Comparison of Eye and Face Features on Drowsiness Analysis
Abstract
1. Introduction
- Design deep learning model structure to detect human drowsiness based on UTA-RLDD.
- Propose and build a model that can detect drowsiness using only eye features.
- Implement Grad-CAMs in the deep learning models for analyzing the drowsiness feature learning ability of the models.
- Present KNN-Sigma and implementation of feature visualization for deep learning models for analyzing the homogeneous concentration and heterogeneous separation.
2. Data and Data Pre-Processing
2.1. Data
2.2. Data Pre-Processing
3. Methods
3.1. Drowsiness Recognition Model
3.2. Gradient-Weighted Class Activation Mapping
3.3. Feature Analysis Methods
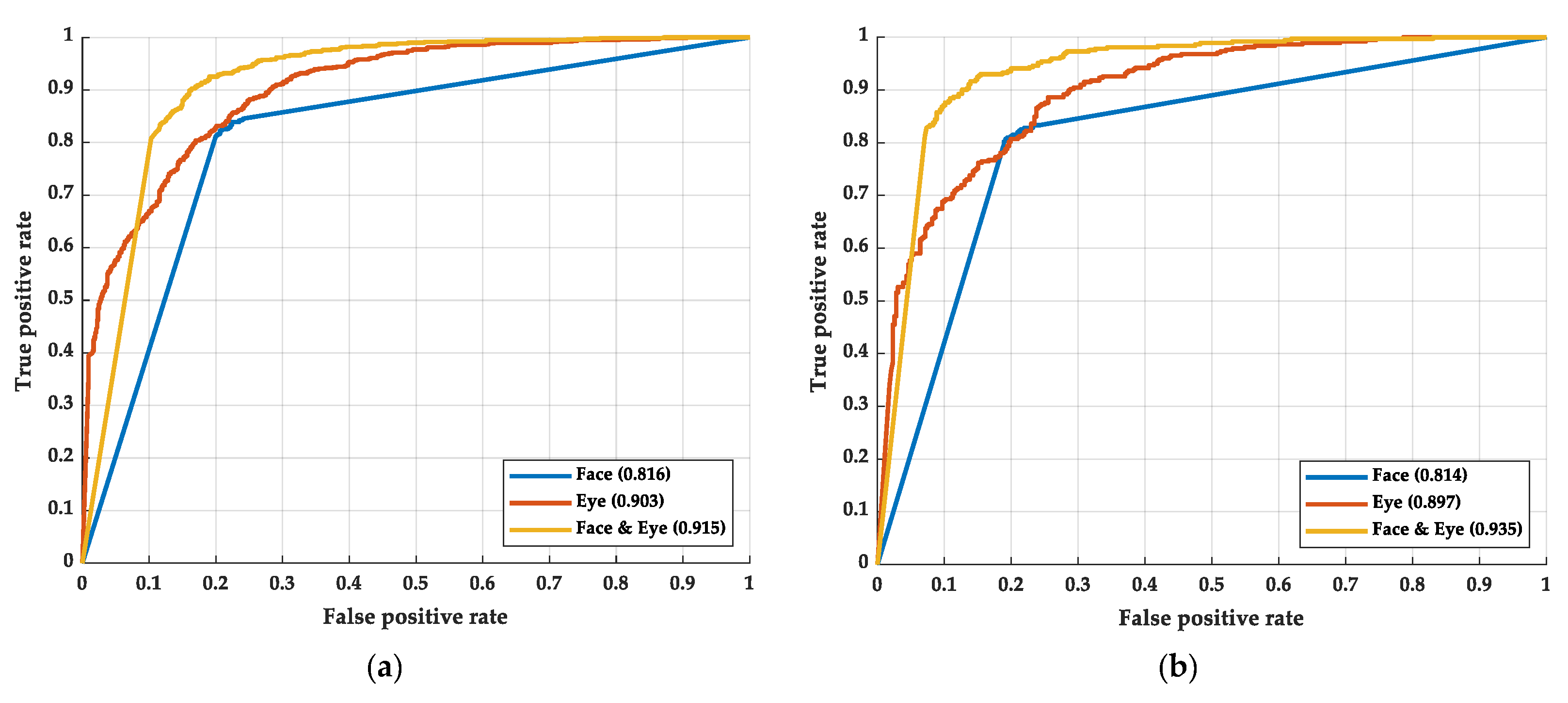
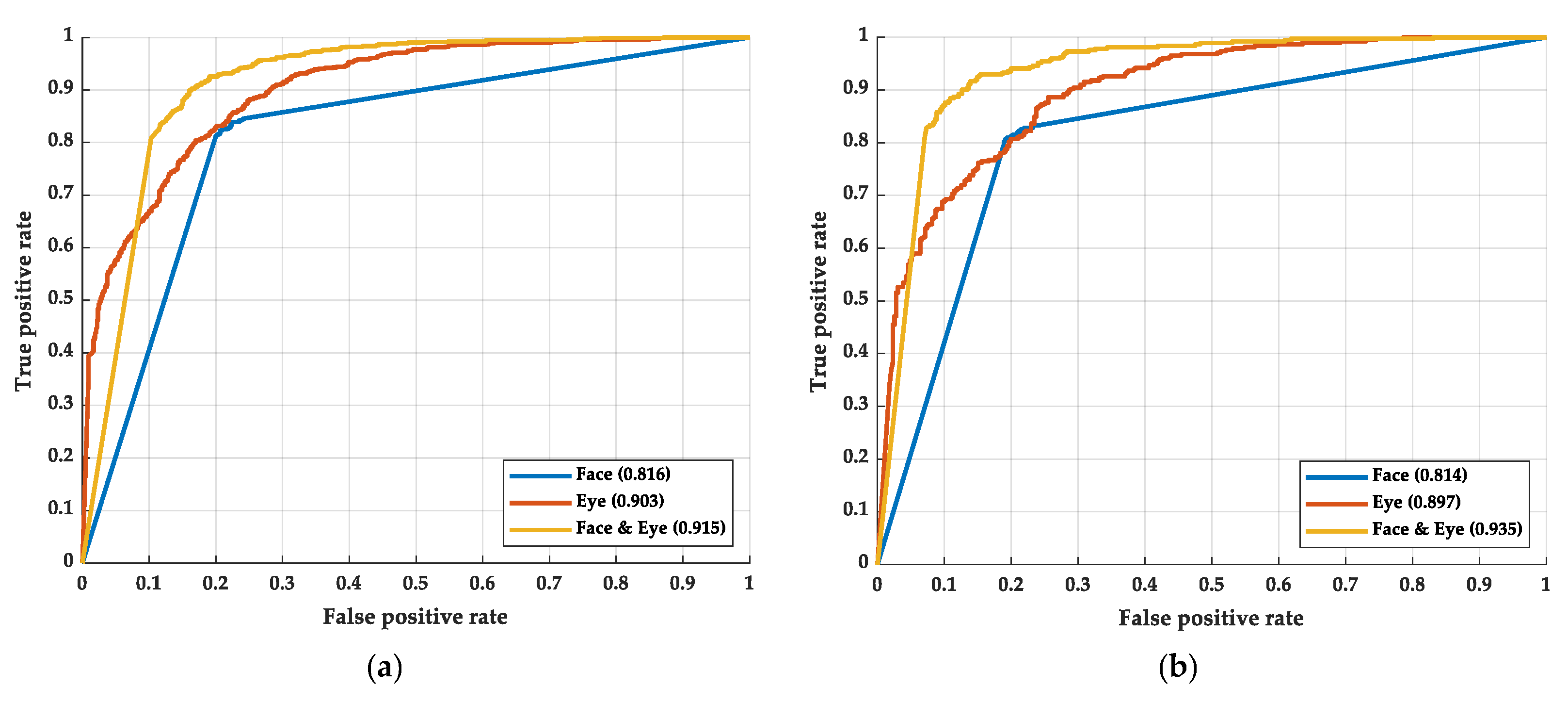
4. Results and Discussion
4.1. Drowsiness Recognition
4.2. Gradient-Weighted Class Activation Mapping
4.3. Feature Analysis
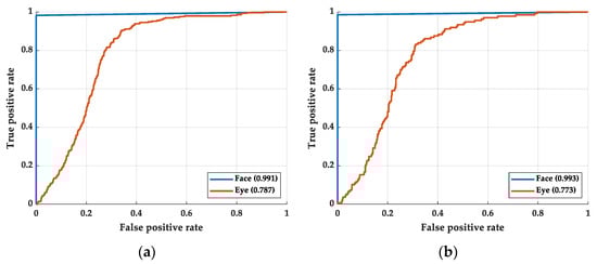
4.4. Classification of the Gender with Eye and Facial Image
4.5. Hardware and Software
5. Conclusions
Author Contributions
Funding
Institutional Review Board Statement
Informed Consent Statement
Conflicts of Interest
References
- Drowsy Driving-Sleep and Sleep Disorders. 2017. Available online: https://www.cdc.gov/sleep/about_sleep/drowsy_driving.html (accessed on 6 June 2022).
- Jackson, M.L.; Croft, R.J.; Kennedy, G.A.; Owens, K.; Howard, M.E. Cognitive Components of Simulated Driving Performance: Sleep Loss Effects and Predictors. Accid. Anal. Prev. 2013, 50, 438–444. [Google Scholar] [CrossRef]
- Drivers are Falling Asleep Behind the Wheel. 2017. Available online: https://www.nsc.org/road/safety-topics/fatigued-driver (accessed on 6 June 2022).
- Facts + Statistics: Drowsy Driving. 2011. Available online: https://www.iii.org/fact-statistic/facts-statistics-drowsy-driving (accessed on 6 June 2022).
- Overview of Motor Vehicle Crashes in 2019. Available online: https://crashstats.nhtsa.dot.gov/Api/Public/Publication/813060 (accessed on 6 June 2022).
- Prevalence of Drowsy Driving Crashes: Estimates from a Large-Scale Naturalistic Driving Study. 2018. Available online: https://aaafoundation.org/prevalence-drowsy-driving-crashes-estimates-large-scale-naturalistic-driving-study/ (accessed on 6 June 2022).
- New Report Spotlights Dangers of Drowsy Driving. 2016. Available online: https://www.ghsa.org/resources/new-report-spotlights-dangers-drowsy-driving (accessed on 6 June 2022).
