (0, 0, 10) km |
| Parameter | Central Point (A) | Edge Point (B) | Edge Point (C) | |||
|---|---|---|---|---|---|---|
| Azimuth Direction | Range Direction | Azimuth Direction | Range Direction | Azimuth Direction | Range Direction | |
| PSLR (dB) | −13.20 | −13.26 | −13.07 | −13.31 | −13.15 | −13.33 |
| ISLR (dB) | −10.07 | −9.87 | −9.77 | −10.21 | −9.78 | −10.08 |
Publisher’s Note: MDPI stays neutral with regard to jurisdictional claims in published maps and institutional affiliations. |
© 2022 by the authors. Licensee MDPI, Basel, Switzerland. This article is an open access article distributed under the terms and conditions of the Creative Commons Attribution (CC BY) license (https://creativecommons.org/licenses/by/4.0/).
Share and Cite
Chen, Y.; Chen, R.; Liu, H.; Guo, J.; Wang, Y.; Zhang, J. Research on Configuration Constraints of Airborne Bistatic SARs. Sensors 2022, 22, 6534. https://doi.org/10.3390/s22176534
Chen Y, Chen R, Liu H, Guo J, Wang Y, Zhang J. Research on Configuration Constraints of Airborne Bistatic SARs. Sensors. 2022; 22(17):6534. https://doi.org/10.3390/s22176534
Chicago/Turabian StyleChen, Yidi, Renwen Chen, Hao Liu, Jiapeng Guo, Yujie Wang, and Junyi Zhang. 2022. "Research on Configuration Constraints of Airborne Bistatic SARs" Sensors 22, no. 17: 6534. https://doi.org/10.3390/s22176534
APA StyleChen, Y., Chen, R., Liu, H., Guo, J., Wang, Y., & Zhang, J. (2022). Research on Configuration Constraints of Airborne Bistatic SARs. Sensors, 22(17), 6534. https://doi.org/10.3390/s22176534

