Homogeneity Characterization of Textile-Integrated Wearable Sensors based on Impedance Spectroscopy
Abstract
:1. Introduction
2. Characterization Methods for Nanocomposite Sensors
3. Impedimetric Behavior of Nanocomposite Films
3.1. Resistive Behavior
3.2. Capacitive Behavior
3.3. Impedance Behavior
4. Materials and Methods
4.1. Preparation of a Textile-based MWCNTs/PDMS Nanocomposite Pressure Sensor
4.2. Experimental Setup for Impedance Measurement
5. Results and Discussion
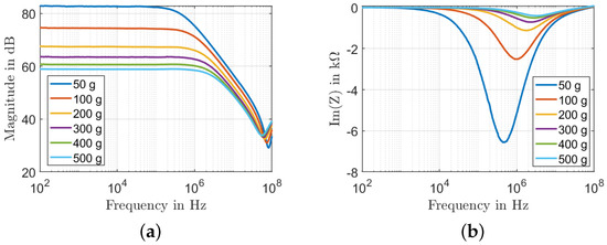
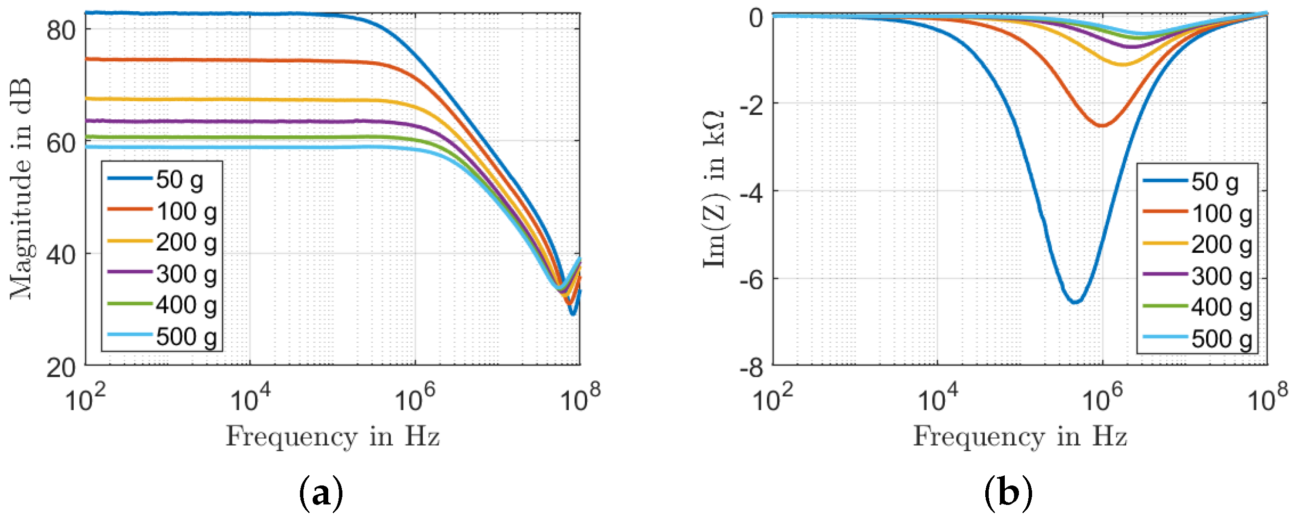
5.1. Impedance Response under Pressure Loading
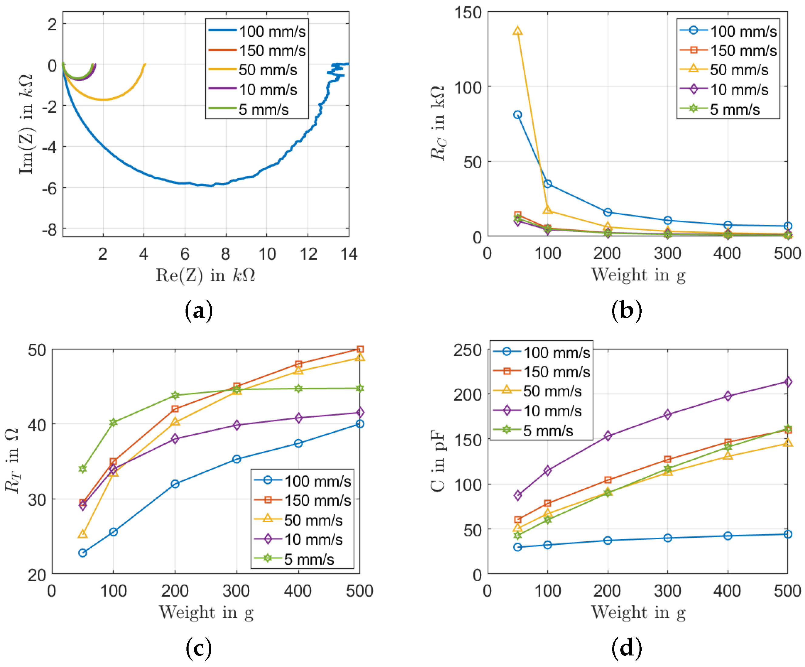
5.2. Optimization of Manufacturing Parameter
5.2.1. Influence of Squeegee Speed
5.2.2. Influence of Squeegee Height
5.2.3. Influence of the Snap-Off Distance
5.3. Manufacturing Anomalies
5.3.1. Morphological Characterization of Nonhomogenity
5.3.2. Influence of Manufacturing Parameters on Homogeneity
6. Conclusions
Author Contributions
Funding
Institutional Review Board Statement
Informed Consent Statement
Data Availability Statement
Acknowledgments
Conflicts of Interest
References
- Wang, Y.; Zhu, M.; Wei, X.; Yu, J.; Li, Z.; Ding, B. A dual-mode electronic skin textile for pressure and temperature sensing. Chem. Eng. J. 2021, 425, 130599. [Google Scholar]
- Gao, W.; Ota, H.; Kiriya, D.; Takei, K.; Javey, A. Flexible electronics toward wearable sensing. Acc. Chem. Res. 2019, 52, 523–533. [Google Scholar] [PubMed]
- Wang, C.; Xia, K.; Wang, H.; Liang, X.; Yin, Z.; Zhang, Y. Advanced carbon for flexible and wearable electronics. Adv. Mater. 2019, 31, 1801072. [Google Scholar]
- Fastier-Wooller, J.W.; Dinh, T.; Tran, C.D.; Dao, D.V. Pressure and temperature sensitive e-skin for in situ robotic applications. Mater. Des. 2021, 208, 109886. [Google Scholar]
- Jung, S.; Kim, J.H.; Kim, J.; Choi, S.; Lee, J.; Park, I.; Hyeon, T.; Kim, D.H. Reverse-micelle-induced porous pressure-sensitive rubber for wearable human–machine interfaces. Adv. Mater. 2014, 26, 4825–4830. [Google Scholar]
- Trung, T.Q.; Lee, N.E. Flexible and stretchable physical sensor integrated platforms for wearable human-activity monitoringand personal healthcare. Adv. Mater. 2016, 28, 4338–4372. [Google Scholar]
- Wang, X.; Liu, Z.; Zhang, T. Flexible sensing electronics for wearable/attachable health monitoring. Small 2017, 13, 1602790. [Google Scholar]
- Li, G.; Wang, S.; Duan, Y.Y. Towards conductive-gel-free electrodes: Understanding the wet electrode, semi-dry electrode and dry electrode-skin interface impedance using electrochemical impedance spectroscopy fitting. Sens. Actuat. B Chem. 2018, 277, 250–260. [Google Scholar]