- Doudou, M.; Bouabdallah, A.; Berge-Cherfaoui, V. Driver Drowsiness Measurement Technologies: Current Research, Market Solutions, and Challenges. Int. J. Intell. Transp. Syst. Res. 2020, 18, 297–319. [Google Scholar] [CrossRef]
- Ramzan, M.; Khan, H.U.; Awan, S.M.; Ismail, A.; Ilyas, M.; Mahmood, A. A Survey on State-of-the-Art Drowsiness Detection Techniques. IEEE Access 2019, 7, 61904–61919. [Google Scholar] [CrossRef]
- Bhuiyan, M.H.U.; Fard, M.; Robinson, S.R. Effects of Whole-Body Vibration on Driver Drowsiness: A Review. J. Saf. Res. 2022, 81, 175–189. [Google Scholar] [CrossRef]
- Horng, W.B.; Chen, C.Y.; Chang, Y.; Fan, C.H. Driver Fatigue Detection Based on Eye Tracking and Dynamic Template Matching. In Proceedings of the IEEE International Conference on Networking, Sensing and Control, Taipei, Taiwan, 21–23 March 2004. [Google Scholar]
- Alioua, N.; Amine, A.; Rziza, M. Driver’s Fatigue Detection Based on Yawning Extraction. Int. J. Veh. Technol. 2014, 2014, 678786. [Google Scholar] [CrossRef]
- Assari, M.A.; Rahmati, M. Driver Drowsiness Detection using Face Expression Recognition. In Proceedings of the IEEE International Conference on Signal and Image Processing Applications, Kuala Lumpur, Malaysia, 16–18 November 2011. [Google Scholar]
- Katyal, Y.; Alur, S.; Dwivedi, S. Safe Driving by Detecting Lane Discipline and Driver Drowsiness. In Proceedings of the IEEE International Conference on Advanced Communications, Control and Computing Technologies, Ramanathapuram, India, 8–10 May 2014. [Google Scholar]
- Zhenhai, G.; DinhDat, L.; Hongyu, H.; Ziwen, Y.; Xinyu, W. Driver Drowsiness Detection Based on Time Series Analysis of Steering Wheel Angular Velocity. In Proceedings of the 9th International Conference on Measuring Technology and Mechatronics Automation, Changsha, China, 14–15 January 2017. [Google Scholar]
- Li, Z.; Li, S.E.; Li, R.; Cheng, B.; Shi, J. Online Detection of Driver Fatigue using Steering Wheel Angles for Real Driving Conditions. Sensors 2017, 17, 495. [Google Scholar] [CrossRef]
- AlZu’bi, H.S.; Al-Nuaimy, W.; Al-Zubi, N.S. EEG-Based Driver Fatigue Detection. In Proceedings of the 6th International Conference on Developments in eSystems Engineering, Abu Dhabi, United Arab Emirates, 16–18 December 2013. [Google Scholar]
