MEEMD Decomposition–Prediction–Reconstruction Model of Precipitation Time Series
Abstract
:1. Introduction
2. MEEMD Principle
- (1)
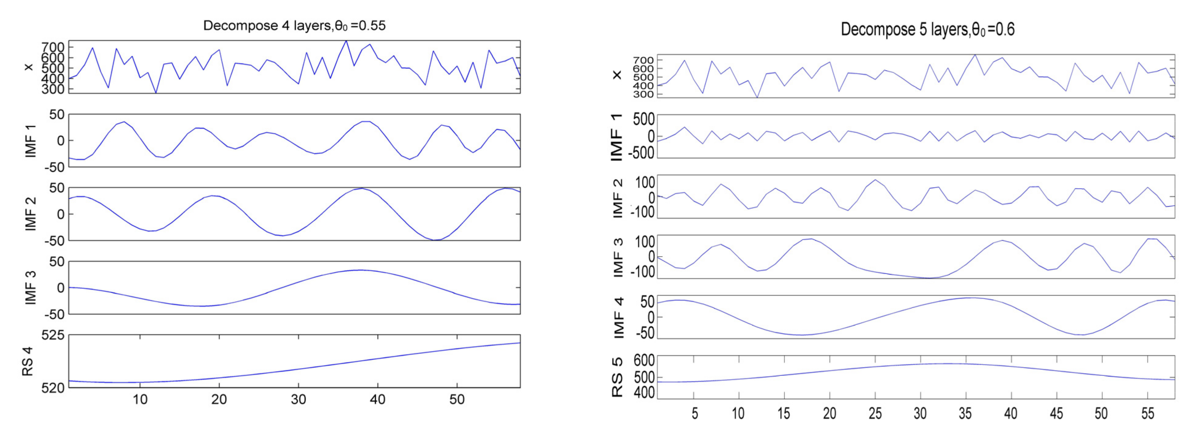
- To the original signal , add white noise signals and with zero mean, respectively, i.e.,:where denotes the added white noise signal, denotes the amplitude of the added noise signal, and, denotes the number of added white noise pairs. The EMD decomposition is performed on and , respectively, to obtain the first-order IMF component series, and . The components obtained above are integrated and averaged. is checked for anomalies. The PE of the time series is calculated according to Equation (3), and, if the PE value of the signal is greater than , it is considered as an anomalous signal, otherwise it is considered as approximately smooth. After several experiments, it is found that is more appropriate to take 0.55~0.6, and 0.6 is taken in this paper.The PE of the time series can be defined in the form of Shannon entropy as:where is the embedding dimension and is the frequency of occurrence of each symbol sequence.
- (2)
- If is abnormal, continue (1) until the IMF component is not an abnormal signal.
- (3)
- Separate the first p − 1 components that have been decomposed from the original signal, i.e.,:
- (4)
- Then, the EMD decomposition is performed on the remaining signal . The decomposition steps of EMD are as follows [12,13]:
- ➀
- For any signal , first determine the extreme value points on and then connect all the extreme value points and the extreme small value points with a curve, respectively.
- ➁
- The two curves are used as the upper and lower envelopes of , respectively. The mean value of each point of the upper and lower envelopes is , and the difference between and is , then .
- ➂
- Consider as the new , repeat the above operation, when meets the condition of zero or near zero, is small enough or one of the monotonic functions, record . Consider as and then record as .
- ➃
- Consider as a new and repeat the above process. Obtain IMF2(t), ,, IMF3(t), , ,…, in turn. The process terminates when or satisfies the given termination condition (the residual term is small enough or becomes a monotonic function) and the decomposition is obtained as:where is called the residual term.
- (5)
- All the obtained IMF components are arranged from high frequency to low frequency to obtain the decomposition terms IMF1, IMF2, …, IMFN, and the residual term RSN.
3. MDPRM Design and Forecasting Methodology
3.1. MDPRM Design
- Step 1:
- data pre-processing: complete data storage management, basic analysis of mean and variance interrelationship of data, and calculation of correlation coefficients between data; eliminating obviously wrong data through analysis and deriving usable sample set on this basis; decomposing the usable sample set using MEEMD.
- Step 2:
- training and testing: the prediction models are built, trained, and tested using PSO-SVM, CNN, and RNN, respectively, according to the signal characteristics of each decomposition term.