- Li, G.; Wang, S.; Li, M.; Duan, Y.Y. Towards real-life EEG applications: Novel superporous hydrogel-based semi-dry EEG electrodes enabling automatically ‘charge–discharge’electrolyte. J. Neural Eng. 2021, 18, 046016. [Google Scholar]
- Grishanov, S. Structure and properties of textile materials. In Handbook of Textile and Industrial Dyeing; Elsevier: Amsterdam, The Netherlands, 2011; pp. 28–63. [Google Scholar]
- Van Herwaarden, A.; Sarro, P. Thermal sensors based on the Seebeck effect. Sens. Actuat. 1986, 10, 321–346. [Google Scholar]
- Li, Q.; Wang, Y.; Jiang, S.; Li, T.; Ding, X.; Tao, X.; Wang, X. Investigation into tensile hysteresis of polyurethane-containing textile substrates for coated strain sensors. Mater. Des. 2020, 188, 108451. [Google Scholar]
- Ko, Y.; Vu, C.C.; Kim, J. Carbonized Cotton Fabric-Based Flexible Capacitive Pressure Sensor Using a Porous Dielectric Layer with Tilted Air Gaps. Sensors 2021, 21, 3895. [Google Scholar] [PubMed]
- Tian, G.; Zhan, L.; Deng, J.; Liu, H.; Li, J.; Ma, J.; Jin, X.; Ke, Q.; Huang, C. Coating of multi-wall carbon nanotubes (MWCNTs) on three-dimensional, bicomponent nonwovens as wearable and high-performance piezoresistive sensors. Chem. Eng. J. 2021, 425, 130682. [Google Scholar]
- Shin, M.; Yoon, J.; Yi, C.; Lee, T.; Choi, J.W. Flexible HIV-1 biosensor based on the Au/MoS2 nanoparticles/Au nanolayer on the PET substrate. Nanomaterials 2019, 9, 1076. [Google Scholar]
- Panda, S.; Acharya, B. PDMS/MWCNT nanocomposites as capacitive pressure sensor and electromagnetic interference shielding materials. J. Mater. Sci. Mater. Electron. 2021, 32, 16215–16229. [Google Scholar]
- Hong, G.W.; Kim, S.H.; Kim, J.H. Flexible pressure sensors for burnt skin patient monitoring. In Nanosensors, Biosensors, and Info-Tech Sensors and Systems; International Society for Optics and Photonics: Bellingham, WA, USA, 2015; Volume 9434, p. 943406. [Google Scholar]
- Saleh, S.M.; Jusob, S.M.; Harun, F.K.C.; Yuliati, L.; Wicaksono, D.H. Optimization of reduced GO-based cotton electrodes for wearable electrocardiography. IEEE Sens. J. 2020, 20, 7774–7782. [Google Scholar]
- Guo, X.; Huang, Y.; Cai, X.; Liu, C.; Liu, P. Capacitive wearable tactile sensor based on smart textile substrate with carbon black/silicone rubber composite dielectric. Meas. Sci. Technol. 2016, 27, 045105. [Google Scholar]
- Jeon, D.Y.; Kim, H.; Lee, M.W.; Park, S.J.; Kim, G.T. Piezo-impedance response of carbon nanotube/polydimethylsiloxane nanocomposites. APL Mater. 2019, 7, 41–118. [Google Scholar] [CrossRef]