- Li, G.; Chung, W. Detection of Driver Drowsiness using Wavelet Analysis of Heart Rate Variability and a Support Vector Machine Classifier. Sensors 2013, 13, 16494–16511. [Google Scholar] [CrossRef]
- Abdul Rahim, H.; Dalimi, A.; Jaafar, H. Detecting Drowsy Driver using Pulse Sensor. J. Teknol. 2015, 73, 5–8. [Google Scholar] [CrossRef][Green Version]
- Stancin, I.; Cifrek, M.; Jovic, A. A Review of EEG Signal Features and their Application in Driver Drowsiness Detection Systems. Sensors 2021, 21, 3786. [Google Scholar] [CrossRef]
- Tanveer, M.A.; Khan, M.J.; Qureshi, M.J.; Naseer, N.; Hong, K.-S. Enhanced Drowsiness Detection using Deep Learning: An fNIRS Study. IEEE Access 2019, 7, 137920–137929. [Google Scholar] [CrossRef]
- Hussein, M.K.; Salman, T.M.; Miry, A.H.; Subhi, M.A. Driver Drowsiness Detection Techniques: A Survey. In Proceedings of the 1st Babylon International Conference on Information Technology and Science, Dubai, United Arab Emirates, 28–29 April 2021. [Google Scholar]
- Xu, C.; He, Y.; Khanna, N.; Boushey, C.J.; Delp, E.J. Model-based food volume estimation using 3D pose. In Proceedings of the 20th IEEE International Conference on Image Processing, Bucharest, Romania, 7–9 July 2013. [Google Scholar]
- Baek, J.W.; Han, B.-G.; Kim, K.-J.; Chung, Y.-S.; Lee, S.-I. Real-time drowsiness detection algorithm for driver state monitoring systems. In Proceedings of the 10th International Conference on Ubiquitous and Future Networks, Prague, Czech Republic, 3–6 July 2018. [Google Scholar]
- Baccour, H.; Driewer, F.; Kasneci, E.; Rosenstiel, W. Camera-Based Eye Blink Detection Algorithm for Assessing Driver Drowsiness. In Proceedings of the IEEE Intelligent Vehicles Symposium, Paris, France, 9–12 June 2019. [Google Scholar]
- Rahman, A.; Sirshar, M.; Khan, A. Real time drowsiness detection using eye blink monitoring. In Proceedings of the National Software Engineering Conference, San Diego, CA, USA, 12–14 October 2015. [Google Scholar]
- Neshov, N.; Manolova, A. Drowsiness monitoring in real-time based on supervised descent method. In Proceedings of the 9th IEEE International Conference on Intelligent Data Acquisition and Advanced Computing Systems: Technology and Applications, Bucharest, Romania, 21–23 September 2017. [Google Scholar]
- Xiong, X.; De la Torre, F. Supervised descent method and its applications to face alignment. In Proceedings of the IEEE Conference on Computer Vision and Pattern Recognition, Portland, OR, USA, 23–28 June 2013. [Google Scholar]