- Step 3:
- prediction of each decomposition term: on the basis of completing training and testing, the constructed prediction methods are used to predict the components of different frequencies respectively.
- Step 4:
- combined reconstruction of prediction values: the final prediction results are obtained by combining the prediction values of each component, and the evaluation and feedback of the prediction results are completed.
3.2. Forecasting Methods
3.2.1. PSO-SVM
3.2.2. CNN
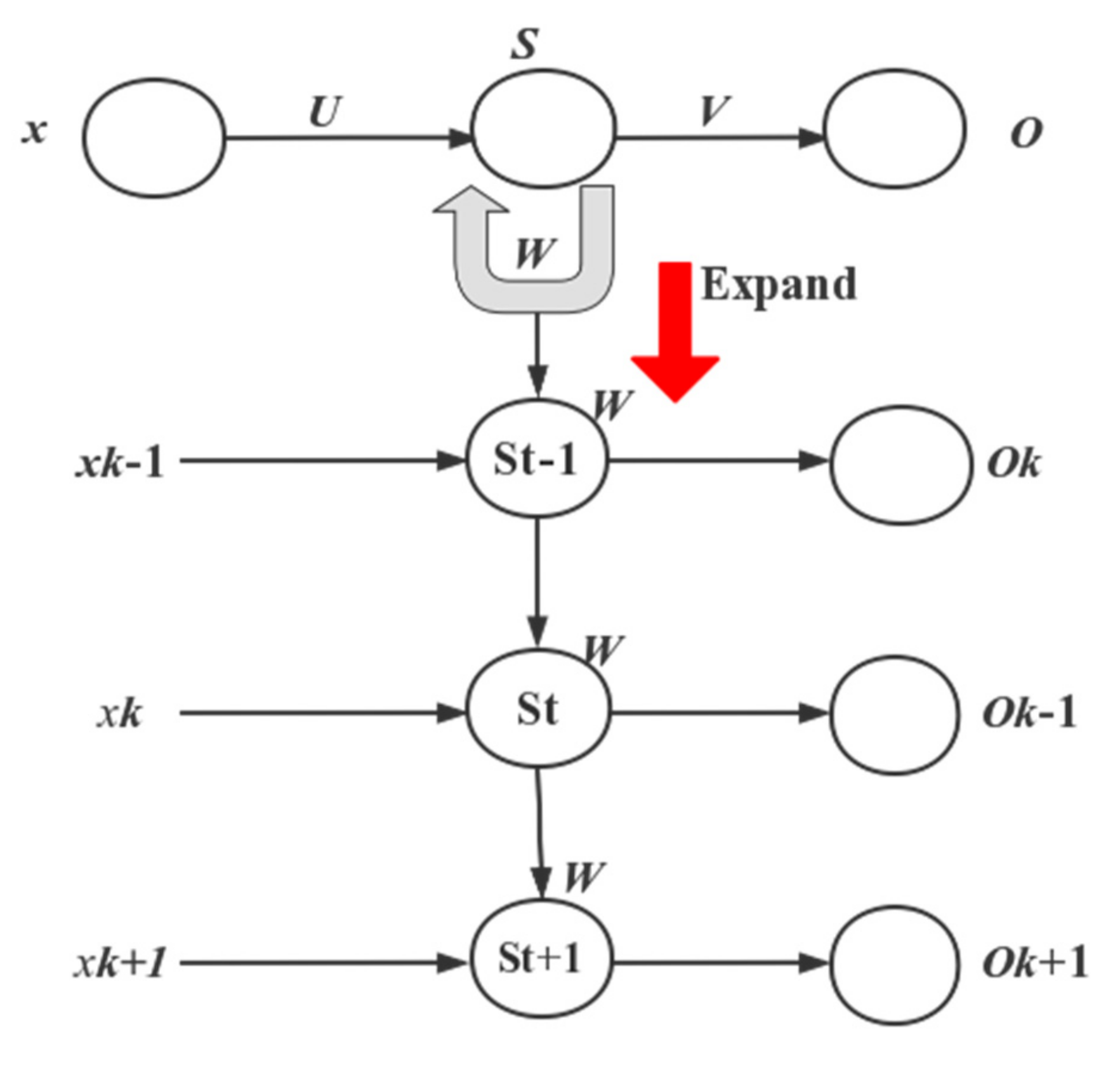
3.2.3. RNN
3.3. Evaluation of Prediction Results
3.3.1. Prediction Accuracy Evaluation
- (1)
- Calculate the e according to Formula (17).