- Sanli, A.; Müller, C.; Kanoun, O.; Elibol, C.; Wagner, M.F.X. Piezoresistive characterization of multi-walled carbon nanotube-epoxy based flexible strain sensitive films by impedance spectroscopy. Compos. Sci. Technol. 2016, 122, 18–26. [Google Scholar]
- Sanli, A.; Kanoun, O. Electrical impedance analysis of carbon nanotube/epoxy nanocomposite-based piezoresistive strain sensors under uniaxial cyclic static tensile loading. J. Compos. Mater. 2020, 54, 845–855. [Google Scholar]
- Hu, X.; Shi, C.; Liu, X.; Zhang, J.; De Schutter, G. A review on microstructural characterization of cement-based materials by AC impedance spectroscopy. Cem. Concr. Compos. 2019, 100, 1–14. [Google Scholar] [CrossRef]
- Silva, E.A.D.; Windmöller, D.; Silva, G.G.; Figueiredo, K.C.D.S. Polydimethylsiloxane membranes containing multi-walled carbon nanotubes for gas separation. Mater. Res. 2017, 20, 1454–1460. [Google Scholar] [CrossRef]
- Ramalingame, R.; Lakshmanan, A.; Müller, F.; Thomas, U.; Kanoun, O. Highly sensitive capacitive pressure sensors for robotic applications based on carbon nanotubes and PDMS polymer nanocomposite. J. Sens. Sens. Syst. 2019, 8, 87–94. [Google Scholar] [CrossRef]
- Xu, F.; Li, X.; Shi, Y.; Li, L.; Wang, W.; He, L.; Liu, R. Recent developments for flexible pressure sensors: A review. Micromachines 2018, 9, 580. [Google Scholar] [CrossRef] [PubMed]
- Kanoun, O.; Bouhamed, A.; Ramalingame, R.; Bautista-Quijano, J.R.; Rajendran, D.; Al-Hamry, A. Review on conductive polymer/CNTs nanocomposites based flexible and stretchable strain and pressure sensors. Sensors 2021, 21, 341. [Google Scholar] [CrossRef]
- Ramalingame, R.; Hu, Z.; Gerlach, C.; Rajendran, D.; Zubkova, T.; Baumann, R.; Kanoun, O. Flexible piezoresistive sensor matrix based on a carbon nanotube PDMS composite for dynamic pressure distribution measurement. J. Sens. Sens. Syst. 2019, 8, 1–7. [Google Scholar] [CrossRef]
- Faragó, P.; Cirlugea, M.; Hintea, S. A novel smart-shoe architecture for podiatric monitoring. In Proceedings of the 2020 43rd International Conference on Telecommunications and Signal Processing (TSP), Milan, Italy, 7–9 July 2020; pp. 180–183. [Google Scholar]
- Li, W.; Yang, S.; Shamim, A. Screen printing of silver nanowires: Balancing conductivity with transparency while maintaining flexibility and stretchability. npj Flex. Electron. 2019, 3, 13. [Google Scholar] [CrossRef]












| Ref. | Characterization Method | Sensor Type | Material Composition | Material Concentration | Substrate | |
|---|---|---|---|---|---|---|
| 90Microcharacterization methods | [13] | Scanning electron microscopy (SEM) | Cotton flexible capacitive pressure sensor | Thermoplastic polyurethane (TPU) composite | 7 wt.% TPU | Carbonized cotton fabric |