- Tsochantaridis, I.; Joachims, T.; Hofmann, T.; Altun, Y. Large margin methods for structured and interdependent output variables. J. Mach. Learn. Res. 2005, 6, 1453–1484. [Google Scholar]
- Mavely, A.G.; Judith, J.E.; Sahal, P.A.; Kuruvilla, S.A. Eye gaze tracking based driver monitoring system. In Proceedings of the IEEE International Conference on Circuits and Systems, Thiruvananthapuram, Kerala, India, 20–21 December 2017. [Google Scholar]
- Hussein, W.; Abou El-Seoud, M.S. Improved Driver Drowsiness Detection Model Using Relevant Eye Image’s Features. In Proceedings of the European Conference on Electrical Engineering and Computer Science, Bern, Switzerland, 17–19 November 2017. [Google Scholar]
- Ali, S.I.; Singh, P.; Jain, S. An efficient system to identify user attentiveness based on fatigue detection. In Proceedings of the International Conference on Information Systems and Computer Networks, Mathura, India, 1–2 March 2014. [Google Scholar]
- Hashemi, M.; Farahani, B.; Firouzi, F. Towards Safer Roads: A Deep Learning-Based Multimodal Fatigue Monitoring System. In Proceedings of the International Conference on Omni-layer Intelligent Systems, Barcelona, Spain, 31 August–2 September 2020. [Google Scholar]
- Warwick, B.; Symons, N.; Chen, X.; Xiong, K. Detecting driver drowsiness using wireless wearables. In Proceedings of the IEEE 12th International Conference on Mobile ad Hoc and Sensor Systems, Dallas, TX, USA, 19–22 October 2015. [Google Scholar]
- Lin, C.-T.; Chuang, C.-H.; Huang, C.-S.; Tsai, S.-F.; Lu, S.-W.; Chen, Y.-H.; Ko, L.-W. Wireless and wearable EEG system for evaluating driver vigilance. IEEE Trans. Biomed. Circuits Syst. 2014, 8, 165–176. [Google Scholar] [PubMed]
- Artanto, D.; Sulistyanto, M.P.; Pranowo, I.D.; Pramesta, E.E. Drowsiness detection system based on eye-closure using a low-cost EMG and ESP8266. In Proceedings of the 2nd International conferences on Information Technology Information Systems and Electrical Engineering, Yogyakarta, Indonesia, 1–2 November 2017. [Google Scholar]
- Choudhary, P.; Sharma, R.; Singh, G.; Das, S. A survey paper on drowsiness detection & alarm system for drivers. Int. Res. J. Eng. Technol. 2016, 3, 1433–1437. [Google Scholar]
- Dua, M.; Singla, R.; Raj, S.; Jangra, A. Deep CNN models-based ensemble approach to driver drowsiness detection. Neural Comput. Appl. 2021, 33, 3155–3168. [Google Scholar] [CrossRef]