- (2)
- Calculate the MAPE according to Formula (18).
- (3)
- Calculate the RMSE according to Formula (19).
- (4)
- Calculate the α according to Formula (20).where is the actual value, is the test value, is the number of samples, and is the actual mean value. The smaller the relative error and the root mean square error are, the higher the test accuracy is. The larger the consistency index and effective coefficient are, and the closer they are to 1, the higher the test accuracy is [32].
3.3.2. Z-Index Drought Evaluation
4. Validation of the Prediction Model
4.1. Overview of the Study Area
4.2. Data and Methods
4.2.1. Data Sources and Processing
4.2.2. Data Overview
4.3. Implementation of the Prediction Model
4.3.1. MEEMD Decomposition of Precipitation Time Series
4.3.2. PSO-SVM Prediction
4.3.3. CNN Prediction
- (1)
- Input layer: the size of the input layer is 2 × 2 × 1;
- (2)
- convolution layer: since the input data matrix is small, a smaller 1 × 1 convolution kernel is used. The number of convolution kernels is four and the step size is one. In order to prevent the matrix from losing too much information in the convolution process, the method is used to make up the zeroes. At the same time, the step length of convolution is set to one;
- (3)
- batch normalization layer: the mean−variance method is used to batch normalize;
- (4)
- activation function layer: the reluLayer activation function is used. The constructed CNN model is shown in Figure 6.
4.3.4. RNN Prediction of the Residual Term RS5
4.4. Evaluation and Analysis of Simulation Results
4.5. Application of Precipitation Prediction Results
5. Conclusions
- (1)
- By setting the MEEMD method with the white noise intensity of 0.2, the maximum number of intrinsic modes of 6, the number of times to join the noise of 30, the embedding dimension of 6, the time delay of 1, and the PE of the signal taken as 0.6, the original summer precipitation signal x of the Wujiang River basin for 58 years (1961–2018) is decomposed into IMF1-IMF4 and the residual term RS5, which can accurately identify hierarchical features of precipitation data, effectively suppress the modal mixing phenomenon in the EMD decomposition process, and reduce the reconstruction error.
- (2)
- In this paper, a new precipitation MDPRM is proposed, i.e., according to the prediction accuracy and prediction efficiency, the PSO−SVM is used to predict IMF1 and IMF2 decomposition terms, CNN is used to predict IMF3 and IMF4 decomposition terms, and RNN is used to predict the residual term RS5, and the precipitation prediction values are obtained by accumulating the prediction values of each sub−term. Compared with BP, SVM, PSO-SVM, CNN, and RNN, MAPE is reduced from 0.31 to 0.09, RMSE is reduced from 0.56 to 0.30, and α is significantly increased from 0.33 to 0.86, indicating that the MDPRM constructed in this paper improves the prediction accuracy.
- (3)
- The MDPRM constructed in this paper was used to predict the summer precipitation in the Wujiang River basin for the next 10 years from 2019 to 2028 and the predicted results showed that the average precipitation for the next 10 years was 466.42 mm, with a minimum of 440.94 mm in 2020 and a maximum of 497.94 mm in 2024. Further assessment of the agricultural drought rating using the Z indicator showed that the summers were normal during the 10 years. The results of the precipitation prediction and drought characteristics analysis provide technical support for the scheduling and efficient use of water resources in the summer to maximize economic, social, and ecological benefits.