| [14] | Raman spectroscopy | 3D piezoresistive sensor | MWCNT-NWs | 0.1 wt.% MWCNTs | Nonwoven (NW) fabric | |
| [15] | Atomic force microscopy (AFM) | Electrochemical flexible biosensor | Gold (Au), molybdenum disulfide nanoparticles (Mo NPs), and Au | - | Polyethylene terephthalate (PET) | |
| [16] | Transmission electron microscopy (TEM) | Capacitive pressure sensor | PDMS/MWCNT | 1, 2, 4, 5, and 6 wt.% | Polyethylene terephthalate (PET) | |
| 90Electrical methods | [17] | Resistance measurement | Flexible pressure sensor | PDMS/MWCNT | 0.1 wt.% | PDMS |
| [18] | van der Pauw method | Reduced GO-based cotton electrode | Reduced graphene oxide-cotton (rGOC) | 4 mgmL of GO dispersion in water | Cotton fabric | |
| [2] | Capacitance measurement | Capacitive sensor | Carbon black (CB)/silicone rubber (SR) composite | 0, 4, 6, 8, and 10 wt.% | Textile | |
| [22] | Impedance spectroscopy | Piezoresistive strain sensor | MWCNTs/epoxy nanocomposite | 1 wt.% | Glass-reinforced epoxy laminate substrate (FR4) |
| Sample | Squeegee Speed | Squeegee Pressure | Squeegee Height | Snap-Off |
|---|---|---|---|---|
| (mm/s) | (N) | (mm) | (mm) | |
| S1 | 100 | 160 | 200 | 0 |
| S2 | 150 | |||
| S3 | 50 | |||
| S4 | 10 | |||
| S5 | 5 | |||
| S6 | 100 | 150 | ||
| S7 | 250 | |||
| S8 | 300 | |||
| S9 | 8 | 350 | ||
| S10 | 0 | 200 | ||
| S11 | 1 |
Publisher’s Note: MDPI stays neutral with regard to jurisdictional claims in published maps and institutional affiliations. |
© 2022 by the authors. Licensee MDPI, Basel, Switzerland. This article is an open access article distributed under the terms and conditions of the Creative Commons Attribution (CC BY) license (https://creativecommons.org/licenses/by/4.0/).
Share and Cite
Nouri, H.; Rajendran, D.; Ramalingame, R.; Kanoun, O. Homogeneity Characterization of Textile-Integrated Wearable Sensors based on Impedance Spectroscopy. Sensors 2022, 22, 6530. https://doi.org/10.3390/s22176530
Nouri H, Rajendran D, Ramalingame R, Kanoun O. Homogeneity Characterization of Textile-Integrated Wearable Sensors based on Impedance Spectroscopy. Sensors. 2022; 22(17):6530. https://doi.org/10.3390/s22176530
Chicago/Turabian StyleNouri, Hanen, Dhivakar Rajendran, Rajarajan Ramalingame, and Olfa Kanoun. 2022. "Homogeneity Characterization of Textile-Integrated Wearable Sensors based on Impedance Spectroscopy" Sensors 22, no. 17: 6530. https://doi.org/10.3390/s22176530
APA StyleNouri, H., Rajendran, D., Ramalingame, R., & Kanoun, O. (2022). Homogeneity Characterization of Textile-Integrated Wearable Sensors based on Impedance Spectroscopy. Sensors, 22(17), 6530. https://doi.org/10.3390/s22176530