- Alex, K.; Ilya, S.; Hinton, G.E. ImageNet classification with deep convolutional neural networks. In Proceedings of the 25th International Conference on Neural Information Processing Systems, Red Hook, NY, USA, 3–6 December 2012. [Google Scholar]
- Schroff, F.; Kalenichenko, D.; Philbin, J. FaceNet: A Unified Embedding for Face Recognition and Clustering. In Proceedings of the IEEE Computer Society Conference on Computer Vision and Pattern Recognition, Boston, MA, USA, 7–12 June 2015. [Google Scholar]
- He, K.; Zhang, X.; Ren, S.; Sun, J. Deep Residual Learning for Image Recognition. arXiv 2015, arXiv:1512.03385. [Google Scholar]
- Moujahid, A.; Dornaika, F.; Arganda-Carreras, I.; Reta, J. Efficient and compact face descriptor for driver drowsiness detection. Expert Syst. Appl. 2021, 168, 114334. [Google Scholar] [CrossRef]
- Dalal, N.; Triggs, B. Histograms of oriented gradients for human detection. In Proceedings of the IEEE Computer Society Conference on Computer Vision and Pattern Recognition, San Diego, CA, USA, 20–25 June 2005. [Google Scholar]
- Moujahid, A.; Dornaika, F. A pyramid multi-level face descriptor: Application to kinship verification. Multimed. Tools Appl. 2019, 78, 9335–9354. [Google Scholar] [CrossRef]
- Kabbai, L.; Azaza, A.; Abdellaoui, M.; Douik, A. Image matching based on lbp and sift descriptor. In Proceedings of the IEEE 12th International Multi-conference on Systems, Signals and Devices, Mahdia, Tunisia, 16–19 March 2015. [Google Scholar]
- Parkhi, O.M.; Vedaldi, A.; Zisserman, A. Deep face recognition. In Proceedings of the British Machine Vision Conference, Swansea, UK, 7–10 September 2015. [Google Scholar]
- Ghoddoosian, R.; Galib, M.; Athitsos, V. A Realistic Dataset and Baseline Temporal Model for Early Drowsiness Detection. In Proceedings of the Conference on Computer Vision and Pattern Recognition Workshops, Long Beach, CA, USA, 16–17 June 2019. [Google Scholar]
- Reddy, B.; Kim, Y.-H.; Yun, S.; Seo, C.; Jang, J. Real-Time Driver Drowsiness Detection for Embedded System using Model Compression of Deep Neural Networks. In Proceedings of the IEEE Conference on Computer Vision and Pattern Recognition Workshops, Honolulu, HI, USA, 21–26 July 2017. [Google Scholar]
- Zhang, K.; Zhang, Z.; Li, Z.; Qiao, Y. Joint Face Detection and Alignment using Multitask Cascaded Convolutional Networks. IEEE Signal Process. Lett. 2016, 23, 1499–1503. [Google Scholar] [CrossRef]