Author Contributions
Funding
Institutional Review Board Statement
Informed Consent Statement
Data Availability Statement
Conflicts of Interest
References
- Zhang, X.; Tuo, W.; Song, C. Application of MEEMD-ARIMA combining model for annual runoff prediction in the Lower Yellow River. J. Water Clim. Chang. 2020, 11, 865–876. [Google Scholar] [CrossRef]
- Wu, F.; Jing, R.; Zhang, X.P.; Wang, F.; Bao, Y. A combined method of improved grey BP neural network and MEEMD-ARIMA for day-ahead wave energy forecast. IEEE Trans. Sustain. Energy 2021, 12, 2404–2412. [Google Scholar] [CrossRef]
- Wang, X.; Ma, Y.; Li, W. The prediction of gold futures prices at the Shanghai futures exchange based on the MEEMD-CS-Elman model. SAGE Open 2021, 11, 1–14. [Google Scholar] [CrossRef]
- Song, L.; Xie, Q.; He, Y.; Dang, P. Ultra-short-term wind power combination forecasting model based on MEEMD-SAE-Elman. In Proceedings of the 2020 IEEE 4th Information Technology, Networking, Electronic and Automation Control Conference (ITNEC), Chongqing, China, 12–14 June 2020; Volume 6, pp. 1844–1850. [Google Scholar]
- Xie, S.; Liang, Y.; Zheng, Z.; Liu, H. Combined forecasting method of landslide deformation based on MEEMD, approximate entropy, and WLS-SVM. ISPRS Int. J. Geo-Inf. 2017, 6, 5. [Google Scholar] [CrossRef]
- Lin, Y.; Liao, Q.; Lin, Z.; Tan, B.; Yu, Y. A novel hybrid model integrating modified ensemble empirical mode decomposition and LSTM neural network for multi-step precious metal prices prediction. Resour. Policy 2022, 78, 102884. [Google Scholar] [CrossRef]
- Yang, S.; Chen, D.; Li, S.; Wang, W. Carbon price forecasting based on modified ensemble empirical mode decomposition and long short-term memory optimized by improved whale optimization algorithm. Sci. Total Environ. 2020, 716, 137117. [Google Scholar] [CrossRef]
- Yang, M.; Zhu, S.; Li, W. Carbon Price Prediction Based on Multi-Factor MEEMD-LSTM Model. Available online: https://ssrn.com/abstract=4011664 (accessed on 18 July 2022).
- Yu, D.; Cheng, J.; Yang, Y. Hilbert-Huang Transform Method for Mechanical Fault Diagnosis; Science Press: Beijing, China, 2007; Volume 4, pp. 11–25. [Google Scholar]
- Zheng, J.; Cheng, J.; Yang, Y. Modified EEMD algorithm and its applications. J. Vib. Shock 2013, 32, 22–26. [Google Scholar]
- Erhao, M.; Shengzhi, H.; Qiang, H.; Wei, F.; Hao, W. A Hybrid VMD-SVM Model for Practical Streamflow Prediction Using an Innovative Input Selection Framework. Water Resour. Manag. 2021, 35, 1321–1337. [Google Scholar]
- Jiang, Y.; Yang, X.; He, F.; Chen, L.; He, Z. Super-short-Time Wind Power Forecasting Based on EEMD-IGSA-LSSVM. J. Hunan Univ. 2016, 43, 70–78. [Google Scholar]
- Qi, O.; Wenxi, L.; Xin, X.; Yu, Z.; Weiguo, C.; Ting, Y. Monthly Rainfall Forecasting Using EEMD-SVR Based on Phase-Space Reconstruction. Water Resour. Manag. 2016, 30, 2311–2325. [Google Scholar]
- Li, D.; Xue, H. Medium and long-term precipitation prediction based on hybrid model. Comput. Sci. 2018, 45, 275–276. [Google Scholar]
- Ramana, R.V.; Krishna, B.; Kumar, S.R.; Pandey, N.G. Monthly rainfall prediction using wavelet neural network analysis. Water Resour. Manag. 2013, 27, 10. [Google Scholar]
- Su, C.; Xiang, N.; Chen, G.; Wang, F. Water quality evaluation model based on artificial swarm algorithm and BP neural network. Chin. J. Environ. Eng. 2012, 6, 700–703. [Google Scholar]
- Wang, Y.; Liu, J.; Li, R.; Suo, X.; Lu, E. Medium and Long-term Precipitation Prediction Using Wavelet Decomposition-prediction-reconstruction Model. Water Resour. Manag. 2022, 37, 1473–1483. [Google Scholar] [CrossRef]
- Wang, Y.; Mu, H.; Xu, G. Prediction of photovoltaic cell output power based on improved particle swarm optimization support vector machine. Electr. Autom. 2019, 3, 63–65. [Google Scholar]
- Zhang, X.; Chen, G.; Zhou, J.; Ma, A.; Zhang, Z. Medium and long-term load forecast based on PSO-RSVR. Power Syst. Prot. Control 2009, 37, 77–81. [Google Scholar]
- Zhao, W.; Wang, J.; Shang, M.; Liu, Y. Pollen concentration prediction model based on particle swarm optimization and support vector machine. Comput. Appl. 2019, 39, 104–110. [Google Scholar]
- Jiang, L.; Tao, Z.; Zhu, J.; Zhang, J.; Chen, H. Exploiting PSO-SVM and sample entropy in BEMD for the prediction of interval-valued time series and its application to daily PM2.5 concentration forecasting. Appl. Intell. 2022, 1–5. [Google Scholar] [CrossRef]
- Yuming, H.; Jiaohong, L.; Zhenguo, M.; Bing, T.; Keqi, Z.; Jianyong, Z. On Combined PSO-SVM Models in Fault Prediction of Relay Protection Equipment. Circuits Syst. Signal Process. 2022, 1–17. [Google Scholar] [CrossRef]
- Yun, F.; Dong, H.; Liang, C.; Weimin, T.; Chao, T. Feature Selection of XLPE Cable Condition Diagnosis Based on PSO-SVM. Arab. J. Sci. Eng. 2022, 1–11. [Google Scholar] [CrossRef]
- Xu, G.; Zhu, J.; Si, C.; Hu, W.; Liu, F. Combined Hydrological Time Series Forecasting Model Based on CNN and MC. Comput. Mod. 2019, 11, 23–27. [Google Scholar]
- Zha, W.; Liu, Y.; Wan, Y.; Luo, R.; Li, D.; Yang, S.; Xu, Y. Forecasting monthly gas field production based on the CNN-LSTM model. Energy 2022, 260, 124889. [Google Scholar] [CrossRef]
- Agga, A.; Abbou, A.; Labbadi, M.; El Houm, Y.; Ali, I.H.O. CNN-LSTM: An efficient hybrid deep learning architecture for predicting short-term photovoltaic power production. Electr. Power Syst. Res. 2022, 208, 107908. [Google Scholar] [CrossRef]
- Liu, C.; Zhu, H.; Tang, D.; Nie, Q.; Li, S.; Zhang, Y.; Liu, X. A transfer learning CNN-LSTM network-based production progress prediction approach in IIoT-enabled manufacturing. Int. J. Prod. Res. 2022, 1–24. [Google Scholar] [CrossRef]
- Jiang, A.; Qin, Z.; Faulder, D.; Cladouhos, T.T.; Jafarpour, B. A Multiscale Recurrent Neural Network Model for Long-Term Prediction of Geothermal Energy Production. In Proceedings of the 47th Workshop on Geothermal Reservoir Engineering, Stanford, CA, USA, 7–9 February 2022; Stanford University: Stanford, CA, USA, 2022. [Google Scholar]
- Kim, Y.D.; Durlofsky, L. Closed-loop Reservoir Management using a Convolutional–Recurrent Neural Network Proxy for Robust Production Optimization. In Proceedings of the ECMOR 2022, The Hague, The Netherlands, 5–7 September 2022; European Association of Geoscientists Engineers: Bunnik, The Netherlands, 2022; Volume 2022. [Google Scholar]
- Kazi, M.K.; Eljack, F. Practicality of Green H2 Economy for Industry and Maritime Sector Decarbonization through Multiobjective Optimization and RNN-LSTM Model Analysis. Ind. Eng. Chem. Res. 2022, 61, 6173–6189. [Google Scholar] [CrossRef]
- Li, T.; Zeng, X. Water and sand simulation of yanhe river basin based on particle swarm optimization support vector machine. J. Bas. Sci. Eng. 2015, 23, 80–86. [Google Scholar]
- Wang, Y.; Liu, J.; Li, R.; Suo, X.; Lu, E. Precipitation forecast of the Wujiang River Basin based on artificial bee colony algorithm and backpropagation neural network. Alex. Eng. J. 2020, 59, 1473–1483. [Google Scholar] [CrossRef]










| Serial Number | Researchers | Model Algorithm | Effect | Prediction Scenarios | Research Time |