- Tamanani, R.; Muresan, R.; Al-Dweik, A. Estimation of Driver Vigilance Status using Real-Time Facial Expression and Deep Learning. IEEE Sens. Lett. 2021, 5, 1–4. [Google Scholar] [CrossRef]
- Viola, P.; Jones, M. Rapid Object Detection using a Boosted Cascade of Simple Features. In Proceedings of the IEEE Computer Society Conference on Computer Vision and Pattern Recognition, Kauai, HI, USA, 8–14 December 2001. [Google Scholar]
- Shahid, A.; Wilkinson, K.; Marcu, S.; Shapiro, C.M. Karolinska Sleepiness Scale (KSS). In STOP, THAT and One Hundred Other Sleep Scales; Shahid, A., Wilkinson, K., Marcu, S., Shapiro, C.M., Eds.; Springer: New York, NY, USA, 2012; pp. 209–210. [Google Scholar]
- Kazemi, V.; Sullivan, J. One Millisecond Face Alignment with an Ensemble of Regression Trees. In Proceedings of the IEEE Conference on Computer Vision and Pattern Recognition, Columbus, OH, USA, 23–28 June 2014. [Google Scholar]
- Kartynnik, Y.; Ablavatski, A.; Grishchenko, I.; Grundmann, M. Real-Time Facial Surface Geometry from Monocular Video on Mobile GPUs. arXiv 2019, arXiv:1907.06724. [Google Scholar]
- Álvarez Casado, C.; Bordallo López, M. Real-Time Face Alignment: Evaluation Methods, Training Strategies and Implementation Optimization. J. Real-Time Image Process. 2021, 18, 2239–2267. [Google Scholar] [CrossRef]
- Bazarevsky, V.; Kartynnik, Y.; Vakunov, A.; Raveendran, K.; Grundmann, M. Blazeface: Sub-Millisecond Neural Face Detection on Mobile Gpus. arXiv 2019, arXiv:1907.05047. [Google Scholar]
- Liu, W.; Anguelov, D.; Erhan, D.; Szegedy, C.; Reed, S.; Fu, C.; Berg, A.C. SSD: Single Shot MultiBox Detector. In Proceedings of the European Conference on Computer Vision, Amsterdam, The Netherlands, 11–14 October 2016. [Google Scholar]
- Ioffe, S.; Szegedy, C. Batch Normalization: Accelerating Deep Network Training by Reducing Internal Covariate Shift. In Proceedings of the International Conference on Machine Learning, Lille, France, 7–9 July 2015. [Google Scholar]
- Nagi, J.; Ducatelle, F.; Di Caro, G.A.; Cireşan, D.; Meier, U.; Giusti, A.; Nagi, F.; Schmidhuber, J.; Gambardella, L.M. Max-Pooling Convolutional Neural Networks for Vision-Based Hand Gesture Recognition. In Proceedings of the IEEE International Conference on Signal and Image Processing Applications, Kuala Lumpur, Malaysia, 22–27 May 2011. [Google Scholar]
- Xu, B.; Wang, N.; Chen, T.; Li, M. Empirical Evaluation of Rectified Activations in Convolutional Network. arXiv 2015, arXiv:1505.00853. [Google Scholar]
- Amari, S. Backpropagation and Stochastic Gradient Descent Method. Neurocomputing 1993, 5, 185–196. [Google Scholar]
- Bottou, L. Stochastic Gradient Descent Tricks. In Neural Networks: Tricks of the Trade, 2nd ed.; Montavon, G., Orr, G.B., Müller, K., Eds.; Springer: Berlin/Heidelberg, Germany, 2012; pp. 421–436. [Google Scholar]
- Zhou, B.; Khosla, A.; Lapedriza, A.; Oliva, A.; Torralba, A. Learning Deep Features for Discriminative Localization. In Proceedings of the IEEE Conference on Computer Vision and Pattern Recognition, Las Vegas, NV, USA, 27–30 June 2016. [Google Scholar]
- Kao, I.; Perng, J. Early Prediction of Coronavirus Disease Epidemic Severity in the Contiguous United States Based on Deep Learning. Results Phys. 2021, 25, 104287. [Google Scholar] [CrossRef]
- Kao, I.; Chan, C. Impact of Posture and Social Features on Pedestrian Road-Crossing Trajectory Prediction. IEEE Trans. Instrum. Meas. 2022, 71, 1–16. [Google Scholar] [CrossRef]
- Jolliffe, I. Principal Component Analysis; Encyclopedia of statistics in behavioral science 2005; Springer: New York, NY, USA, 2002. [Google Scholar]
- Fukunaga, K.; Narendra, P.M. A Branch and Bound Algorithm for Computing K-Nearest Neighbors. IEEE Trans. Comput. 1975, C-24, 750–753. [Google Scholar] [CrossRef]
- Bewick, V.; Cheek, L.; Ball, J. Statistics Review 13: Receiver Operating Characteristic Curves. Crit. Care 2004, 8, 1–5. [Google Scholar]
- Bradley, A.P. The use of the Area Under the ROC Curve in the Evaluation of Machine Learning Algorithms. Pattern Recognit 1997, 30, 1145–1159. [Google Scholar]
- Smith, W.J. A Review of Literature Relating to Visual Fatigue. Proc. Hum. Factors Soc. Annu. Meet. 1979, 23, 362–366. [Google Scholar] [CrossRef]













| Levels | KKS Definitions | UTA-RLDD Definitions |
|---|---|---|
| Level 1 | Extremely alert | Alert level |
| Level 2 | Very alert | |
| Level 3 | Alert | |
| Level 4 | Rather alert | |
| Level 5 | Neither alter nor sleepy | |
| Level 6 | Some signs of sleepiness | Low vigilance level |
| Level 7 | Sleepy, but no effort to keep alert | |
| Level 8 | Sleepy, but some effort to keep alert | Drowsy level |
| Level 9 | Very sleepy, significant effort to keep alert, fighting sleep |