|---|---|---|---|---|---|
| [1] | Zhang et al. | MEEMD-ARIMA | Better than CEEMD-ARIMA model or EEMD-ARIMA model | Annual runoff in the lower reaches of the Yellow River | 2020 |
| [2] | Wu et al. | Improved Grey BPNN-MEEMD-ARIMA | The effectiveness of the proposed wave energy forecast model is validated. | Prediction of wave energy | 2021 |
| [3] | Wang et al. | MEEMD-CS-Elman | Better than EMD-Elman or MEEMD-Elman model | Gold futures AU0 price data | 2021 |
| [4] | Song et al. | MEEMD-SAE-Elman | Better than Elman, EMD-Elman, EMD-SAE-Elman | Wind power ultra-short-term | 2020 |
| [5] | Xie et al. | MEEMD+WLS-SVM | Better than Wavelet Neural Network, Support Vector Machine, Least Squares Support Vector Machine | Landslide Deformation Prediction in Danba | 2017 |
| [6] | Lin et al. | LSTM-MEEMD | Better than MLP, SVR and SL | Precious Metals Price | 2022 |
| [7] | Yang et al. | MEEMD-LSTM. and IWOA | Better than 11 other benchmark models | Carbon price | 2020 |
| [8] | Yang et al. | MEEMD-LSTM | Better than LSTM models and one-factor MEEMD-LSTM | Carbon price | 2022 |
| Serial Number | Model Algorithm | MAPE | RMSE | α |
|---|---|---|---|---|
| 1 | BP | 0.14 | 0.37 | 0.64 |
| 2 | SVM | 0.12 | 0.35 | 0.75 |
| 3 | PSO−SVM | 0.29 | 0.54 | 0.45 |
| 4 | CNN | 0.32 | 0.57 | 0.33 |
| 5 | RNN | 0.26 | 0.51 | 0.53 |
| 6 | MDPRM | 0.09 | 0.30 | 0.86 |
| Decomposition Items | Prediction Method | Years | |||||||||
|---|---|---|---|---|---|---|---|---|---|---|---|
| 2019 | 2020 | 2021 | 2022 | 2023 | 2024 | 2025 | 2026 | 2027 | 2028 | ||
| PSO−SVM | −0.09 | −0.09 | −0.09 | −0.09 | −0.09 | −0.09 | −0.09 | −0.09 | −0.09 | −0.09 | |
| PSO−SVM | 5.09 | −7.04 | −6.85 | 0.11 | −6.15 | 2.03 | 2.44 | 1.85 | −5.38 | −2.11 | |
| CNN | −53.30 | −64.53 | −50.68 | −24.92 | −1.26 | 10.70 | 9.25 | −0.54 | −9.73 | −10.83 | |
| CNN | 33.07 | 27.04 | 19.43 | 9.54 | 0.47 | −8.58 | −17.32 | −24.53 | −30.55 | −35.04 | |
| RNN | 488.51 | 485.56 | 485.77 | 489.00 | 493.07 | 493.87 | 493.01 | 493.18 | 489.20 | 492.24 | |
| Predicted Results (mm) | 473.29 | 440.94 | 447.58 | 473.64 | 486.05 | 497.94 | 487.30 | 469.87 | 443.45 | 444.18 | |
| Z-index | −0.35 | −0.65 | −0.59 | −0.34 | −0.23 | −0.12 | −0.22 | −0.38 | −0.63 | −0.62 | |
| Drought Level | Normal | Normal | Normal | Normal | Normal | Normal | Normal | Normal | Normal | Normal | |
Publisher’s Note: MDPI stays neutral with regard to jurisdictional claims in published maps and institutional affiliations. |
© 2022 by the authors. Licensee MDPI, Basel, Switzerland. This article is an open access article distributed under the terms and conditions of the Creative Commons Attribution (CC BY) license (https://creativecommons.org/licenses/by/4.0/).
Share and Cite
Wang, Y.; Liu, J.; Li, R.; Suo, X.; Lu, E. MEEMD Decomposition–Prediction–Reconstruction Model of Precipitation Time Series. Sensors 2022, 22, 6415. https://doi.org/10.3390/s22176415
Wang Y, Liu J, Li R, Suo X, Lu E. MEEMD Decomposition–Prediction–Reconstruction Model of Precipitation Time Series. Sensors. 2022; 22(17):6415. https://doi.org/10.3390/s22176415
Chicago/Turabian StyleWang, Yongtao, Jian Liu, Rong Li, Xinyu Suo, and Enhui Lu. 2022. "MEEMD Decomposition–Prediction–Reconstruction Model of Precipitation Time Series" Sensors 22, no. 17: 6415. https://doi.org/10.3390/s22176415
APA StyleWang, Y., Liu, J., Li, R., Suo, X., & Lu, E. (2022). MEEMD Decomposition–Prediction–Reconstruction Model of Precipitation Time Series. Sensors, 22(17), 6415. https://doi.org/10.3390/s22176415