| Layers | Parameters in Neural Network | ||
|---|---|---|---|
| Input layer | Face (28, 28, 3) | Eye (32, 64, 3) | Fusion (32, 96, 3) |
| BN | 12 | 12 | 12 |
| CNN (32 @ 5 × 5) | 2432 | 2432 | 2432 |
| BN | 128 | 128 | 128 |
| Max-Pooling | 0 | 0 | 0 |
| CNN (64 @ 3 × 3) | 18,496 | 18,496 | 18,496 |
| BN | 256 | 256 | 256 |
| Max-Pooling | 0 | 0 | 0 |
| FCN (512) | 1,606,144 | 4,194,816 | 6,291,968 |
| BN | 2048 | 2048 | 2048 |
| Output layer (2) | 1026 | 1026 | 1026 |
| Trainable Parameter | 1,629,320 | 4,217,992 | 6,315,144 |
| Total Parameter | 1,630,542 | 4,219,214 | 6,316,366 |
| Status | Training Process | Testing Process | FPS | |||||
|---|---|---|---|---|---|---|---|---|
| Method | Alert | Drowsy | Average | Alert | Drowsy | Average | ||
| Face | 75.88% | 81.14% | 78.54% | 75.77% | 79.63% | 77.66% | 18.7 | |
| Eye | 84.82% | 76.71% | 80.72% | 82.40% | 76.98% | 79.74% | 23.9 | |
| Fusion | 82.66% | 90.90% | 86.84% | 84.85% | 92.74% | 88.67% | 17.9 | |
| Status | Training Process | Testing Process | |||||
|---|---|---|---|---|---|---|---|
| Method | Alert | Drowsy | Average | Alert | Drowsy | Average | |
| AlexNet [39] | 86.83% | 23.26% | 55.05% | 85.86% | 23.39% | 54.63% | |
| VGGFaceNet [46] | 64.54% | 57.14% | 60.84% | 62.88% | 60.22% | 61.55% | |
| ResNet [41] | 66.36% | 57.02% | 61.69% | 63.38% | 51.34% | 57.36% | |
| Our Fusion Net | 82.66% | 90.90% | 86.84% | 84.85% | 92.74% | 88.67% | |
Publisher’s Note: MDPI stays neutral with regard to jurisdictional claims in published maps and institutional affiliations. |
© 2022 by the authors. Licensee MDPI, Basel, Switzerland. This article is an open access article distributed under the terms and conditions of the Creative Commons Attribution (CC BY) license (https://creativecommons.org/licenses/by/4.0/).
Share and Cite
Kao, I.-H.; Chan, C.-Y. Comparison of Eye and Face Features on Drowsiness Analysis. Sensors 2022, 22, 6529. https://doi.org/10.3390/s22176529
Kao I-H, Chan C-Y. Comparison of Eye and Face Features on Drowsiness Analysis. Sensors. 2022; 22(17):6529. https://doi.org/10.3390/s22176529
Chicago/Turabian StyleKao, I-Hsi, and Ching-Yao Chan. 2022. "Comparison of Eye and Face Features on Drowsiness Analysis" Sensors 22, no. 17: 6529. https://doi.org/10.3390/s22176529
APA StyleKao, I.-H., & Chan, C.-Y. (2022). Comparison of Eye and Face Features on Drowsiness Analysis. Sensors, 22(17), 6529. https://doi.org/10.3390/s22176529
